BPG is committed to discovery and dissemination of knowledge
Retrospective Study Open Access
Copyright: ©Author(s) 2026. This article is an open access article distributed under the terms and conditions of the Creative Commons Attribution-NonCommercial (CC BY-NC 4.0) license. No commercial re-use. See permissions. Published by Baishideng Publishing Group Inc.
World J Gastroenterol. May 7, 2026; 32(17): 117823
Published online May 7, 2026. doi: 10.3748/wjg.v32.i17.117823
Clinical significance of autoantibody profiling and systemic inflammation in predicting outcomes of gastric cancer patients undergoing immunotherapy
Pei-Ming Zheng, Li-Bo Ouyang, Rong Wang, Ke-Ying Jing, Chun-Kai Zhu, Department of Clinical Laboratory, Henan Provincial People’s Hospital, People’s Hospital of Zhengzhou University, Zhengzhou 450003, Henan Province, China
Hui-Jie Gao, Department of Oncology, The First Affiliated Hospital of Henan University, Kaifeng 475000, Henan Province, China
ORCID number: Pei-Ming Zheng (0009-0000-3128-7639).
Co-first authors: Pei-Ming Zheng and Li-Bo Ouyang.
Author contributions: Zheng PM conducted the majority of experiments and wrote the manuscript; Zheng PM, Ouyang LB and Wang R designed the study and served as a scientific advisor and guarantor; Wang R corrected the manuscript; Jing KY was involved in applying the analytical tools; Gao HJ and Zhu CK participated in the collection of human material.
Supported by the Henan Provincial Program for Young and Middle-Aged Innovators in Health Science and Technology, No. LJRC2024002; and the Natural Science Foundation of Henan Province, No. 252300421373.
Institutional review board statement: The study protocol was approved by the Henan Provincial People’s Hospital (approval No. 2023-126).
Informed consent statement: Informed consent was obtained from all study participants.
Conflict-of-interest statement: The authors declare that they have no conflict of interest.
Data sharing statement: No additional data are available.
Corresponding author: Pei-Ming Zheng, PhD, Associate Chief Technician, Department of Clinical Laboratory, Henan Provincial People’s Hospital, People’s Hospital of Zhengzhou University, No. 7 Weiwu Road, Jinshui District, Zhengzhou 450003, Henan Province, China. zpm8266@163.com
Received: December 18, 2025
Revised: January 13, 2026
Accepted: February 4, 2026
Published online: May 7, 2026
Processing time: 127 Days and 20.9 Hours

Abstract
BACKGROUND

The identification of reliable biomarkers is crucial for predicting outcomes in gastric cancer patients receiving immunotherapy. While autoantibodies antinuclear antibody (ANA) and extractable nuclear antigen (ENA) and systemic inflammation have been implicated in cancer prognosis, their combined role in this context remains to be fully elucidated.

AIM

To evaluate the clinical significance of autoantibodies, alongside tumor markers and inflammatory indicators, in gastric cancer patients undergoing immunotherapy.

METHODS

A retrospective cohort of 230 gastric cancer patients undergoing immunotherapy (anti-programmed cell death 1/programmed cell death ligand 1 antibodies combined with chemotherapy) was enrolled. Comprehensive clinical data, including autoantibody status (ANA, ENA), systemic inflammatory indicators (neutrophil-to-lymphocyte ratio, platelet-to-lymphocyte ratio, pan-immune-inflammation value, systemic immune-inflammation index), and tumor markers [carcinoembryonic antigen (CEA), carbohydrate antigen 199], were collected. Kaplan-Meier survival analysis and univariate/multivariate Cox regression analyses were employed to identify independent prognostic factors for overall survival (OS) and progression-free survival (PFS). The nomogram was constructed and receiver operating characteristic (ROC) curves were analyzed the efficacy of the prognostic model.

RESULTS

The presence of autoantibodies was significantly associated with better survival outcomes. Patients positive for ENA exhibited significantly longer OS (P = 0.046), while patients positive for ANA, ENA, and the combined ANA/ENA criterion showed significantly longer time of PFS (all P < 0.05). Multivariate analysis confirmed that tumor node metastasis (TNM) stage [hazard ratio (HR) = 3.292, P = 0.002] and CEA level (HR = 1.022, P = 0.010) were independent risk predictive factors for OS. For PFS, multivariate analysis confirmed that TNM stage (HR = 3.022, P = 0.004) and ANA/ENA criterion (HR = 0.538, P < 0.001) were independent risk predictive factors for PFS. The ROC results showed that the TNM and ANA/ENA models had certain diagnostic efficacy for PFS of patients.

CONCLUSION

Autoantibody positivity, particularly ANA/ENA, along with traditional tumor markers serves as independent biomarkers for prognosis in gastric cancer patients undergoing immunotherapy. The assessment of autoantibody profiles provides a novel perspective for optimizing risk stratification and treatment methods.

Key Words: Gastric cancer; Immunotherapy; Antinuclear antibody; Extractable nuclear antigen; Prognostic model; Systemic inflammation

Core Tip: Antinuclear antibody (ANA), extractable nuclear antigen (ENA) and systemic inflammation have been implicated in cancer prognosis, their combined role predicting outcomes of gastric cancer patients undergoing immunotherapy. This study confirmed autoantibody, particularly ANA/ENA, along with other indicators serves as independent factors for prognosis in gastric cancer patients undergoing immunotherapy. The assessment of autoantibody profiles provides a novel perspective for optimizing risk stratification and treatment methods.



INTRODUCTION

Gastric cancer remains a major global health challenge. In 2022, approximately 970000 gastric cancer new cases and 660000 deaths worldwide[1]. A considerable number of gastric cancer patients are diagnosed at advanced stages where conventional therapies yield limited benefits, leading to the poor prognosis[2]. In recent years, immune checkpoint inhibitors have emerged as a promising treatment modality, reshaping the therapeutic landscape for advanced gastric cancer[3,4]. However, the clinical responses to immunotherapy are heterogeneous, underscoring the urgent need for reliable biomarkers to identify patients who are most likely to benefit from such treatments[5,6]. Currently, programmed cell death ligand 1 (PD-L1), microsatellite instability/mismatch repair, and tumor mutational load are mainly used to predict the efficacy of immunosuppressive drugs of gastric cancer patients who receive immunotherapy[7,8]. However, in clinical practical applications, these markers are not capable of providing effective predictions for all patients. Therefore, more precise markers need to be explored.

