BPG is committed to discovery and dissemination of knowledge
Meta-Analysis Open Access
©The Author(s) 2026. Published by Baishideng Publishing Group Inc. All rights reserved.
World J Gastroenterol. Jan 21, 2026; 32(3): 113452
Published online Jan 21, 2026. doi: 10.3748/wjg.v32.i3.113452
Is salvage treatment necessary after incomplete resection of rectal neuroendocrine tumors: A systematic review and meta-analysis
Jae Hyun Kim, Seun Ja Park, Department of Internal Medicine, Kosin University College of Medicine, Busan 49267, South Korea
Jung Won Lee, Department of Internal Medicine, Samsung Changwon Hospital, Sungkyunkwan University School of Medicine, Changwon 51353, Gyeongsangnam-do, South Korea
Hyun Jung Kim, Cochrane Korea and Institute for Evidence-Based Medicine, Korea University College of Medicine, Seoul 02841, South Korea
Seung Min Hong, Department of Internal Medicine, Pusan National University School of Medicine and Biomedical Research Institute, Pusan National University Hospital, Busan 49241, South Korea
ORCID number: Jae Hyun Kim (0000-0002-4272-8003); Jung Won Lee (0000-0002-7945-1618); Hyun Jung Kim (0000-0003-2018-2385); Seun Ja Park (0000-0003-3217-5155).
Author contributions: Kim JH and Park SJ conceptualized and designed the study; Kim JH and Lee JW collected and analyzed the data; Kim HJ supervised the systematic review process and statistical methodology; Hong SM provided critical revisions and expert review; Kim JH drafted the manuscript; Park SJ critically revised the final version of the manuscript; all authors reviewed and approved the final manuscript.
Conflict-of-interest statement: The authors declare that they have no conflict of interest.
PRISMA 2009 Checklist statement: The authors have read the PRISMA 2009 Checklist, and the manuscript was prepared and revised according to the PRISMA 2009 Checklist.
Corresponding author: Seun Ja Park, MD, Professor, Department of Internal Medicine, Kosin University College of Medicine, Gamcheonro 262, Seogu, Busan 49267, South Korea. parksj6406@daum.net
Received: August 26, 2025
Revised: October 23, 2025
Accepted: December 5, 2025
Published online: January 21, 2026
Processing time: 143 Days and 21.4 Hours

Abstract
BACKGROUND

Incomplete resection of rectal neuroendocrine tumors (NETs), defined by positive or indeterminate margins or lymphovascular invasion, raises concerns regarding residual disease and recurrence. However, the benefits of salvage treatment in these cases remain unclear.

AIM

To evaluate the oncologic impact of salvage treatment compared with observation after incomplete endoscopic resection of rectal NETs through a systematic review and meta-analysis.

METHODS

We conducted a systematic review and meta-analysis in accordance with the preferred reporting items for systematic reviews and meta-analyses guidelines. MEDLINE, EMBASE, and the Cochrane Library were searched from their inception until May 2025. Eligible studies included patients with incompletely resected rectal NETs managed with salvage treatment or observation, reporting outcomes of residual tumors or recurrence. Pooled estimates were calculated using random-effects models with Hartung-Knapp adjustments.

RESULTS

Thirty-four studies with 2279 cases of incomplete endoscopic resection met the inclusion criteria. The incomplete resection rates differed markedly according to the initial resection method (17 studies): 73.1% for cold snare polypectomy, 29.8% for conventional endoscopic mucosal resection (EMR), 28.4% for modified EMR, and 14.7% for endoscopic submucosal dissection. Among the 19 studies that evaluated salvage treatment, the pooled residual tumor rate was 25.0% [95% confidence interval (CI): 12.0%-40.0%]. The crude recurrence rates from 31 studies favored salvage treatment over observation (0.96% vs 2.96%, P = 0.003). However, a meta-analysis of nine comparative studies found no statistically significant difference in recurrence risk (odds ratio = 0.89; 95%CI: 0.40-2.02).

CONCLUSION

Given the relatively high residual tumor rate and low incidence of recurrence, salvage treatment may be justified as both a diagnostic and therapeutic approach after incomplete resection of rectal NETs. Although its benefits in preventing recurrence remain unclear, clinical decisions should be individualized, as these findings are based on low-certainty evidence.

Key Words: Rectum; Neuroendocrine tumors; Residual neoplasm; Salvage therapy; Observation

Core Tip: Incomplete resection of rectal neuroendocrine tumors raises concern for residual disease and recurrence, yet the optimal management remains debated. In this systematic review and meta-analysis of 34 studies, residual tumors were identified on salvage pathology in about 25% of cases, whereas recurrence was rare in both salvage and observation groups. Although crude data suggested fewer recurrences with salvage treatment, comparative meta-analysis showed no significant difference. These findings highlight salvage resection as a diagnostic and therapeutic option, but its routine use for recurrence prevention is uncertain. Clinical decisions should be individualized.



INTRODUCTION

Rectal neuroendocrine tumors (NETs) are well-differentiated neoplasms that most commonly arise from enteroendocrine L cells of the distal gut, which produce peptide YY and glucagon-like peptides. In contrast, small-intestinal NETs typically derive from enterochromaffin cells that secrete serotonin[1-3]. Although rectal NETs account for a small proportion of colorectal neoplasms, their incidence has been steadily increasing, largely because of the widespread use of screening colonoscopy and advances in endoscopic imaging techniques[4,5]. A population-based study using surveillance, epidemiology, and end result data demonstrated that rectal NETs, along with small intestinal NETs, have the highest incidence among gastrointestinal NETs over the past four decades. This trend is particularly pronounced in Asian countries[6].

Small rectal NETs measuring less than 10 mm in diameter are generally considered suitable candidates for curative endoscopic resection. Techniques, such as conventional endoscopic mucosal resection (cEMR), modified EMR (mEMR) (including cap-assisted or band ligation-assisted EMR techniques), and endoscopic submucosal dissection (ESD) are widely utilized[7-10]. Rectal NETs measuring up to 20 mm in diameter may also be amenable to endoscopic resection, provided that high-risk features, such as lymphovascular invasion, positive margins, or involvement of the muscularis propria are not present[11,12]. However, incomplete resection, defined as a positive or indeterminate resection margin or the presence of lymphovascular invasion, raises concerns regarding residual tumor or recurrence[13,14].

Currently, there is no consensus for the optimal management of incompletely resected rectal NETs. While some guidelines support close surveillance for carefully selected low-risk lesions, others endorse salvage treatments, including repeat endoscopic resection, transanal endoscopic microsurgery, or radical surgery[1,3,15,16]. Given the variability in clinical practice and the lack of robust data, the benefit of salvage therapy remains uncertain.

A clearer understanding of the recurrence risk, residual lesion rate, and treatment outcomes after incomplete resection is essential to inform evidence-based recommendations. This systematic review aimed to synthesize existing data on the natural course of incompletely resected rectal NETs and evaluate the oncological impact of salvage treatments.

MATERIALS AND METHODS
Protocol registration

This systematic review and meta-analysis followed the preferred reporting items for systematic reviews and meta-analyses (PRISMA) 2020 guidelines[17]. This study was prospectively registered in PROSPERO (registration No. CRD420251054723).

Search strategy and study selection

A comprehensive literature search was performed across three major databases: MEDLINE, EMBASE, and the Cochrane Library. The final search was completed on May 21, 2025. Detailed search strategies for each database are provided in Supplementary material.

