Copyright
©The Author(s) 2025.
World J Hepatol. Nov 27, 2025; 17(11): 110698
Published online Nov 27, 2025. doi: 10.4254/wjh.v17.i11.110698
Published online Nov 27, 2025. doi: 10.4254/wjh.v17.i11.110698
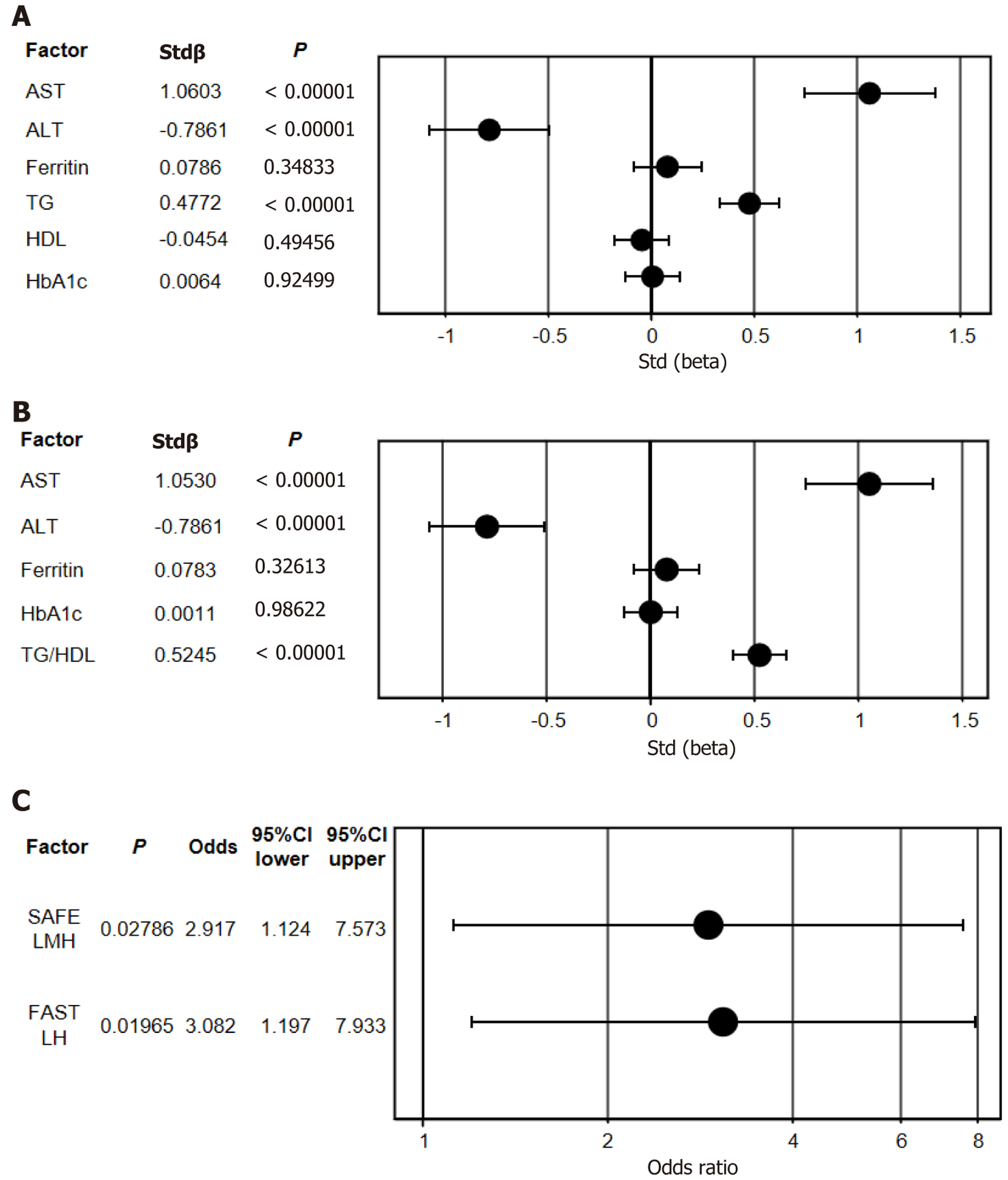
Figure 1 Relationship between cytokeratin 18 fragment and clinical factors.