Studies have indicated that autoantibodies and specific inflammatory markers in peripheral blood are closely related to tumors, immunity and inflammation[9]. Multiple studies have demonstrated their association with traditional immunotherapy markers[10]. For autoimmunity, accumulating evidence suggests a potential link between autoimmunity and cancer development[11,12]. In particular, autoantibodies, including antinuclear antibody (ANA) and antibodies against extractable nuclear antigens (ENA), which are classical markers of systemic autoimmune diseases[13,14], have attracted increasing attention for their roles within the tumor microenvironment[15]. Several clinical observations have reported elevated serum levels of ANA and ENA in the gastric cancer patients, even regarding them as the prognostic markers[16,17]. Mechanistically, ANA may engage in cross-reactivity with tumor-associated antigens through molecular mimicry or epitope spreading, or alternatively, promote malignant transformation by sustaining a pro-inflammatory milieu[18,19]. The pathogenic loop between autoantibodies and chronic inflammation propagates a self-reinforcing cycle that drives the formation of an immunosuppressive tumor microenvironment, facilitating both tumor progression and immune escape[20]. Therefore, some researchers have also evaluated the clinical significance of ANA in cancer patients undergoing immunotherapy with respect to this molecular mechanism. In non-small cell lung cancer (NSCLC), patients with high and low levels of ANA show significant differences in progression-free survival (PFS) and overall survival (OS)[21]. Previous reports have suggested that autoantibodies also have potential predictive value for the prognosis of gastric cancer patients receiving immunotherapy.

Peripheral blood inflammatory indicators, including the platelet-to-lymphocyte ratio (PLR), neutrophil-to-lymphocyte ratio (NLR), and systemic immune-inflammation index (SII), have proven valuable as non-invasive biomarkers for predicting immunotherapy response and metastatic risk of gastric cancer patients[22-24]. Consequently, combined assessment of autoantibody profiles and systemic inflammation markers offers a rational strategy for enhancing prognostic evaluation, therapeutic monitoring, and toxicity management in clinical practice.

Based on this foundation, the present study was designed to systematically investigate the clinical significance of autoantibodies and systemic inflammation in gastric cancer. Our specific aims are: (1) To perform a comprehensive correlation analysis between autoantibody profiles and established inflammatory indicators (including NLR, PLR, and SII); (2) To identify prognostic factors through univariate and multivariate Cox regression analyses; and (3) To evaluate the potential prognostic value of these immune and inflammatory markers through survival analysis. This integrated approach seeks to establish a novel biomarker framework for improved predictive efficacy of prognosis for patients undergoing immunotherapy for gastric cancer.

MATERIALS AND METHODS
Study population

This retrospective study enrolled patients with gastric cancer from two centers between January, 2021, and July, 2022, a total of 300 patients (160 from Henan Provincial People’s Hospital and 140 from Center the First Affiliated Hospital of Henan University) initially diagnosed with gastric cancer and receiving immunotherapy [anti-programmed cell death 1 (PD-1)/PD-L1 antibodies combined with chemotherapy]. According to the criteria of inclusion and exclusion, 45 patients with a history of autoimmune diseases and 25 patients lacking follow-up data were excluded. Ultimately, 230 patients were included in the final analysis. The study protocol was approved by the Henan Provincial People’s Hospital (approval No. 2023-126).

The inclusion criteria were as follows: (1) All patients were confirmed by diagnostic biopsy or histopathology; (2) No prior history of chemotherapy, surgery, or other anticancer treatments; and (3) Availability of complete clinicopathological characteristics. Patients were excluded based on the following: (1) Diagnosis of a significant autoimmune disease; (2) Incomplete clinical or follow-up data; and (3) Coexistence of other malignancies or severe concurrent infections.

Clinical data collection and follow-up

Clinical data were retrieved from the electronic medical records of the two participating hospitals, including gender, age, treatment regimen, clinical stage, OS, PFS, and relevant laboratory parameters. PFS was defined as the time from the initial diagnosis to the first documented disease progression (based on radiological, pathological, or clinical assessment). Patients without progression were censored at the date of the last progression-free evaluation. OS was defined as the time from the initial diagnosis to death caused directly by the disease or the last follow-up.

Immunofluorescence

Serum samples were collected from all patients at initial diagnosis for the detection of ANA and ENA antibodies. ANAs were analyzed using indirect immunofluorescence assay according to the manufacturer’s instructions (Oumeng, Germany). Fluorescein isothiocyanate-conjugated anti-human immunoglobulin G (IgG) was applied to detect bound autoantibodies. Slides were examined under a fluorescence microscope. Serum titers were determined starting from 1:100 to the endpoint, with results expressed as the last positive dilution. An ANA titer ≥ 1:100 was considered positive.

ENA profiling was conducted using the iFlash 3000 chemiluminescence immunoanalyzer (YHLO Biotech, Shenzhen, Guangdong Province, China) with the YHLO anti-nuclear antibody assay kit. The analyzer automatically calculated the concentration of each autoantibody in AU/mL. Results were interpreted as positive or negative based on established reference ranges: Anti-Ro52 IgG (0-25 AU/mL), anti-double-stranded DNA IgG (0-30 AU/mL), and the remaining 13 antibodies (0-20 AU/mL).

Tumor and inflammatory biomarker analysis

A 2 mL serum sample was collected and immediately transferred to the hematology laboratory for processing. Serum was isolated for the quantification of preoperative tumor markers (Roche Diagnostics, Basel, Switzerland), specifically carcinoembryonic antigen (CEA) and carbohydrate antigen 199 (CA199). Additionally, systemic inflammatory indicators were computed based on complete blood count parameters. These indicators were derived as follows: NLR was calculated as the absolute neutrophil count divided by the absolute lymphocyte count; PLR was determined by dividing the platelet count by the lymphocyte count; SII was defined as the product of neutrophil and platelet counts, divided by the lymphocyte count.

Statistical analysis

All statistical analyses were performed using SPSS version 27.0. Visualization of the results was performed using GraphPad Prism 8.0. Comparison between two groups were performed by χ2 test or independent sample t test. Survival analysis was conducted using the Kaplan-Meier method, and survival curves were plotted for PFS and OS according to different variables. After confirming that the covariates have an equal-proportional effect on the risk function, univariate Cox regression and multivariate Cox proportional hazards models were applied to identify factors independently associated with survival outcomes. Receiver operating characteristic (ROC) curves were created to determine the predictive capacity of prognostic model for PFS, with calculations made for the area under the curve, sensitivity, and specificity. A two-sided P < 0.05 was considered statistically significant.

RESULTS
Patient clinical characteristics and serum biomarkers

A total of 230 gastric cancer patients receiving immunotherapy were included in this study. Among them, 73 patients were alive and 157 had died at the time of analysis. The demographic and clinical characteristics of the cohort are summarized in Table 1. There was a significant association between clinical stage and survival (P = 0.001). Regarding disease stage, 7 patients (4.5%) had stage I-II disease in deaths, while 15 patients (20.5%) presented with stage III-IV disease in survivals. The blood indicators of the cohort are summarized in Table 1. A markedly higher prevalence of positive autoantibodies was observed in the survival group compared to the death group. This pattern was consistent across ENA and ANA + ENA measures: ENA (41.4% vs 56.2%; χ2 = 4.371, P = 0.037), and the combined status of ANA and ENA (69.4% vs 74.0%; χ2 = 18.950, P < 0.001).