Eligible studies investigated outcomes in patients with incompletely resected rectal NETs, defined as tumors with positive or indeterminate resection margins or the presence of lymphovascular invasion in the resected specimen. An indeterminate margin was typically described as one that could not be reliably evaluated due to cautery artifact, tissue fragmentation, or tangential sectioning, making it difficult to determine tumor involvement. Studies were included if they reported residual tumors or recurrence and evaluated salvage treatment, observation, or both. A residual tumor was defined as histologically or macroscopically confirmed tumor tissue identified during additional treatment (e.g., salvage resection) following an initial incomplete resection. Recurrence was defined as the reappearance of the tumor after a period of no detectable disease during follow-up, as confirmed by colonoscopy or cross-sectional imaging, such as computed tomography. The exclusion criteria were as follows: Case reports or small case series (n < 5); Review articles, editorials, or letters; Studies involving tumors > 2 cm in size; Studies evaluating primary surgical treatment as initial management, and studies lacking outcome data on residual tumors or recurrent disease.

Two reviewers (Kim JH and Lee JW) independently screened the titles and abstracts of the identified records, followed by full-text reviews of potentially eligible articles. Discrepancies were resolved by discussion and consensus.

Data extraction and outcomes

Data were extracted from each study in a standardized format. For each included study, we collected information regarding the first author, publication year, country of origin, and study design. Patient-related data including the number of participants, sex distribution, and age were also recorded. Tumor-related characteristics, such as the size and completeness of resection, were documented, along with the duration of follow-up and the type of management strategy applied, whether salvage treatment or observation.

The primary outcomes were the residual tumor rate following salvage treatment and the recurrence rate in patients who underwent salvage treatment compared with those managed with observation.

Statistical analysis

We conducted a meta-analysis to estimate the pooled prevalence of residual tumors after salvage treatment in patients with incomplete resection. This single-arm proportion meta-analysis was performed using the metaprop function of the meta-package in R (version 4.2.2). The Freeman-Tukey double-arcsine transformation was applied to stabilize variance and minimize bias in pooled estimates, particularly when proportions were close to 0% or 100%. Study-level 95% confidence intervals (CIs) were calculated using the Clopper-Pearson exact method and pooled estimates were obtained using a random-effects model with Hartung-Knapp adjustment. Forest plots were used to display the individual study proportions and event counts.

To evaluate the recurrence outcomes, we first conducted a pooled crude analysis comparing the recurrence rates between patients who received salvage treatment and those managed with observation. The total number of recurrence events and total number of patients were aggregated across the studies for each group. Group differences were assessed using either the χ2 test or Fisher’s exact test, as appropriate. A bar plot was generated to visualize the group-level proportions and absolute event counts.

For comparative analysis, we performed a meta-analysis limited to studies that reported recurrence outcomes in both treatment arms. Two-by-two contingency tables were constructed for each study and odds ratios (ORs) with 95%CIs were calculated. Pooled ORs were estimated using a random-effects model based on the DerSimonian-Laird method, with Hartung-Knapp adjustment to account for uncertainty. Studies with zero events in both arms were excluded, and a continuity correction of 0.5 was applied when one arm reported zero events. Between-study heterogeneity was evaluated using Cochran’s Q statistic, I2, and τ2. A forest plot was generated to illustrate both the individual and pooled effect estimates.

All statistical analyses were performed using the R software (version 4.2.2). Meta-analyses were conducted using the meta package and all visualizations were produced using ggplot2.

Risk of bias assessment

The risk of bias in nonrandomized studies was assessed using the risk of bias in nonrandomized studies of interventions (ROBINS-I) tool. This tool evaluates the bias across seven domains: Confounding factors, selection of participants, classification of interventions, deviations from intended interventions, missing data, measurement of outcomes, and selection of reported results. Each domain was rated as having low, moderate, or serious risk of bias. Two reviewers independently assessed each study and any discrepancies were resolved through discussion and consensus.

Certainty of evidence assessment

The certainty of evidence for the main outcomes, residual tumor rate, and recurrence risk was assessed using the grading of recommendations assessment, development, and evaluation (GRADE) approach[18]. This approach evaluates five domains: Risk of bias, inconsistency, indirectness, imprecision, and publication bias. Based on these assessments, the certainty of the evidence was rated as high, moderate, low, or very low.

RESULTS
Study selection and baseline characteristics

A total of 1353 records were identified through database searches (MEDLINE: 381; EMBASE: 967; Cochrane Library: 5), from which 409 duplicates were removed. After screening 944 titles and abstracts, 105 full-text articles were assessed for eligibility, and 34 studies met the inclusion criteria. The study selection process is illustrated in the PRISMA flow diagram (Figure 1).

Figure 1
Figure 1 Preferred reporting items for systematic reviews and meta-analyses 2020 study selection flow diagram. The flow diagram illustrates the study selection process according to the preferred reporting items for systematic reviews and meta-analyses 2020 guidelines. The number of records identified (n = 1353), screened (n = 944), and excluded (with reasons) are shown. The systematic review and meta-analysis included 34 studies.

All included studies were observational in design, and the majority were retrospective, single-center studies. Most studies were conducted in Asia, primarily in Korea (n = 19), China (n = 6), and Japan (n = 6) with one study each from the United States, France, and Italy. A total of 6761 patients with rectal NETs were included in 34 studies. Among these, 2279 cases of incomplete endoscopic resection, defined as positive or indeterminate resection margins or the presence of lymphovascular invasion, have been reported. However, because some studies enrolled only patients with incomplete resection, this figure does not represent the true prevalence of incomplete resection in all rectal NET cases.

Patient characteristics such as age, sex distribution, tumor size, and follow-up duration varied across studies. Most cohorts consisted of patients who were considered appropriate for endoscopic treatment. The follow-up duration varied substantially, reflecting heterogeneity in clinical settings and institutional protocols. Salvage treatments include a range of endoscopic techniques such as cEMR and mEMR, ESD, and in select cases, surgical interventions. The detailed study characteristics are summarized in Tables 1, 2 and 3[13,14,19-50].