A: Aspartate aminotransferase (AST), alanine aminotransferase (ALT), ferritin, triglycerides (TG), high-density lipoprotein (HDL), and hemoglobin A1c (HbA1c), which were noted to correlate with cytokeratin 18 fragment (CK18F), were used in a multiple regression analysis. AST, ALT, and triglyceride (TG) were associated with CK18F; B: In the combined Figure 1A, TG and HDL were changed to TG/HDL and the same analysis was performed. AST, ALT, and TG/HDL were associated with CK18F; C: Multiple logistic regression analysis for CK18F > 260 U/L (high CK18F). In non-invasive tests, steatosis-associated fibrosis estimator (SAFE) score and FibroScan-aspartate aminotransferase (FAST) were associated with CK18F. SAFE score was divided as follows: (1) High (> 100); (2) Moderate (0-100); and (3) Low (< 0). FAST was divided as follows: (1) High (> 0.35); and (2) Low (< 0.35). Low-risk, moderate-risk, and high-risk (LMH) SAFE and low-risk and high-risk (LMH) FAST corresponded with CK18F.
Figure 2 Relationship between severity classification according to non-invasive test and cytokeratin 18 fragment values.
A: Classification according to steatosis-associated fibrosis estimator score. P value for analysis of variance is indicted in the figure. Cytokeratin 18 fragment (CK18F) was higher in the high group than those in the low and moderate groups (Dunn test); B: Classification according to FibroScan-aspartate aminotransferase score. P value for the Mann–Whitney U test is indicated in the figure; C: Classification according to liver stiffness (LS). High LS group is > 8 Kpa; D: High LS group is > 10 Kpa. Y axis is CK18F (U/L). ANOVA: Analysis of variance; SAFE: Steatosis associated fibrosis estimator; FAST: FibroScan-aspartate aminotransferase.
Figure 3 Triglycerides and high-density lipoprotein influenced cytokeratin 18 fragment levels.
A: High triglycerides (TGs) were > 126 mg/dL. Figures in brackets were the number of patients. P value for the Mann–Whitney U test is indicated in the figure. Y axis is cytokeratin 18 fragment (CK18F) (U/L); B: High CK18F rate in the normal and high TG groups. P value for the χ2 test is shown in the figure; C: Low high-density lipoprotein (HDL) group with values < 56 mg/dL; D: High CK18F rate in the normal and low HDL groups; E: High TG and low HDL scores were calculated with high TG as 1 point and low HDL as 1 point. P value for the analysis of variance test is shown on the figure. P values between groups for the Dunn test; F: High CK18F rate for high TG and low HDL score. ANOVA: Analysis of variance; TGHHDLL: Triglycerides high (> 126 mg/dL) and high-density lipoprotein low (≤ 56 mg/dL).
Figure 4 Criteria for high triglycerides (≥ 126 mg/dL) and low high-density lipoprotein (≤ 56 mg/dL) have more effect on high cytokeratin 18 fragment than the settings for high/treatment triglycerides (≥ 150 mg/dL or lipid-lowering treatment) and low/treatment high-density lipoprotein (≤ 39 mg/dL for men and 50 mg/dL for women or lipid-lowering treatment).
A: Effect of high triglycerides (TGs) (≥ 126 mg/dL), low high-density lipoprotein (HDL) (≤ 56 mg/dL), high/treatment TG (≥ 150 mg/dL or lipid-lowering treatment), and low/treatment HDL (39 mg/dL in men and ≤ 50 mg/dL in women or lipid-lowering treatment) on high cytokeratin 18 fragment (CK18F) was investigated using multivariate logistic regression analysis; B: Effect of high TG (≥ 126 mg/dL), low HDL (≤ 56 mg/dL), and high TG and low HDL on high CK18F was evaluated using multivariate logistic regression analysis; C: The criteria for high TG and low HDL in cardiometabolic risk factor (CMRF) were replaced by TG ≥ 126 mg/dL and HDL < 56 mg/dL in modified CMRF (mCMRF), and the effect of CMRF and mCMRF on high CK18F was evaluated using multivariate logistic regression analysis. OR: Odds ratio; TGHHDLL: Triglycerides high (> 126 mg/dL) and high-density lipoprotein low (≤ 56 mg/dL).
- Citation: Ichikawa T, Miuma S, Yamashima M, Yamamichi S, Koike M, Nakano Y, Yajima H, Miyazaki O, Ikeda T, Okamura T, Komatsu N, Yoshino M, Miyaaki H. Cytokeratin 18 fragment is associated with steatosis-associated fibrosis estimator score and lipid in patients with steatotic liver disease. World J Hepatol 2025; 17(11): 110698
- URL: https://www.wjgnet.com/1948-5182/full/v17/i11/110698.htm
- DOI: https://dx.doi.org/10.4254/wjh.v17.i11.110698