Table 1 Clinical and blood indicators characteristics of patients with gastric cancer undergoing immunotherapy, n (%).
Characteristics
Death (n = 157)
Survival (n = 73)
χ2/U value
P value
Age (years), median (IQR)64 (57, 69)63 (55, 70)55610.718
Gender2.4650.120
Male111 (70.7)44 (60.3)
Female46 (29.3)29 (39.7)
TNM16.04< 0.001
I + II7 (4.5)15 (20.5)
III + IV150 (95.5)58 (79.5)
ANA0.1030.748
Negative81 (51.6)36 (49.3)
Positive76 (48.4)37 (50.7)
ENA4.3710.037
Negative92 (58.6)32 (43.8)
Positive65 (41.4)41 (56.2)
ANA + ENA18.950< 0.001
Negative48 (30.6)19 (26.0)
Positive109 (69.4)54 (74.0)

Regarding tumor markers (Table 2), serum levels of CEA and CA199 were significantly elevated in the death group (P = 0.006, P < 0.001, respectively). Among the systemic inflammatory indicators, the NLR was also significantly higher in non-survivors (P = 0.034). Conversely, no statistically significant differences were found between the two groups for the PLR, the pan-immune-inflammation value (PIV), or the SII.

Table 2 Tumor and inflammatory biomarkers of gastric cancer undergoing immunotherapy.
Characteristics
Death (n = 157)
Survival (n = 73)
χ2/U value
P value
CEA (ng/mL), median (IQR)37.54 (29.27, 41.25)32.89 (23.95, 38.66)44470.006
CA199 (U/mL), median (IQR)44.15 (36.75, 53.46)35.16 (26.45, 43.22)3316< 0.001
NLR, median (IQR)7.05 (5.30, 9.33)6.37 (5.23, 8.47)47350.034
PLR, median (IQR)207.10 (108.90, 315.00)198.70 (133.80, 347.80)53720.447
PIV, median (IQR)1286 (955.1, 1416)1239 (1142, 1352)54030.487
SII, median (IQR)1452 (752.5, 2318)1246 (989.4, 1859)56540.871
Association of autoantibody with tumor and inflammatory biomarkers

Given the close relationship between autoantibodies and inflammation, we analyzed the correlation between autoantibodies and hematological malignancies as well as inflammatory indicators (Table 3). Patients with positive autoantibodies demonstrated significantly lower levels of CEA (P < 0.001), CA199 (P < 0.001), NLR (P < 0.001), PLR (P = 0.014) compared to the negative group (n = 67). Levels of PIV and SII were no significant difference between negative and positive groups.

Table 3 The correlation between autoantibodies and tumor and inflammatory indicators.
Characteristics
Negative (n = 67)
Positive (n = 163)
U value
P value
CEA (ng/mL), median (IQR)37.46 (30.80, 41.74)30.64 (24.16, 38.34)3648< 0.001
CA199 (U/mL), median (IQR)45.32 (35.43, 58.40)35.74 (27.80, 41.54)2888< 0.001
NLR, median (IQR)8.15 (5.51, 9.46)5.713 (4.93, 6.34)2812< 0.001
PLR, median (IQR)222.4 (156.0, 363.9)195.1 (106.5, 310.2)43330.014
PIV, median (IQR)1263 (1140, 1357)1255 (957.0, 1408)54580.996
SII, median (IQR)1400 (917.4, 1844)1377 (765.3, 2324)53620.831
Survival analysis

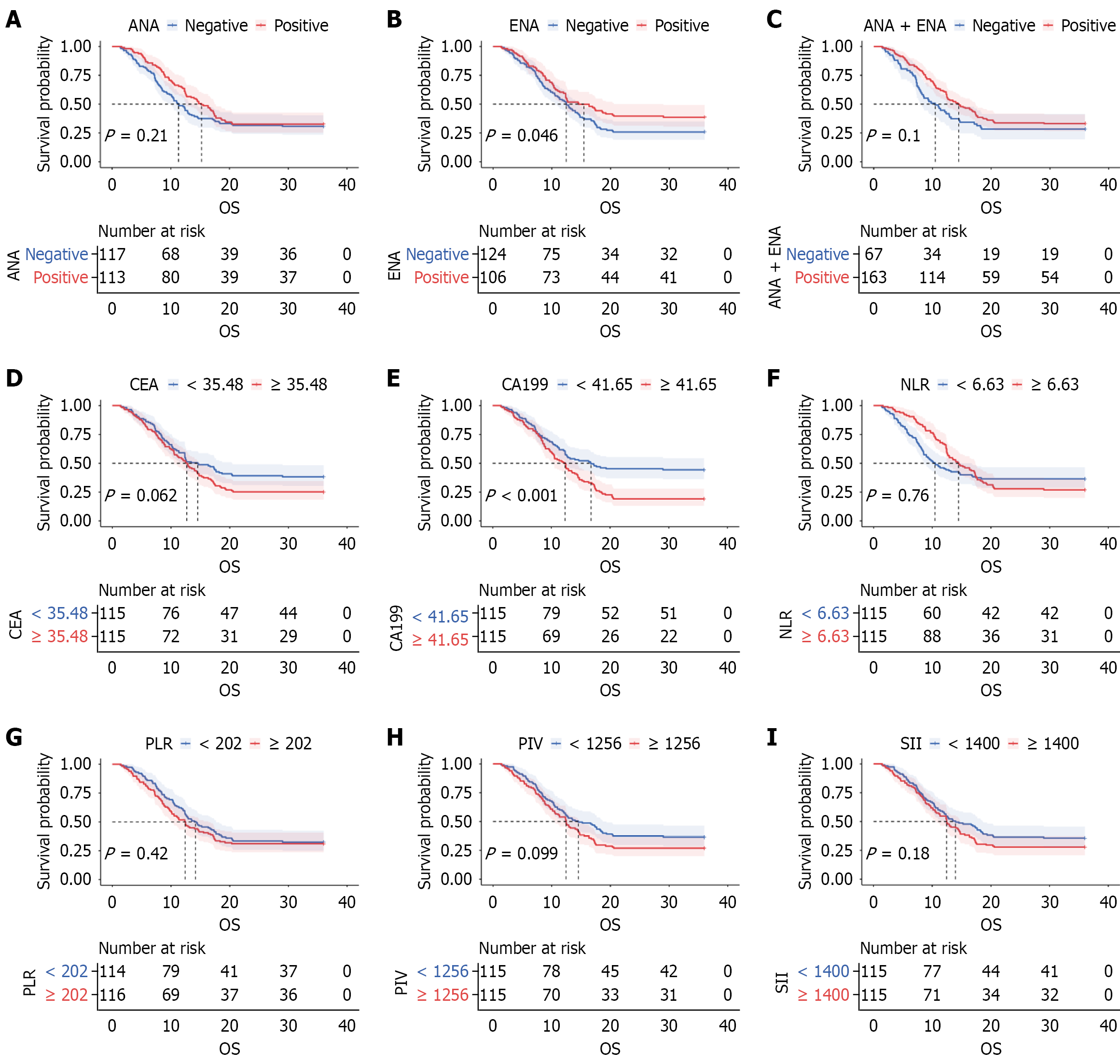
Kaplan-Meier survival analysis was used to assess the relationship between autoantibody status and other laboratory indicators with OS and PFS. The median values of CEA (35.48 ng/mL), CA199 (41.65 U/mL), NLR (6.63), PLR (202), PIV (1256) and SII (1400) was also used as the cut-off values in the study. As shown in Figure 1A-C, patients positive for ENA had a significantly longer OS compared to negative patients (P = 0.046), while positive patients for ANA and combined autoantibody criterion had no significant difference with their negative counterparts. Furthermore, the prognostic impact of tumor and systemic inflammatory markers was evaluated. As exhibited in Figure 1D-I, patients with an CA199 below the cutoff of 41.65 were associated with a significantly longer OS (P < 0.001). In contrast, no statistically significant associations were found between OS and the serum levels of CEA and the inflammatory indicators.