Table 1 Baseline characteristics.
Ref.DesignCountryPeriodRectal NET cases (n)Primary endoscopic resection method
cEMR
mEMR
ESD
Hybrid ESD
CSP
CFP
EC
Missing data
Cha et al[19]RetrospectiveKoreaBetween 2008 and 201826012611321
Cha et al[20]RetrospectiveKoreaBetween January 2005 and December 201632297122103
Chatila et al[21]RetrospectiveUnited StatesBetween January 2023 and October 202310244
Cheminel et al[22]RetrospectiveFranceBetween January 2000 and December 2021861423481
Cho et al[23]RetrospectiveKoreaBetween January 2003 and December 2012411300111
Choi et al[24]RetrospectiveKoreaBetween December 2008 and November 20151348153
Chung et al[25]RetrospectiveKoreaBetween January 2013 and April 201833781143113
Dell’Unto et al[26]RetrospectiveItalyBetween 2010 and 20213121415
Duan et al[27]RetrospectiveChinaBetween December 2012 and June 20235272131991132
Heo et al[28]RetrospectiveKoreaBetween September 2007 and October 2012823448
Hwang et al[29]RetrospectiveKoreaBetween 2003 and 20144071968320
Inoue et al[30]RetrospectiveJapanBetween January 2003 and December 2012115432547
Jeon et al[31]RetrospectiveKoreaBetween January 2007 and December 200931625
Ju et al[32]RetrospectiveKoreaBetween January 2018 and December 2022121829957
Kaneko et al[33]RetrospectiveJapanBetween April 2001 and August 2013462224
Kim et al[34]RetrospectiveKoreaBetween October 1999 and November 20101071052
Kim et al[35]RetrospectiveKoreaBetween October 2004 and December 2019401
Kim et al[36]RetrospectiveKoreaBetween January 2012 and October 202168101147
Kim et al[37]RetrospectiveKoreaBetween January 1995 and March 2007302262
Kusuhara et al[38]RetrospectiveJapanBetween September 2007 and May 202350
Lee et al[39]RetrospectiveJapanBetween 2009 and 201834611972155
Li et al[40]RetrospectiveChinaBetween January 2010 and September 20194282111791226
Moon et al[14]RetrospectiveKoreaBetween March 2007 and December 20093535
Moon et al[41]RetrospectiveKoreaBetween January 2000 and November 2012407211923866
Nakamura et al[42]RetrospectiveJapanBetween April 2001 and March 20121701110851
Oh et al[43]RetrospectiveKoreaBetween January 2010 and November 20232121032283544
Park et al[44]RetrospectiveKoreaBetween January 2020 and August 20233783552530
Seo et al[45]RetrospectiveKoreaBetween 2008 and 2023202
Sun et al[13]RetrospectiveChinaBetween January 2010 and December 201695436
Sung et al[46]RetrospectiveKoreaBetween January 2000 and June 20107714585
Takita et al[47]RetrospectiveJapanBetween January 2005 and March 20141391011712
Wang et al[48]RetrospectiveChinaBetween February 2011 and September 2018272161111
Zheng et al[49]RetrospectiveChinaBetween August 2010 and October 2019983662
Zhuang et al[50]RetrospectiveChinaBetween January 2013 and December 20213263962471232
Table 2 Clinicopathological characteristics of patients with incomplete resection, mean ± SD.
Ref.Incomplete resectionResection margin
Salvage treatment
Observation
Sex (M/F)
Age
Positive
Indeterminate
LVI
Missing data
Cha et al[19]77255443211019/1254 (range: 27-84)
Cha et al[20]87571911444352/3548.6 ± 11.3
Chatila et al[21]10101004/653.4
Cheminel et al[22]8686051/3554 (range: 18-87)
Cho et al[23]6756249.6 ± 11.3
Choi et al[24]20613111913/650.8 ± 11.3
Chung et al[25]199847.5 (range: 39.6-57.1)
Dell’Unto et al[26]3131161518/3160.5 (range: 22-85)
Duan et al[27]18176105109/7259 (range: 50-66)
Heo et al[28]7601074/349.8 ± 11.6
Hwang et al[29]8708755/3251.7 ± 11.7
Inoue et al[30]2371671614/962 (range: 27-85)
Jeon et al[31]31624131021/1052.0 ± 11.8
Ju et al[32]12120299121073/4849 (range: 39-58)
Kaneko et al[33]11267/458 ± 12
Kim et al[34]5417370045/449.7
Kim et al[35]11834845431/2355 (range: 27-82)
Kim et al[36]6859968
Kim et al[37]9905
Kusuhara et al[38]50500049/1949.53 ± 11.20
Lee et al[39]6441121017
Li et al[40]5454005738/2650.4 ± 10.8
Moon et al[14]9186/349.0 (range: 32-74)5433/2149.9 ± 10.9
Moon et al[41]1482014710714
Nakamura et al[42]24240713488/6049.7 ± 10.9
Oh et al[43]21221201716/856.84 ± 13.27
Park et al[44]146954879/4443 (range: 21-76)
Seo et al[45]20276126
Sun et al[13]11676033743
Sung et al[46]1961312/752.3 ± 12.07363/5355.8 ± 11.3
Takita et al[47]1073
Wang et al[48]222203
Zheng et al[49]1313001913/949.3 ± 10.7
Zhuang et al[50]83701318138/548.3 ± 12.1
Table 3 Additional treatment modalities and follow-up duration, mean ± SD.
Ref.
Tumor size (mm)
Additional treatment method
Follow-up duration (month)
cEMR
mEMR
ESD
Hybrid ESD
EFTR
Surgery
APC
Cha et al[19]5.2 ± 1.716539.8 (range: 24.2-119.7)
Cha et al[20]4.72331140.5 (range: 4.27-102.7)
Chatila et al[21]8.610
Cheminel et al[22]5 (range: 2-10)1915441724 (range: 2-216)
Cho et al[23]5.8 ± 3.2
Choi et al[24]5.5 ± 2.427.4 ± 16.5
Chung et al[25]4.0 (range: 3.0-6.0)32435 (range: 24.4-48.8)
Dell’Unto et al[26]6 (range: 1.0-16.0)36
Duan et al[27]8.4 (range: 7.5-10.8)72
Heo et al[28]6.1 ± 2.713 (range: 3-57)
Hwang et al[29]8.6 ± 3.629.1 ± 31.3
Inoue et al[30]5 (range: 3-13)24.5 (range: 6-108)
Jeon et al[31]8.9 ± 3.23112
Ju et al[32]4 (range: 2-6)2794
Kaneko et al[33]6.461.6 (range: 12-150)
Kim et al[34]5.0 (range: 1.0-10.0)31 (range: 13-121)
Kim et al[35]39.3
Kim et al[36]4.46 ± 2.1151.85 ± 22.92
Kim et al[37]6.3 ± 3.119.3 (range: 0-122)
Kusuhara et al[38]5 (range: 2-10)227
Lee et al[39]5.4 ± 3.12139
Li et al[40]38 (range: 10-110)3448.8 (range: 12-131)
Moon et al[14]4.7 (range: 1-9)25 (range: 12-43)
Moon et al[41]5.7 ± 3.121
Nakamura et al[42]5.6 ± 2.448.327256.8 (range: 24-227.7)
Oh et al[43]
Park et al[44]4.7 ± 2.7171
Seo et al[45]35.0 ± 37.616719.0 (range: 1.2-57.5)
Sun et al[13]9.0 ± 4.0
Sung et al[46]7.0 ± 2.84361.4 (range: 33.4-125.3)
Takita et al[47]5.74218.5 (range: 5-107)
Wang et al[48]6.9 ± 3.331 (range: 6-97)
Zheng et al[49]6.3 ± 2.928.3 (range: 6-98)
Zhuang et al[50]6.5
Residual tumors following salvage treatment for incompletely resected rectal NETs

First, the risk of incomplete resection was assessed using the initial resection method. Among the 17 studies included in this analysis, the pooled incomplete resection rates varied substantially according to technique (Figure 2). Cold snare polypectomy (CSP) exhibited the highest rate at 73.1% (95%CI: 38.3%-95.6%), followed by cEMR at 29.8% (95%CI: 24.3%-34.5%) and mEMR at 28.4% (95%CI: 25.9%-35.8%). In contrast, ESD showed the lowest incomplete resection rate at 14.7% (95%CI: 12.9%-16.4%).

Figure 2
Figure 2 Incomplete resection rate by initial resection method. The forest plot shows pooled incomplete resection rates across different primary endoscopic techniques based on 17 studies[19,20,24,27,28,30,33,34,37,40-42,46-50]. Cold snare polypectomy exhibited the highest rate (73.1%), whereas endoscopic submucosal dissection had the lowest rate (14.7%). Conventional endoscopic mucosal resection and modified endoscopic mucosal resection had intermediate incomplete resection rates. This figure emphasizes the impact of the resection technique on histological completeness. CSP: Cold snare polypectomy; cEMR: Conventional endoscopic mucosal resection; mEMR: Modified endoscopic mucosal resection; ESD: Endoscopic submucosal dissection.

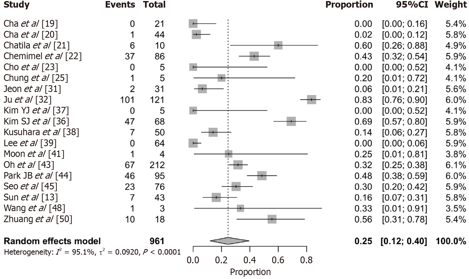
Next, we evaluated the frequency of residual lesions identified on salvage pathology in patients with an incomplete initial resection. In 19 studies, residual tumor status was reported based on pathological findings from salvage procedures. A single-arm meta-analysis using a random-effects model estimated the pooled residual lesion rate to be 25.0% (95%CI: 12.0%-40.0%). The inter-study heterogeneity was substantial (I2 = 95.1%). These findings suggest that a considerable proportion of patients harbor residual disease as confirmed on salvage pathology (Figure 3).

Figure 3
Figure 3 Residual tumor rate following salvage treatment. The forest plot shows the pooled residual lesion rate after salvage treatment in patients with incompletely resected rectal neuroendocrine tumors based on a single-arm meta-analysis of 19 studies. The pooled rate was 25.0% (95% confidence interval: 12.0%-40.0%). This indicates that a substantial proportion of patients may harbor remnant tumors despite additional intervention. CI: Confidence interval.
Crude recurrence rates: Salvage treatment vs observation

Crude recurrence rates were calculated based on the data from 31 studies that reported recurrence outcomes. Among the 732 patients who received salvage treatment, 7 (0.96 %) experienced recurrence. In contrast, 34 recurrences occurred in 1148 patients (2.96%) who were managed with observation. This difference was statistically significant (P = 0.003), favoring the salvage group. These results are presented in Figure 4, which illustrates group-level recurrence proportions and absolute event counts.

Figure 4
Figure 4 Crude recurrence rates: Salvage treatment vs observation. The bar plot summarizes the crude recurrence rates from 31 studies by treatment group. Recurrence occurred in 0.96% of the patients receiving salvage treatment (7/776) and 2.96% of those managed with observation (34/1246), showing a statistically significant difference (P = 0.003) in favor of salvage treatment. O: Observation; S: Salvage treatment.
Comparative meta-analysis of recurrence risk: Salvage treatment vs observation

To further evaluate the effect of salvage treatment on recurrence, a meta-analysis was conducted using nine studies that reported recurrence outcomes in both the salvage and observation groups. The pooled OR for recurrence in the salvage group compared to the observation group was 0.89 (95%CI: 0.40-2.02). Although the point estimate numerically favored salvage treatment, the difference was not statistically significant. Between-study heterogeneity was negligible (I2 = 0%, τ2 = 0,P = 0.83). These findings (Figure 5) suggest that while salvage treatment may be associated with a lower recurrence rate, current comparative evidence is insufficient to confirm its superiority over observation.

Figure 5
Figure 5 Meta-analysis of recurrence risk: Salvage treatment vs observation. The forest plot compares the recurrence risk between salvage treatment and observation based on nine studies reporting events in both groups. The pooled odds ratio was 0.89 (95% confidence interval: 0.40-2.02), with no statistical significance and negligible heterogeneity (I2 = 0%), suggesting inconclusive comparative effectiveness. OR: Odds ratio; CI: Confidence interval.
Risk of bias across studies

All the included studies were observational and exhibited varying levels of methodological rigor. According to the ROBINS-I assessment, most studies were judged to have a moderate to serious overall risk of bias, primarily because of insufficient adjustment for confounders and incomplete outcome data. A detailed breakdown of the risk assessments across domains is shown in Supplementary Figure 1.

Certainty of evidence based on GRADE

The certainty of the evidence for recurrence outcomes was rated low, primarily because of the serious risks of bias and imprecision. Although the point estimate (OR = 0.84) numerically favored salvage treatment over observation, the wide CI (95%CI: 0.42-1.68) and limited number of comparative studies contributed to serious imprecision. The certainty of evidence was rated as very low for the residual lesion rate after salvage treatment, reflecting both a serious risk of bias and high heterogeneity across studies. These assessments are summarized in the GRADE summary of findings table (Table 4).

Table 4 Grading of recommendations assessment, development, and evaluation summary of findings.
Outcome
Number of participants (studies)
Effect (95%CI)
Risk of Bias
Inconsistency
Indirectness
Imprecision
Publication Bias
Certainty of evidence (GRADE)
Residual tumor after salvage treatment1223 (19 studies)Approximately 25% (12%-40%)SeriousSeriousNot seriousNot seriousNot detectedVery low
Recurrence (salvage vs observation)2022 (9 studies)OR = 0.84 (0.42-1.68)SeriousNot seriousNot seriousSeriousNot detectedLow
DISCUSSION

This systematic review and meta-analysis evaluated whether salvage treatment offers a clinical advantage over observation after incomplete endoscopic resection of rectal NETs. Two principal outcomes were analyzed: (1) The prevalence of residual tumors after salvage intervention; and (2) The risk of recurrence based on the management strategy.

A pooled analysis of 19 studies showed that residual tumors were detected in approximately 25% of the patients who underwent salvage treatment[13,14,19,20,27,29,33,35-46]. This notable prevalence underscores the limitations of initial endoscopic resection, particularly in the presence of positive or indeterminate margins, or lymphovascular invasion. Accordingly, salvage interventions may serve not only as therapeutic strategies but also as diagnostic procedures for identifying and managing residual diseases.

Importantly, the likelihood of incomplete resection appeared to depend significantly on the initial resection technique. A pooled analysis of 17 studies showed that CSP had the highest incomplete resection rate (73.1%), followed by cEMR (29.8%), mEMR (28.4%), and ESD showing the lowest rate (14.7%)[19,20,24,27,28,30,33,34,37,40-42,46-50]. These findings highlight the importance of selecting the appropriate technique for treating suspected rectal NETs. Given the high incomplete resection rate, CSP may be suboptimal in this setting and should be avoided when margin assessment is critical. Where sufficient expertise is available, ESD should be considered the primary resection technique, as it offers the highest likelihood of achieving complete (R0) resection and reducing the need for subsequent salvage procedures.

For recurrence outcomes, crude pooled data from 31 studies showed a statistically significant benefit associated with salvage treatment; recurrence occurred in 0.96% of patients in the salvage group vs 2.96% in the observation group (P = 0.003)[13,14,19-35,37-39,41-43,45-50]. However, a meta-analysis limited to nine studies that included both treatment groups found no statistically significant difference in recurrence risk (OR = 0.89; 95%CI: 0.40-2.02). This discrepancy likely reflects confounding by indication and selection bias, as higher-risk patients those with positive margins, larger tumors, or lymphovascular invasion were more likely to undergo salvage treatment in the included observational studies. Therefore, the crude analysis should be interpreted with caution, as it may overestimate the effect of salvage treatment. In contrast, the comparative meta-analysis, despite its wider CIs, provides a more valid estimate of the treatment effect because it accounts for between-study variance and excludes double-zero studies.