Figure 1
Figure 1 Kaplan-Meier analysis of overall survival according to autoantibody status and laboratory parameters. A-H: Kaplan-Meier curves depict overall survival probabilities for patients stratified by antinuclear antibody (ANA) status (A), extractable nuclear antigen (ENA) status (B), combined ANA or ENA status (C), carcinoembryonic antigen levels using a cutoff of 35.48 (D), carbohydrate antigen 199 levels using a cutoff of 41.65 (E), neutrophil-to-lymphocyte ratio using a cutoff of 6.63 (F), platelet-to-lymphocyte ratio using a cutoff of 202 (G), pan-immune-inflammation value using a cutoff of 1256 (H); I: Systemic immune-inflammation index using a cutoff of 1400. ANA: Antinuclear antibody; ENA: Extractable nuclear antigen; OS: Overall survival; CEA: Carcinoembryonic antigen; CA199: Carbohydrate antigen 199; NLR: Neutrophil-to-lymphocyte ratio; PLR: Platelet-to-lymphocyte ratio; PIV: Pan-immune-inflammation value; SII: Systemic immune-inflammation index.

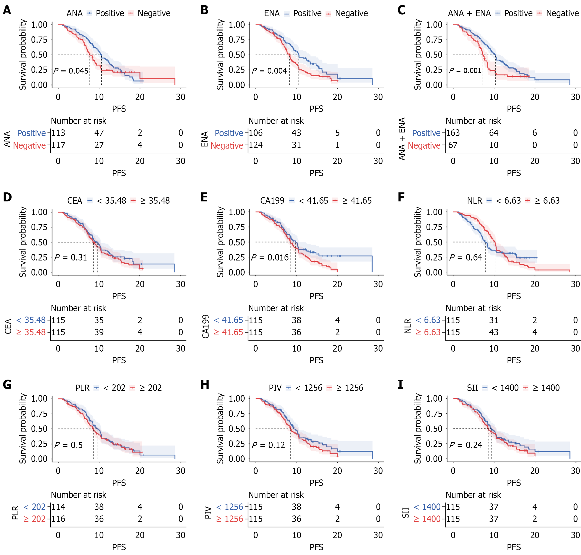
Based on the Kaplan-Meier survival analysis, PFS demonstrated a pattern consistent with that of OS. Patients who were positive for ANA, ENA and those with combined positive autoantibody criterion exhibited significantly longer time of PFS compared to those in the negative groups (all P < 0.05, Figure 2A-C). This favorable prognostic association also extended to the tumor and systemic inflammatory markers. Conversely, no significant associations were observed between PFS and the levels of CEA (Figure 2D), lower CA199 (< 41.65 U/mL) were significantly correlated with longer PFS (P = 0.016, Figure 2E, for both), no significant associations were observed between PFS and the levels of CA199, PIV, or SII (Figure 2F-I). In conclusion, presence of autoantibodies and lower levels of CA199 are strongly associated with longer time of OS and PFS, reinforcing their role as robust and consistent prognostic biomarkers in gastric cancer patients undergoing immunotherapy.

Figure 2
Figure 2 Kaplan-Meier analysis of progression-free survival based on autoantibody profiles. A-C: Progression-free survival curves are shown for patient groups categorized by antinuclear antibody (ANA) status (A), extractable nuclear antigen (ENA) status (B), and the combined positive autoantibody criterion (ANA or ENA) (C); D: Carcinoembryonic antigen levels using a cutoff of 35.48; E: Carbohydrate antigen 199 levels using a cutoff of 41.65; F: Neutrophil-to-lymphocyte ratio using a cutoff of 6.63; G: Platelet-to-lymphocyte ratio using a cutoff of 202; H: Pan-immune-inflammation value using a cutoff of 1256; I: Systemic immune-inflammation index using a cutoff of 1400. PFS: Progression-free survival; ANA: Antinuclear antibody; ENA: Extractable nuclear antigen; CEA: Carcinoembryonic antigen; CA199: Carbohydrate antigen 199; NLR: Neutrophil-to-lymphocyte ratio; PLR: Platelet-to-lymphocyte ratio; PIV: Pan-immune-inflammation value; SII: Systemic immune-inflammation index.
Univariate Cox regression analysis for OS and PFS

For OS, univariate analysis shown in Figure 3A identified several factors significantly associated with OS. Tumor node metastasis (TNM) stages [hazard ratio (HR) = 3.298, P = 0.002], and CEA level (HR = 1.023, P = 0.009) were risk predictive factors. For PFS, earlier TNM stages (HR = 2.828, P = 0.007), and ANA/ENA (HR = 0.564, P = 0.001), were closely related to the progression of PFS (Figure 3B).

Figure 3
Figure 3 Univariate Cox regression analysis for overall survival and progression-free survival. A: Forest plot of univariate Cox regression analysis for overall survival; B: Forest plot of univariate Cox regression analysis for progression-free survival. TNM: Tumor node metastasis; CI: Confidence interval; ANA: Antinuclear antibody; ENA: Extractable nuclear antigen; CEA: Carcinoembryonic antigen; CA199: Carbohydrate antigen 199; NLR: Neutrophil-to-lymphocyte ratio; PLR: Platelet-to-lymphocyte ratio; PIV: Pan-immune-inflammation value; SII: Systemic immune-inflammation index.
Multivariate Cox regression analysis OS and PFS

In the multivariate analysis adjusting for key covariates, two factors remained as independent predictors of OS: TNM stages (HR = 3.292, P = 0.002), and level of CEA (HR = 1.022, P = 0.010) (Figure 4A). Additionally, positive autoantibody status (ANA/ENA, HR = 0.538, P < 0.001) and TNM stages (HR = 3.022, P = 0.004) were confirmed as independent risk predictive factors for PFS (Figure 4B).

Figure 4
Figure 4 Multivariate Cox regression analysis for overall survival and progression-free survival. A: Forest plot of multivariate Cox regression analysis for overall survival; B: Forest plot of multivariate Cox regression analysis for progression-free survival. CI: Confidence interval; TNM: Tumor node metastasis; CEA: Carcinoembryonic antigen; ANA: Antinuclear antibody; ENA: Extractable nuclear antigen.
Multivariate Cox regression model for PFS

The multivariate Cox regression model demonstrated that ANA/ENA could serve as an independent predictor for PFS prognosis. In order to further determine its predictive efficacy. We constructed a nomogram for this regression model (Figure 5A). The predictive efficacy of the model was evaluated through ROC analysis (Figure 5B, Table 4). The results show that at different time points, this model has a certain degree of accuracy in predicting the PFS of patients.

Figure 5
Figure 5 Multivariate Cox regression model for progression-free survival. A: Nomogram of multivariate Cox regression analysis for progression-free survival; B: Receiver operating characteristic analysis of multivariate Cox regression analysis for progression-free survival with different time. ANA: Antinuclear antibody; ENA: Extractable nuclear antigen; TNM: Tumor node metastasis; AUC: Area under the curve.
Table 4 Predictive efficiency of multivariate Cox regression model for progression-free survival among different time.
Time node (month)
AUC
95%CI
Sensitivity (%)
Specificity (%)
Youden index
90.6840.622-0.74239.490.90.303
180.5520.398-0.63428.988.90.178
270.5950.559-0.63728.2100.00.282
DISCUSSION

In recent years, the role of autoantibodies, particularly ANA and ENA, in tumor immunology has garnered increasing interest. Autoantibodies are products of the immune response directed against self-antigens. During oncogenesis and tumor progression, malignant cells may present or secrete aberrant antigens that can be recognized by the host’s immune system, potentially triggering the production of corresponding autoantibodies[25]. ANA and ENA, commonly detected and diagnostically valuable in various autoimmune diseases[26], are now increasingly implicated in tumor immunity[27].

Evidence suggests that the generation of and response to carcinogenic factors are frequently linked to the immune system, which can induce autoantibody production in patients. Generally, two categories of autoantibodies are detectable in the peripheral blood of cancer patients[25,28]. The first category comprises antibodies targeting antigens not directly linked to the tumor but involved in cell cycle and mitotic regulation, such as ANA. Their production might be mechanistically tied to the release of nuclear contents into the extracellular environment following tumor cell apoptosis or necrosis[29]. The second category targets tumor-associated antigens specifically expressed by tumor cells, such as p53, HER2, c-Myc, MUC1, and BRCA2, which have been extensively studied[30]. While considerable research has focused on the potential diagnostic value of autoantibody detection in cancer[31], their association with cancer prognosis remains controversial, with limited supporting evidence to date.

This study investigated the clinical utility of ANA and ENA detection in prognostic assessment for gastric cancer patients undergoing immunotherapy. We observed a significantly elevated autoantibody positivity rate in the survival cohort. Our Kaplan-Meier survival analyses substantiated the connection between these markers and the prognosis of patients, demonstrating that patients positive for ENA or the combined autoantibody criterion experienced significantly longer OS and PFS. In previous reports, researchers have confirmed that low levels of ANA are closely associated with a poor prognosis in NSCLC patients who have received immunotherapy[21]. The results of this study further confirm that autoantibodies have a good predictive efficacy for prognosis in cancer patients undergoing immunotherapy. Furthermore, our data revealed a compelling link between the autoantibody status and the systemic inflammatory milieu. We observed a strong association between autoantibody positivity and specific inflammatory profiles. Research indicates that the production of autoantibodies often accompanies the early stages of inflammation-related diseases, positioning them as potential biomarkers for inflammatory conditions[32]. In the context of oncology, the initial appearance of autoantibodies may represent an epiphenomenon stemming from a tumor-induced inflammatory milieu[33]. Conversely, the stimulation of receptors by autoantibodies can itself provoke excessive inflammatory responses, which may in turn contribute to carcinogenesis[34]. For instance, certain autoantibodies have been shown to bind strongly to decondensed DNA regions within neutrophil extracellular traps (NETs). This binding shields NETs from nuclease digestion and subsequently triggers inflammatory responses via Fc-gamma receptors, stimulating type I interferon responses in mononuclear phagocytes or nuclear factor kappa-B activity in endothelial cells[35]. Concurrently, systemic inflammatory indicators such as NLR, PLR, PIV, and SII have demonstrated predictive value for therapeutic efficacy in patients with advanced gastric cancer. Specifically, the median value of NLR was used as the cut-off of NLR in predicting poor prognosis of gastric cancer[24,36]. However, the results of this study did not reveal that these inflammatory indicators could predict the prognosis of gastric cancer patients after immunotherapy. This result needs to be verified by enrolling more patients in the future.

Multivariate Cox regression analysis confirmed that autoantibody positivity serves as an independent predictor of PFS in gastric cancer immunotherapy, with its predictive power unaffected by confounding factors such as age, clinical stage, treatment cycles, or therapeutic regimen. Our findings align with previous studies reporting higher survival rates in ANA-positive patients with diffuse large B-cell lymphoma[37] and longer PFS in autoantibody-positive patients with advanced NSCLC receiving anti-PD-1 therapy[38]. Mechanistically, ANA might exert anti-tumor effects through antibody-dependent cellular cytotoxicity, enhanced immune function via cytokine release, or the formation of immunocomplexes[39,40].

The consistent clinical significance of ENA for both OS and PFS underscores the autoantibody in shaping the response to immunotherapy. Conversely, some studies have linked ANA positivity to poorer outcomes. For instance, nucleolar-pattern ANA positivity was associated with significantly shorter OS in leukemia patients[41], and Heegaard et al[42] found ANA positivity correlated with adverse prognosis in ovarian cancer. These discrepancies may stem from the heterogeneity of autoantibody profiles, as different specificities might influence cancer progression through distinct and complex pathophysiological mechanisms, such as excessive inflammatory responses or tissue damage[43]. Additionally, variations in cancer types and patient populations likely contribute to the divergent results, necessitating further precise research to elucidate the mechanisms and clinical significance of specific autoantibodies. It is worth noting that in our cohort, ANA status alone did not show a significant association with OS, unlike its clear association with PFS. This discrepancy highlights the complexity of autoantibody responses and suggests that different autoantibodies may exert distinct influences on early disease control vs long-term survival, warranting further investigation into their specific targets and mechanisms.

Our study has several limitations. First, the cohort of gastric cancer patients receiving immunotherapy was relatively small, and the follow-up period was short, with most patients not reaching the disease endpoint. Second, the imbalance in the number of patients between death group and survival group may introduce analysis bias. Thirdly, due to the limitation of the sample size, the important stratified analysis of the patients was not included in this study. Finally, although this study has demonstrated the connection between autoantibodies and the prognosis of patients undergoing immunotherapy for gastric cancer. However, due to the lack of in vivo and in vitro experimental verification, the molecular mechanism of this connection could not be elucidated in this study.

Further in-depth investigation is warranted. First, future investigations should involve multi-center, large-scale cohorts and extended follow-up to verify the conclusions in this study. Second, the conclusions obtained in this study should be verified in vivo and in vitro. Finally, and most importantly, in order to comprehensively illustrate the clinical limitations and prognostic value of autoantibodies for patients undergoing gastric cancer treatment from multiple perspectives. Once we have enough patients enrolled in the future, we will explore the association between autoantibodies and patients undergoing immunotherapy for gastric cancer at different stages, with first-line/Later-line immunotherapy, different PD-L1 positive rates, and various immunotherapy methods.