These findings suggest the potential benefit of salvage treatment in reducing recurrence; however, the evidence remains inconclusive. Notably, the recurrence rates were low in both groups, reaffirming the favorable prognosis of small rectal NETs when appropriately managed. Routine salvage treatment may therefore offer limited additional benefits in terms of recurrence prevention and should be considered in the context of individual patient risk and procedural burden.

This study has several limitations. First, all the included studies were observational, mostly retrospective, single-center case series, introducing the potential for selection bias, reporting bias, and unmeasured confounding factors. Second, the quality of evidence was generally limited, with most studies judged to have a moderate to serious risk of bias based on the ROBINS-I assessment. Third, substantial heterogeneity was observed in the residual lesion meta-analysis (I2 = 95.1%), likely due to the variability in tumor characteristics, endoscopic techniques, definitions of incomplete resection, and follow-up protocols. Although potential sources of heterogeneity were carefully reviewed, quantitative subgroup analyses (e.g., by tumor size, lymphovascular invasion, or salvage type) were not feasible due to incomplete reporting across studies. Fourth, the exclusion of studies with zero events in both treatment arms may have reduced the precision of recurrence estimates. Finally, the low frequency of recurrence events limited the statistical power and precluded meaningful subgroup analyses to explore prognostic factors such as tumor grade, margin distance, and lymphovascular invasion.

CONCLUSION

Given the relatively high rate of residual tumors and low overall recurrence rate, salvage treatment after incomplete resection of rectal NETs may be justified as both a diagnostic and therapeutic intervention. However, based on current comparative evidence, its efficacy in reducing recurrence remains uncertain. Therefore, clinical decisions should be individualized, taking into consideration the tumor characteristics, resection margin status, and patient preferences. As the certainty of evidence is low, these conclusions should be interpreted with caution. To better inform treatment strategies and clinical guidelines, high-quality prospective multicenter studies with standardized definitions and consistent outcome reporting are urgently required.

References
1.  Rinke A, Ambrosini V, Dromain C, Garcia-Carbonero R, Haji A, Koumarianou A, van Dijkum EN, O'Toole D, Rindi G, Scoazec JY, Ramage J. European Neuroendocrine Tumor Society (ENETS) 2023 guidance paper for colorectal neuroendocrine tumours. J Neuroendocrinol. 2023;35:e13309.  [RCA]  [PubMed]  [DOI]  [Full Text]  [Cited by in Crossref: 141]  [Cited by in RCA: 108]  [Article Influence: 36.0]  [Reference Citation Analysis (1)]
2.  Modlin IM, Oberg K, Chung DC, Jensen RT, de Herder WW, Thakker RV, Caplin M, Delle Fave G, Kaltsas GA, Krenning EP, Moss SF, Nilsson O, Rindi G, Salazar R, Ruszniewski P, Sundin A. Gastroenteropancreatic neuroendocrine tumours. Lancet Oncol. 2008;9:61-72.  [RCA]  [PubMed]  [DOI]  [Full Text]  [Cited by in Crossref: 1319]  [Cited by in RCA: 1178]  [Article Influence: 65.4]  [Reference Citation Analysis (0)]
3.  Ito T, Masui T, Komoto I, Doi R, Osamura RY, Sakurai A, Ikeda M, Takano K, Igarashi H, Shimatsu A, Nakamura K, Nakamoto Y, Hijioka S, Morita K, Ishikawa Y, Ohike N, Kasajima A, Kushima R, Kojima M, Sasano H, Hirano S, Mizuno N, Aoki T, Aoki T, Ohtsuka T, Okumura T, Kimura Y, Kudo A, Konishi T, Matsumoto I, Kobayashi N, Fujimori N, Honma Y, Morizane C, Uchino S, Horiuchi K, Yamasaki M, Matsubayashi J, Sato Y, Sekiguchi M, Abe S, Okusaka T, Kida M, Kimura W, Tanaka M, Majima Y, Jensen RT, Hirata K, Imamura M, Uemoto S. JNETS clinical practice guidelines for gastroenteropancreatic neuroendocrine neoplasms: diagnosis, treatment, and follow-up: a synopsis. J Gastroenterol. 2021;56:1033-1044.  [RCA]  [PubMed]  [DOI]  [Full Text]  [Full Text (PDF)]  [Cited by in Crossref: 147]  [Cited by in RCA: 124]  [Article Influence: 24.8]  [Reference Citation Analysis (0)]
4.  Yao JC, Hassan M, Phan A, Dagohoy C, Leary C, Mares JE, Abdalla EK, Fleming JB, Vauthey JN, Rashid A, Evans DB. One hundred years after "carcinoid": epidemiology of and prognostic factors for neuroendocrine tumors in 35,825 cases in the United States. J Clin Oncol. 2008;26:3063-3072.  [RCA]  [PubMed]  [DOI]  [Full Text]  [Cited by in Crossref: 3667]  [Cited by in RCA: 3264]  [Article Influence: 181.3]  [Reference Citation Analysis (0)]
5.  Dasari A, Shen C, Halperin D, Zhao B, Zhou S, Xu Y, Shih T, Yao JC. Trends in the Incidence, Prevalence, and Survival Outcomes in Patients With Neuroendocrine Tumors in the United States. JAMA Oncol. 2017;3:1335-1342.  [RCA]  [PubMed]  [DOI]  [Full Text]  [Full Text (PDF)]  [Cited by in Crossref: 2948]  [Cited by in RCA: 2695]  [Article Influence: 299.4]  [Reference Citation Analysis (0)]
6.  Liu M, Wei L, Liu W, Chen S, Guan M, Zhang Y, Guo Z, Liu R, Xie P. Trends in incidence and survival in patients with gastrointestinal neuroendocrine tumors: A SEER database analysis, 1977-2016. Front Oncol. 2023;13:1079575.  [RCA]  [PubMed]  [DOI]  [Full Text]  [Cited by in RCA: 19]  [Reference Citation Analysis (0)]
7.  Matsuno K, Miyamoto H, Kitada H, Yoshimatsu S, Tamura F, Sakurai K, Fukubayashi K, Shono T, Setoyama H, Matsuyama T, Suko S, Narita R, Honda M, Tateyama M, Naoe H, Morinaga J, Tanaka Y, Gushima R. Comparison of endoscopic submucosal resection with ligation and endoscopic submucosal dissection for small rectal neuroendocrine tumors: A multicenter retrospective study. DEN Open. 2023;3:e163.  [RCA]  [PubMed]  [DOI]  [Full Text]  [Full Text (PDF)]  [Cited by in Crossref: 4]  [Cited by in RCA: 10]  [Article Influence: 3.3]  [Reference Citation Analysis (17)]
8.  Lee SH, Park SJ, Kim HH, Ok KS, Kim JH, Jee SR, Seol SY, Kim BM. Endoscopic resection for rectal carcinoid tumors: comparison of polypectomy and endoscopic submucosal resection with band ligation. Clin Endosc. 2012;45:89-94.  [RCA]  [PubMed]  [DOI]  [Full Text]  [Full Text (PDF)]  [Cited by in Crossref: 21]  [Cited by in RCA: 17]  [Article Influence: 1.2]  [Reference Citation Analysis (0)]
9.  Hong SM, Baek DH. Endoscopic treatment for rectal neuroendocrine tumor: which method is better? Clin Endosc. 2022;55:496-506.  [RCA]  [PubMed]  [DOI]  [Full Text]  [Full Text (PDF)]  [Cited by in Crossref: 28]  [Cited by in RCA: 23]  [Article Influence: 5.8]  [Reference Citation Analysis (0)]
10.  Gao X, Huang S, Wang Y, Peng Q, Li W, Zou Y, Han Z, Cai J, Luo Y, Ye Y, Li A, Bai Y, Chen Y, Liu S, Li Y. Modified Cap-Assisted Endoscopic Mucosal Resection Versus Endoscopic Submucosal Dissection for the Treatment of Rectal Neuroendocrine Tumors ≤10 mm: A Randomized Noninferiority Trial. Am J Gastroenterol. 2022;117:1982-1989.  [RCA]  [PubMed]  [DOI]  [Full Text]  [Cited by in Crossref: 5]  [Cited by in RCA: 20]  [Article Influence: 5.0]  [Reference Citation Analysis (1)]
11.  Yu Q, Zhang Y, Su Y, Zhao Q, Xiong K, Zhang L, Fang H. Optimization of Endoscopic Submucosal Dissection and Endoscopic Mucosal Resection Strategies for Rectal Neuroendocrine Tumors Within 20 mm. Am Surg. 2024;90:1176-1186.  [RCA]  [PubMed]  [DOI]  [Full Text]  [Cited by in Crossref: 2]  [Cited by in RCA: 4]  [Article Influence: 2.0]  [Reference Citation Analysis (0)]
12.  Goo JJ, Baek DH, Kim HW, Lee HS, Lee JY, Park SB, Song GA, Lee SH, Lee JH; Busan Ulsan Gyeongnam Intestinal Study Group Society (BIGS). Clinical outcomes and risk factors associated with poor prognosis after endoscopic resection of 10-20 mm rectal neuroendocrine tumors: a multicenter, retrospective study of 10-year experience. Surg Endosc. 2023;37:5196-5204.  [RCA]  [PubMed]  [DOI]  [Full Text]  [Cited by in RCA: 13]  [Reference Citation Analysis (1)]
13.  Sun D, Ren Z, Xu E, Cai S, Qi Z, Chen Z, Liu J, Shi Q, Zhou P, Zhong Y. Long-term clinical outcomes of endoscopic submucosal dissection in rectal neuroendocrine tumors based on resection margin status: a real-world study. Surg Endosc. 2023;37:2644-2652.  [RCA]  [PubMed]  [DOI]  [Full Text]  [Cited by in Crossref: 11]  [Cited by in RCA: 17]  [Article Influence: 5.7]  [Reference Citation Analysis (2)]
14.  Moon CM, Huh KC, Jung SA, Park DI, Kim WH, Jung HM, Koh SJ, Kim JO, Jung Y, Kim KO, Kim JW, Yang DH, Shin JE, Shin SJ, Kim ES, Joo YE. Long-Term Clinical Outcomes of Rectal Neuroendocrine Tumors According to the Pathologic Status After Initial Endoscopic Resection: A KASID Multicenter Study. Am J Gastroenterol. 2016;111:1276-1285.  [RCA]  [PubMed]  [DOI]  [Full Text]  [Cited by in Crossref: 66]  [Cited by in RCA: 62]  [Article Influence: 6.2]  [Reference Citation Analysis (0)]
15.  Panzuto F, Parodi MC, Esposito G, Massironi S, Fantin A, Cannizzaro R, Milione M, De Angelis CG, Annibale B. Endoscopic management of gastric, duodenal and rectal NETs: Position paper from the Italian Association for Neuroendocrine Tumors (Itanet), Italian Society of Gastroenterology (SIGE), Italian Society of Digestive Endoscopy (SIED). Dig Liver Dis. 2024;56:589-600.  [RCA]  [PubMed]  [DOI]  [Full Text]  [Cited by in Crossref: 28]  [Cited by in RCA: 25]  [Article Influence: 12.5]  [Reference Citation Analysis (0)]