CONCLUSION

In summary, autoantibody positivity is significantly associated with prognosis in gastric cancer patients treated with immunotherapy. Patients positive for ANA or ENA are strongly associated with longer time of OS and PFS. Multivariate Cox regression analysis confirmed that ANA/ENA, CEA, and different TNM stage are independent predictor factors of prognosis in this study. This study provides a new perspective for future researchers to explore the association between autoantibodies and immunotherapy of gastric cancer and to develop new prognostic markers for immunotherapy.

References
1.  Bray F, Laversanne M, Sung H, Ferlay J, Siegel RL, Soerjomataram I, Jemal A. Global cancer statistics 2022: GLOBOCAN estimates of incidence and mortality worldwide for 36 cancers in 185 countries. CA Cancer J Clin. 2024;74:229-263.  [RCA]  [PubMed]  [DOI]  [Full Text]  [Cited by in Crossref: 16785]  [Cited by in RCA: 14537]  [Article Influence: 7268.5]  [Reference Citation Analysis (18)]
2.  Fang J, Huang X, Cao Y, Ye Z, Chai T, Du Y, Yu P. Sintilimab combined with chemotherapy in conversion therapy of advanced gastric cancer: A retrospective study. J Clin Oncol. 2022;40:e16012.  [PubMed]  [DOI]  [Full Text]
3.  Jin X, Liu Z, Yang D, Yin K, Chang X. Recent Progress and Future Perspectives of Immunotherapy in Advanced Gastric Cancer. Front Immunol. 2022;13:948647.  [RCA]  [PubMed]  [DOI]  [Full Text]  [Full Text (PDF)]  [Cited by in Crossref: 94]  [Cited by in RCA: 85]  [Article Influence: 21.3]  [Reference Citation Analysis (0)]
4.  Zeng Z, Zhu Q. Progress and prospects of biomarker-based targeted therapy and immune checkpoint inhibitors in advanced gastric cancer. Front Oncol. 2024;14:1382183.  [RCA]  [PubMed]  [DOI]  [Full Text]  [Cited by in RCA: 6]  [Reference Citation Analysis (2)]
5.  Hou W, Zhao Y, Zhu H. Predictive Biomarkers for Immunotherapy in Gastric Cancer: Current Status and Emerging Prospects. Int J Mol Sci. 2023;24:15321.  [RCA]  [PubMed]  [DOI]  [Full Text]  [Full Text (PDF)]  [Cited by in Crossref: 59]  [Cited by in RCA: 51]  [Article Influence: 17.0]  [Reference Citation Analysis (0)]
6.  Vickram S, Infant SS, Manikandan S, Jenila Rani D, Mathan Muthu CM, Chopra H. Immune biomarkers and predictive signatures in gastric cancer: Optimizing immunotherapy responses. Pathol Res Pract. 2025;265:155743.  [RCA]  [PubMed]  [DOI]  [Full Text]  [Cited by in RCA: 8]  [Reference Citation Analysis (0)]
7.  Tan S, Zheng Q, Zhang W, Zhou M, Xia C, Feng W. Prognostic value of inflammatory markers NLR, PLR, and LMR in gastric cancer patients treated with immune checkpoint inhibitors: a meta-analysis and systematic review. Front Immunol. 2024;15:1408700.  [RCA]  [PubMed]  [DOI]  [Full Text]  [Full Text (PDF)]  [Cited by in RCA: 60]  [Reference Citation Analysis (1)]
8.  Han Z, Liu W, Zhu Y, Sun Y, Sun D, Jia R, Yang Y, Qi H, Zhang L, Huo Y, Zhang N, Chai J, Yang M. Non-coding RNAs in gastric cancer: mechanisms and therapeutic prospects. Mol Cancer. 2025;24:244.  [RCA]  [PubMed]  [DOI]  [Full Text]  [Full Text (PDF)]  [Cited by in RCA: 6]  [Reference Citation Analysis (0)]
9.  Montero-Calle A, Garranzo-Asensio M, Moreno-Casbas MT, Campuzano S, Barderas R. Autoantibodies in cancer: a systematic review of their clinical role in the most prevalent cancers. Front Immunol. 2024;15:1455602.  [RCA]  [PubMed]  [DOI]  [Full Text]  [Cited by in RCA: 11]  [Reference Citation Analysis (2)]
10.  Ramos-Casals M, Brahmer JR, Callahan MK, Flores-Chávez A, Keegan N, Khamashta MA, Lambotte O, Mariette X, Prat A, Suárez-Almazor ME. Immune-related adverse events of checkpoint inhibitors. Nat Rev Dis Primers. 2020;6:38.  [RCA]  [PubMed]  [DOI]  [Full Text]  [Full Text (PDF)]  [Cited by in Crossref: 1173]  [Cited by in RCA: 1036]  [Article Influence: 172.7]  [Reference Citation Analysis (0)]
11.  Hoft SG, Noto CN, DiPaolo RJ. Two Distinct Etiologies of Gastric Cancer: Infection and Autoimmunity. Front Cell Dev Biol. 2021;9:752346.  [RCA]  [PubMed]  [DOI]  [Full Text]  [Full Text (PDF)]  [Cited by in Crossref: 4]  [Cited by in RCA: 32]  [Article Influence: 6.4]  [Reference Citation Analysis (1)]
12.  Rugge M, Genta RM, Malfertheiner P, Graham DY. Gastric cancer risk in autoimmune gastritis: evidence versus opinion. Gut. 2024;73:555-556.  [RCA]  [PubMed]  [DOI]  [Full Text]  [Cited by in Crossref: 2]  [Cited by in RCA: 6]  [Article Influence: 3.0]  [Reference Citation Analysis (0)]
13.  Andrade LEC, Damoiseaux J, Vergani D, Fritzler MJ. Antinuclear antibodies (ANA) as a criterion for classification and diagnosis of systemic autoimmune diseases. J Transl Autoimmun. 2022;5:100145.  [RCA]  [PubMed]  [DOI]  [Full Text]  [Full Text (PDF)]  [Cited by in Crossref: 1]  [Cited by in RCA: 29]  [Article Influence: 7.3]  [Reference Citation Analysis (0)]
14.  Haris AR, Tipu HN, Ahmed D, Nabeel MA, Akhtar MS.   Association between antinuclear antibodies (ANA) patterns and extractable nuclear antigens (ENA) in patients with autoimmune diseases. 2024 Preprint.  [PubMed]  [DOI]  [Full Text]
15.  Frost E, Hofmann JN, Huang WY, Parks CG, Frazer-Abel AA, Deane KD, Berndt SI. Antinuclear Antibodies Are Associated with an Increased Risk of Diffuse Large B-Cell Lymphoma. Cancers (Basel). 2023;15:5231.  [RCA]  [PubMed]  [DOI]  [Full Text]  [Cited by in RCA: 6]  [Reference Citation Analysis (0)]
16.  Kraev K, Hristov B, Uchikov P, Kraeva M, Basheva-Kraeva Y, Valova S, Koleva-Ivanova M, Popova-Belova S, Sandeva M, Chakarov D, Geneva-Popova M. Comprehensive Exploration of Antinuclear Antibodies (ANAs): Unveiling Clinical Significance, Associations with Cancer, and the Nuances of Differential Diagnosis in Positive ANA Patients. Diagnostics (Basel). 2024;14:320.  [RCA]  [PubMed]  [DOI]  [Full Text]  [Cited by in RCA: 4]  [Reference Citation Analysis (0)]
17.  Arai H, Hayashi H, Ogata S, Uto K, Saegusa J, Takahashi K, Koide S, Inaguma D, Hasegawa M, Yuzawa Y. Progression of immunoglobulin G4-related disease to systematic lupus erythematosus after gastric cancer surgery: A case report. Medicine (Baltimore). 2018;97:e13545.  [RCA]  [PubMed]  [DOI]  [Full Text]  [Full Text (PDF)]  [Cited by in Crossref: 2]  [Cited by in RCA: 10]  [Article Influence: 1.3]  [Reference Citation Analysis (0)]
18.  Neamțu M, Bild V, Vasincu A, Arcan OD, Bulea D, Ababei DC, Rusu RN, Macadan I, Sciucă AM, Neamțu A. Inflammasome Molecular Insights in Autoimmune Diseases. Curr Issues Mol Biol. 2024;46:3502-3532.  [RCA]  [PubMed]  [DOI]  [Full Text]  [Cited by in Crossref: 2]  [Cited by in RCA: 15]  [Article Influence: 7.5]  [Reference Citation Analysis (0)]
19.  Ragone C, Mauriello A, Cavalluzzo B, Cavalcanti E, Russo L, Manolio C, Mangano S, Cembrola B, Tagliamonte M, Buonaguro L. Molecular mimicry of SARS-COV-2 antigens as a possible natural anti-cancer preventive immunization. Front Immunol. 2024;15:1398002.  [RCA]  [PubMed]  [DOI]  [Full Text]  [Cited by in RCA: 5]  [Reference Citation Analysis (0)]
20.  Orooji N, Fadaee M. NETosis: A bridge between cancer and autoimmunity. Rheumatol Autoimmun. 2025;5:116-118.  [PubMed]  [DOI]  [Full Text]
21.  Mouri A, Kaira K, Yamaguchi O, Hashimoto K, Miura Y, Shiono A, Kawasaki T, Kobayashi K, Imai H, Kagamu H. Clinical significance of antinuclear antibody as prognostic marker for first-line pembrolizumab in advanced non-small cell lung cancer. Int J Clin Oncol. 2024;29:124-133.  [RCA]  [PubMed]  [DOI]  [Full Text]  [Cited by in RCA: 2]  [Reference Citation Analysis (0)]
22.  Dong Q, Zhao F, Li Y, Song F, Li E, Gao L, Xin Y, Shen G, Ren D, Wang M, Zhao Y, Liu Z, Xie Q, Liu Z, Li Z, Zhao J. The correlation between systemic inflammatory markers and efficiency for advanced gastric cancer patients treated with ICIs combined with chemotherapy. Immunology. 2024;172:77-90.  [RCA]  [PubMed]  [DOI]  [Full Text]  [Cited by in Crossref: 1]  [Cited by in RCA: 8]  [Article Influence: 4.0]  [Reference Citation Analysis (0)]
23.  Liu J, Sun R, Cai K, Xu Y, Yuan W. A nomogram combining neutrophil to lymphocyte ratio (NLR) and prognostic nutritional index (PNI) to predict distant metastasis in gastric cancer. Sci Rep. 2024;14:15391.  [RCA]  [PubMed]  [DOI]  [Full Text]  [Cited by in RCA: 18]  [Reference Citation Analysis (0)]
24.  Fu M, Zhang X, Shen F, Ma J, Li Z. Prognostic value of peripheral blood neutrophil/lymphocyte ratio, platelet/lymphocyte ratio, pan-immune-inflammation value and systemic immune-inflammation index for the efficacy of immunotherapy in patients with advanced gastric cancer. Immunotherapy.  2024.  [RCA]  [PubMed]  [DOI]  [Full Text]  [Cited by in Crossref: 23]  [Cited by in RCA: 20]  [Article Influence: 10.0]  [Reference Citation Analysis (0)]
25.  Suzuki H, Graziano DF, McKolanis J, Finn OJ. T cell-dependent antibody responses against aberrantly expressed cyclin B1 protein in patients with cancer and premalignant disease. Clin Cancer Res. 2005;11:1521-1526.  [RCA]  [PubMed]  [DOI]  [Full Text]  [Cited by in Crossref: 89]  [Cited by in RCA: 81]  [Article Influence: 3.9]  [Reference Citation Analysis (0)]
26.  Alsubki R, Tabassum H, Alfawaz H, Alaqil R, Aljaser F, Ansar S, Al Jurayyan A. Association between antinuclear antibodies (ANA) patterns and extractable nuclear antigens (ENA) in HEp-2 cells in patients with autoimmune diseases in Riyadh, Saudi Arabia. Intractable Rare Dis Res. 2020;9:89-94.  [RCA]  [PubMed]  [DOI]  [Full Text]  [Cited by in Crossref: 4]  [Cited by in RCA: 6]  [Article Influence: 1.0]  [Reference Citation Analysis (0)]
27.  Dai L, Han X. [Clinical Value of Autoantibody Prognostic Markers in Tumor Immune Checkpoint Inhibitor Therapy]. Zhongguo Fei Ai Za Zhi. 2022;25:534-540.  [RCA]  [PubMed]  [DOI]  [Full Text]  [Full Text (PDF)]  [Cited by in RCA: 1]  [Reference Citation Analysis (0)]
28.  Vlagea A, Falagan S, Gutiérrez-Gutiérrez G, Moreno-Rubio J, Merino M, Zambrana F, Casado E, Sereno M. Antinuclear antibodies and cancer: A literature review. Crit Rev Oncol Hematol. 2018;127:42-49.  [RCA]  [PubMed]  [DOI]  [Full Text]  [Cited by in Crossref: 32]  [Cited by in RCA: 58]  [Article Influence: 7.3]  [Reference Citation Analysis (0)]
29.  Ramírez-Sandoval R, Sánchez-Rodríguez SH, Herrera-van Oostdam D, Avalos-Díaz E, Herrera-Esparza R. Antinuclear antibodies recognize cellular autoantigens driven by apoptosis. Joint Bone Spine. 2003;70:187-194.  [RCA]  [PubMed]  [DOI]  [Full Text]  [Cited by in Crossref: 15]  [Cited by in RCA: 16]  [Article Influence: 0.7]  [Reference Citation Analysis (0)]