16.  National Comprehensive Cancer Network  NCCN Clinical Practive Guidelines in Oncology. Neuroendocrine and Adrenal Tumors. ver 1.2025.  [PubMed]  [DOI]
17.  Page MJ, McKenzie JE, Bossuyt PM, Boutron I, Hoffmann TC, Mulrow CD, Shamseer L, Tetzlaff JM, Akl EA, Brennan SE, Chou R, Glanville J, Grimshaw JM, Hróbjartsson A, Lalu MM, Li T, Loder EW, Mayo-Wilson E, McDonald S, McGuinness LA, Stewart LA, Thomas J, Tricco AC, Welch VA, Whiting P, Moher D. The PRISMA 2020 statement: an updated guideline for reporting systematic reviews. BMJ. 2021;372:n71.  [RCA]  [PubMed]  [DOI]  [Full Text]  [Cited by in Crossref: 9803]  [Reference Citation Analysis (0)]
18.  Guyatt GH, Oxman AD, Vist GE, Kunz R, Falck-Ytter Y, Alonso-Coello P, Schünemann HJ; GRADE Working Group. GRADE: an emerging consensus on rating quality of evidence and strength of recommendations. BMJ. 2008;336:924-926.  [RCA]  [PubMed]  [DOI]  [Full Text]  [Cited by in Crossref: 17839]  [Cited by in RCA: 16401]  [Article Influence: 911.2]  [Reference Citation Analysis (1)]
19.  Cha B, Shin J, Ko WJ, Kwon KS, Kim H. Prognosis of incompletely resected small rectal neuroendocrine tumor using endoscope without additional treatment. BMC Gastroenterol. 2022;22:293.  [RCA]  [PubMed]  [DOI]  [Full Text]  [Full Text (PDF)]  [Cited by in Crossref: 3]  [Cited by in RCA: 20]  [Article Influence: 5.0]  [Reference Citation Analysis (0)]
20.  Cha JH, Jung DH, Kim JH, Youn YH, Park H, Park JJ, Um YJ, Park SJ, Cheon JH, Kim TI, Kim WH, Lee HJ. Long-term outcomes according to additional treatments after endoscopic resection for rectal small neuroendocrine tumors. Sci Rep. 2019;9:4911.  [RCA]  [PubMed]  [DOI]  [Full Text]  [Full Text (PDF)]  [Cited by in Crossref: 32]  [Cited by in RCA: 31]  [Article Influence: 4.4]  [Reference Citation Analysis (1)]
21.  Chatila A, Kaimakliotis P, Panchal S, Leung G. Outcomes of Endoscopic Submucosal Dissection of Rectal Scars of Incompletely Resected Neuroendocrine Tumors. Gastrointest Endosc. 2024;99:AB620-AB621.  [PubMed]  [DOI]  [Full Text]
22.  Cheminel L, Lupu A, Wallenhorst T, Lepilliez V, Leblanc S, Albouys J, Abou Ali E, Barret M, Lorenzo D, De Mestier L, Burtin P, Girot P, Le Baleur Y, Gerard R, Yzet C, Tchirikhtchian K, Degand T, Culetto A, Lemmers A, Schaefer M, Chevaux JB, Zhong P, Hervieu V, Subtil F, Rivory J, Fine C, Jacques J, Walter T, Pioche M. Systematic Resection of the Visible Scar After Incomplete Endoscopic Resection of Rectal Neuroendocrine Tumors. Am J Gastroenterol. 2024;119:378-381.  [RCA]  [PubMed]  [DOI]  [Full Text]  [Cited by in Crossref: 15]  [Cited by in RCA: 9]  [Article Influence: 4.5]  [Reference Citation Analysis (0)]
23.  Cho Y, Kim S, Baek I, Park S. PD-007 Clinical outcome of Endoscopic Resection of Rectal Neuroendocrine Tumor- NET registry multicenter study. Ann Oncol. 2015;26:iv102.  [PubMed]  [DOI]  [Full Text]
24.  Choi CW, Park SB, Kang DH, Kim HW, Kim SJ, Nam HS, Ryu DG. The clinical outcomes and risk factors associated with incomplete endoscopic resection of rectal carcinoid tumor. Surg Endosc. 2017;31:5006-5011.  [RCA]  [PubMed]  [DOI]  [Full Text]  [Cited by in Crossref: 13]  [Cited by in RCA: 32]  [Article Influence: 3.6]  [Reference Citation Analysis (0)]
25.  Chung HG, Goh MJ, Kim ER, Hong SN, Kim TJ, Chang DK, Kim YH. Recurrence pattern and surveillance strategy for rectal neuroendocrine tumors after endoscopic resection. J Gastroenterol Hepatol. 2021;36:968-973.  [RCA]  [PubMed]  [DOI]  [Full Text]  [Cited by in Crossref: 1]  [Cited by in RCA: 12]  [Article Influence: 2.4]  [Reference Citation Analysis (0)]
26.  Dell’Unto E, Marasco M, Mosca M, Gallo C, Esposito G, Rinzivillo M, Pilozzi E, Orrù F, Campana D, Massironi S, Annibale B, Panzuto F. Clinical Outcome of Patients with Gastric, Duodenal, or Rectal Neuroendocrine Tumors after Incomplete Endoscopic Resection. J Clin Med. 2024;13:2535.  [RCA]  [PubMed]  [DOI]  [Full Text]  [Full Text (PDF)]  [Cited by in Crossref: 3]  [Cited by in RCA: 10]  [Article Influence: 5.0]  [Reference Citation Analysis (3)]
27.  Duan M, Liu Z, Qiao Y, Huang P, Xie H, Xiao W, Luo S, Xie Z, Sun Q, Wang L, Wan T, Zhang Z, Liu H, Zheng H, Zhou Y, Lei D, Shi Y, Lai S, Zhou Z, Ye F, Huang L. Clinical significance of positive resection margin for patients with rectal neuroendocrine tumors within 20 mm following initial endoscopic resection: A multi-center study. Eur J Surg Oncol. 2024;50:108651.  [RCA]  [PubMed]  [DOI]  [Full Text]  [Cited by in RCA: 2]  [Reference Citation Analysis (0)]
28.  Heo J, Jeon SW, Jung MK, Kim SK, Shin GY, Park SM, Ahn SY, Yoon WK, Kim M, Kwon YH. A tailored approach for endoscopic treatment of small rectal neuroendocrine tumor. Surg Endosc. 2014;28:2931-2938.  [RCA]  [PubMed]  [DOI]  [Full Text]  [Cited by in Crossref: 5]  [Cited by in RCA: 13]  [Article Influence: 1.1]  [Reference Citation Analysis (0)]
29.  Hwang J, Park Y, Yoon H, Shin C, Kim N, Lee D. Clinico-pathologic characteristics that affect the treatment and recurrence of rectal carcinoid tumour in Korea. Abstracts of the 10th Scientific and Annual Meeting of the European Society of Coloproctology; 2015 Sep 23-25; Dublin, Ireland. Colorectal Dis. 2015;17:68.  [PubMed]  [DOI]
30.  Inoue T, Nishida T, Ichiba M, Ishihara R, Masuda E, Yasunaga Y, Hayashi E, Ito T, Doi Y, Suzuki K, Ogawa H, Nakamura E, Komori M, Zushi S, Hagiwara H, Kubo M, Yamamoto K, Kato M, Yamada T, Iijima H, Tsujii M, Takehara T. Tu1506 Short and Midterm Outcomes of Endoscopic Resection for Small Rectal Carcinoid - a Multicenter Study by the Osaka Gut Forum Group. Gastrointest Endosc. 2013;77:AB565.  [PubMed]  [DOI]  [Full Text]
31.  Jeon SM, Lee JH, Hong SP, Kim TI, Kim WH, Cheon JH. Feasibility of salvage endoscopic mucosal resection by using a cap for remnant rectal carcinoids after primary EMR. Gastrointest Endosc. 2011;73:1009-1014.  [RCA]  [PubMed]  [DOI]  [Full Text]  [Cited by in Crossref: 24]  [Cited by in RCA: 23]  [Article Influence: 1.5]  [Reference Citation Analysis (1)]
32.  Ju Y, Bong JW, Cheong C, Kang S, Min BW, Lee SI. Effective utilization of polypectomy in endoscopic salvage treatment of rectal neuroendocrine tumors: a retrospective cohort study. Ann Surg Treat Res. 2024;107:151-157.  [RCA]  [PubMed]  [DOI]  [Full Text]  [Full Text (PDF)]  [Cited by in RCA: 3]  [Reference Citation Analysis (1)]
33.  Kaneko H, Hirasawa K, Koh R, Kobayashi R, Kokawa A, Tanaka K, Maeda S. Treatment outcomes of endoscopic resection for rectal carcinoid tumors: an analysis of the resectability and long-term results from 46 consecutive cases. Scand J Gastroenterol. 2016;51:1489-1494.  [RCA]  [PubMed]  [DOI]  [Full Text]  [Cited by in Crossref: 28]  [Cited by in RCA: 25]  [Article Influence: 2.5]  [Reference Citation Analysis (0)]
34.  Kim GU, Kim KJ, Hong SM, Yu ES, Yang DH, Jung KW, Ye BD, Byeon JS, Myung SJ, Yang SK, Kim JH. Clinical outcomes of rectal neuroendocrine tumors ≤ 10 mm following endoscopic resection. Endoscopy. 2013;45:1018-1023.  [RCA]  [PubMed]  [DOI]  [Full Text]  [Cited by in Crossref: 43]  [Cited by in RCA: 42]  [Article Influence: 3.2]  [Reference Citation Analysis (0)]
35.  Kim S, Koh SJ, Im JP, Kim JS, Lee HJ. Long-Term Clinical Outcomes of Microscopic Incomplete Resection after Macroscopic Complete Endoscopic Resection in Rectal Neuroendocrine Tumors. Gut Liver. 2024;18:97.  [PubMed]  [DOI]
36.  Kim SJ, Lee J, Kim GW, Kim SY. The role of endoscopic ultrasonography for diagnosis of residual rectal neuroendocrine tumor. Surg Endosc. 2024;38:4260-4267.  [RCA]  [PubMed]  [DOI]  [Full Text]  [Cited by in Crossref: 5]  [Cited by in RCA: 5]  [Article Influence: 2.5]  [Reference Citation Analysis (0)]
37.  Kim YJ, Lee SK, Cheon JH, Kim TI, Lee YC, Kim WH, Chung JB, Yi SW, Park S. [Efficacy of endoscopic resection for small rectal carcinoid: a retrospective study]. Korean J Gastroenterol. 2008;51:174-180.  [PubMed]  [DOI]
38.  Kusuhara M, Sekiguchi M, Hirai Y, Mizuguchi Y, Toyoshima N, Takamaru H, Yamada M, Kobayashi N, Saito Y. Clinical Outcomes of Subsequent Endoscopic Resection in Patients with Rectal Neuroendocrine Tumors Following Initial Endoscopic Resection with a Positive or Indeterminate Vertical Margin. Gastrointest Endosc. 2024;99:AB559-AB560.  [PubMed]  [DOI]  [Full Text]
39.  Lee HJ, Seo Y, Oh CK, Lee JM, Choi HH, Gweon TG, Lee SH, Cheung DY, Kim JI, Park SH, Lee HH. Assessing risk stratification in long-term outcomes of rectal neuroendocrine tumors following endoscopic resection: a multicenter retrospective study. Scand J Gastroenterol. 2024;59:868-874.  [RCA]  [PubMed]  [DOI]  [Full Text]  [Cited by in Crossref: 5]  [Cited by in RCA: 5]  [Article Influence: 2.5]  [Reference Citation Analysis (1)]
40.  Li Y, Pan F, Sun G, Wang ZK, Meng K, Peng LH, Lu ZS, Dou Y, Yan B, Liu QS. Risk Factors and Clinical Outcomes of 54 Cases of Rectal Neuroendocrine Tumors with Incomplete Resection: A Retrospective Single-Center Study. Ther Clin Risk Manag. 2021;17:1153-1161.  [RCA]  [PubMed]  [DOI]  [Full Text]  [Cited by in Crossref: 11]  [Cited by in RCA: 10]  [Article Influence: 2.0]  [Reference Citation Analysis (0)]
41.  Moon SH, Hwang JH, Sohn DK, Park JW, Hong CW, Han KS, Chang HJ, Oh JH. Endoscopic submucosal dissection for rectal neuroendocrine (carcinoid) tumors. J Laparoendosc Adv Surg Tech A. 2011;21:695-699.  [RCA]  [PubMed]  [DOI]  [Full Text]  [Cited by in Crossref: 19]  [Cited by in RCA: 17]  [Article Influence: 1.1]  [Reference Citation Analysis (0)]
42.  Nakamura K, Osada M, Goto A, Iwasa T, Takahashi S, Takizawa N, Akahoshi K, Ochiai T, Nakamura N, Akiho H, Itaba S, Harada N, Iju M, Tanaka M, Kubo H, Somada S, Ihara E, Oda Y, Ito T, Takayanagi R. Short- and long-term outcomes of endoscopic resection of rectal neuroendocrine tumours: analyses according to the WHO 2010 classification. Scand J Gastroenterol. 2016;51:448-455.  [RCA]  [PubMed]  [DOI]  [Full Text]  [Cited by in Crossref: 38]  [Cited by in RCA: 33]  [Article Influence: 3.0]  [Reference Citation Analysis (0)]
43.  Oh HH, Kim DH, Lim KY, Ji JH, Choi S, Lee JG, Jung Y, Chun J, Joo YE. Factors Associated Remnant Tumor after Incompletely Resected Rectal Neuroendocrine Tumor: A KASID Multicenter Study. Gut Liver. 2024;18.  [PubMed]  [DOI]
44.  Park JB, Kim GH, Kim M, Hong SW, Hwang SW, Park SH, Ye BD, Byeon JS, Myung SJ, Yang SK, Lim SB, Hong SM, Yang DH. Risk factors for residual tumors in histologically incompletely resected rectal neuroendocrine tumors. Dig Liver Dis. 2025;57:1473-1480.  [RCA]  [PubMed]  [DOI]  [Full Text]  [Cited by in Crossref: 4]  [Cited by in RCA: 5]  [Article Influence: 5.0]  [Reference Citation Analysis (0)]
45.  Seo Y, Joo YE, Oh HH, Lim CJ, Kim JS, Im CM, Kim S. Clinical Outcomes of Endoscopic Incompletely Resected Rectal Neuroendocrine Tumors and Risk Factors Associated with Residual Tumors after Salvage Treatment. Gut Liver. 2024;18.  [PubMed]  [DOI]
46.  Sung HY, Kim SW, Kang WK, Kim SY, Jung CK, Cho YK, Park JM, Lee IS, Choi MG, Chung IS. Long-term prognosis of an endoscopically treated rectal neuroendocrine tumor: 10-year experience in a single institution. Eur J Gastroenterol Hepatol. 2012;24:978-983.  [RCA]  [PubMed]  [DOI]  [Full Text]  [Cited by in Crossref: 39]  [Cited by in RCA: 42]  [Article Influence: 3.0]  [Reference Citation Analysis (0)]
47.  Takita M, Ohata K, Misumi Y, Tsunashima H, Tashima T, Minato Y, Sakai E, Muramoto T, Matsuyama Y, Nonaka K, Matuhashi N. Clinical outcomes of rectal neuroendocrine tumors treated by endoscopic resection. United Eur Gastroent J. 2015;3:A454.  [PubMed]  [DOI]
48.  Wang XY, Chai NL, Linghu EQ, Li HK, Zhai YQ, Feng XX, Zhang WG, Zou JL, Li LS, Xiang JY. Efficacy and safety of hybrid endoscopic submucosal dissection compared with endoscopic submucosal dissection for rectal neuroendocrine tumors and risk factors associated with incomplete endoscopic resection. Ann Transl Med. 2020;8:368.  [RCA]  [PubMed]  [DOI]  [Full Text]  [Full Text (PDF)]  [Cited by in Crossref: 28]  [Cited by in RCA: 26]  [Article Influence: 4.3]  [Reference Citation Analysis (0)]
49.  Zheng Y, Guo K, Zeng R, Chen Z, Liu W, Zhang X, Liang W, Liu J, Chen H, Sha W. Prognosis of rectal neuroendocrine tumors after endoscopic resection: a single-center retrospective study. J Gastrointest Oncol. 2021;12:2763-2774.  [RCA]  [PubMed]  [DOI]  [Full Text]  [Full Text (PDF)]  [Cited by in Crossref: 11]  [Cited by in RCA: 10]  [Article Influence: 2.0]  [Reference Citation Analysis (0)]
50.  Zhuang X, Zhang S, Chen G, Luo Z, Hu H, Huang W, Guo Y, Ouyang Y, Peng L, Qing Q, Chen H, Li B, Chen J, Wang X. Risk factors and clinical outcomes of incomplete endoscopic resection of small rectal neuroendocrine tumors in southern China: a 9-year data analysis. Gastroenterol Rep (Oxf). 2023;11:goac084.  [RCA]  [PubMed]  [DOI]  [Full Text]  [Full Text (PDF)]  [Cited by in RCA: 8]  [Reference Citation Analysis (0)]
Footnotes

Provenance and peer review: Unsolicited article; Externally peer reviewed.

Peer-review model: Single blind

Specialty type: Gastroenterology and hepatology

Country of origin: South Korea

Peer-review report’s classification

Scientific Quality: Grade B, Grade B

Novelty: Grade B, Grade B

Creativity or Innovation: Grade B, Grade C

Scientific Significance: Grade A, Grade C

Open Access: This article is an open-access article that was selected by an in-house editor and fully peer-reviewed by external reviewers. It is distributed in accordance with the Creative Commons Attribution NonCommercial (CC BY-NC 4.0) license, which permits others to distribute, remix, adapt, build upon this work non-commercially, and license their derivative works on different terms, provided the original work is properly cited and the use is non-commercial. See: https://creativecommons.org/Licenses/by-nc/4.0/

P-Reviewer: Chen QQ, MD, Associate Chief Physician, China; Tan HY, MD, Professor, China S-Editor: Fan M L-Editor: A P-Editor: Lei YY

Write to the Help Desk