30.  Rauf F, Anderson KS, LaBaer J. Autoantibodies in Early Detection of Breast Cancer. Cancer Epidemiol Biomarkers Prev. 2020;29:2475-2485.  [RCA]  [PubMed]  [DOI]  [Full Text]  [Cited by in Crossref: 7]  [Cited by in RCA: 20]  [Article Influence: 3.3]  [Reference Citation Analysis (0)]
31.  Wang H, Zhang B, Li X, Zhou D, Li Y, Jia S, Qi S, Xu A, Zhao X, Wang J, Bai Z, Cao B, Li N, Dai M, Chen H, Huang J. Identification and Validation of Novel Serum Autoantibody Biomarkers for Early Detection of Colorectal Cancer and Advanced Adenoma. Front Oncol. 2020;10:1081.  [RCA]  [PubMed]  [DOI]  [Full Text]  [Full Text (PDF)]  [Cited by in Crossref: 17]  [Cited by in RCA: 20]  [Article Influence: 3.3]  [Reference Citation Analysis (0)]
32.  Zhang BS, Zhang XM, Ito M, Yajima S, Yoshida K, Ohno M, Nishi E, Wang H, Li SY, Kubota M, Yoshida Y, Matsutani T, Mine S, Machida T, Takemoto M, Yamagata H, Hayashi A, Yokote K, Kobayashi Y, Takizawa H, Kuroda H, Shimada H, Iwadate Y, Hiwasa T. JMJD6 Autoantibodies as a Potential Biomarker for Inflammation-Related Diseases. Int J Mol Sci. 2024;25:4935.  [RCA]  [PubMed]  [DOI]  [Full Text]  [Cited by in RCA: 2]  [Reference Citation Analysis (0)]
33.  de Jonge H, Iamele L, Maggi M, Pessino G, Scotti C. Anti-Cancer Auto-Antibodies: Roles, Applications and Open Issues. Cancers (Basel). 2021;13:813.  [RCA]  [PubMed]  [DOI]  [Full Text]  [Full Text (PDF)]  [Cited by in Crossref: 26]  [Cited by in RCA: 39]  [Article Influence: 7.8]  [Reference Citation Analysis (0)]
34.  Shu X, Shao Y, Chen Y, Zeng C, Huang X, Wei R. Immune checkpoints: new insights into the pathogenesis of thyroid eye disease. Front Immunol. 2024;15:1392956.  [RCA]  [PubMed]  [DOI]  [Full Text]  [Cited by in RCA: 18]  [Reference Citation Analysis (0)]
35.  Lou H, Wojciak-Stothard B, Ruseva MM, Cook HT, Kelleher P, Pickering MC, Mongkolsapaya J, Screaton GR, Xu XN. Autoantibody-dependent amplification of inflammation in SLE. Cell Death Dis. 2020;11:729.  [RCA]  [PubMed]  [DOI]  [Full Text]  [Full Text (PDF)]  [Cited by in Crossref: 22]  [Cited by in RCA: 29]  [Article Influence: 4.8]  [Reference Citation Analysis (0)]
36.  Wang Y, Zhai J, Zhang T, Han S, Zhang Y, Yao X, Shen L. Tumor-Associated Neutrophils Can Predict Lymph Node Metastasis in Early Gastric Cancer. Front Oncol. 2020;10:570113.  [RCA]  [PubMed]  [DOI]  [Full Text]  [Full Text (PDF)]  [Cited by in Crossref: 15]  [Cited by in RCA: 34]  [Article Influence: 5.7]  [Reference Citation Analysis (0)]
37.  Lang J, Ma K, Guo J, Zhang J, Wang Q, Sun H. Clinical significance of elevated antinuclear antibodies in patients with diffuse large B-cell lymphoma: A single center study. J Cancer Res Ther. 2018;14:213-219.  [RCA]  [PubMed]  [DOI]  [Full Text]  [Cited by in Crossref: 6]  [Cited by in RCA: 14]  [Article Influence: 1.8]  [Reference Citation Analysis (0)]
38.  Toi Y, Sugawara S, Sugisaka J, Ono H, Kawashima Y, Aiba T, Kawana S, Saito R, Aso M, Tsurumi K, Suzuki K, Shimizu H, Domeki Y, Terayama K, Nakamura A, Yamanda S, Kimura Y, Honda Y. Profiling Preexisting Antibodies in Patients Treated With Anti-PD-1 Therapy for Advanced Non-Small Cell Lung Cancer. JAMA Oncol. 2019;5:376-383.  [RCA]  [PubMed]  [DOI]  [Full Text]  [Cited by in Crossref: 139]  [Cited by in RCA: 265]  [Article Influence: 37.9]  [Reference Citation Analysis (0)]
39.  Lewis SK, Farmer JL, Burghardt RC, Newton GR, Johnson GA, Adelson DL, Bazer FW, Spencer TE. Galectin 15 (LGALS15): a gene uniquely expressed in the uteri of sheep and goats that functions in trophoblast attachment. Biol Reprod. 2007;77:1027-1036.  [RCA]  [PubMed]  [DOI]  [Full Text]  [Cited by in Crossref: 43]  [Cited by in RCA: 42]  [Article Influence: 2.2]  [Reference Citation Analysis (0)]
40.  Zou HY, Gu X, Yu WZ, Wang Z, Jiao M. Detection of serum antinuclear antibodies in lymphoma patients. Genet Mol Res. 2015;14:16546-16552.  [RCA]  [PubMed]  [DOI]  [Full Text]  [Cited by in Crossref: 21]  [Cited by in RCA: 17]  [Article Influence: 1.5]  [Reference Citation Analysis (0)]
41.  Wang R, Zhao H, Liu Y, Kang B, Cai J. Antinuclear Antibodies With a Nucleolar Pattern Are Associated With a Significant Reduction in the Overall Survival of Patients With Leukemia: A Retrospective Cohort Study. Front Oncol. 2021;11:631038.  [RCA]  [PubMed]  [DOI]  [Full Text]  [Full Text (PDF)]  [Cited by in Crossref: 7]  [Cited by in RCA: 8]  [Article Influence: 1.6]  [Reference Citation Analysis (0)]
42.  Heegaard NH, West-Nørager M, Tanassi JT, Houen G, Nedergaard L, Høgdall C, Høgdall E. Circulating antinuclear antibodies in patients with pelvic masses are associated with malignancy and decreased survival. PLoS One. 2012;7:e30997.  [RCA]  [PubMed]  [DOI]  [Full Text]  [Full Text (PDF)]  [Cited by in Crossref: 11]  [Cited by in RCA: 17]  [Article Influence: 1.2]  [Reference Citation Analysis (0)]
43.  Morimoto K, Yamada T, Nakamura R, Katayama Y, Tanaka S, Takumi C, Hiraoka N, Ogura Y, Takeda T, Onoi K, Chihara Y, Taniguchi R, Yamada T, Matsui Y, Hiranuma O, Morimoto Y, Iwasaku M, Kaneko Y, Uchino J, Takayama K. Impact of preexisting antinuclear antibodies on combined immunotherapy and chemotherapy in advanced non-small cell lung cancer patients. Med Oncol. 2020;37:111.  [RCA]  [PubMed]  [DOI]  [Full Text]  [Cited by in Crossref: 5]  [Cited by in RCA: 14]  [Article Influence: 2.3]  [Reference Citation Analysis (0)]
Footnotes

Peer review: Externally peer reviewed.

Peer-review model: Single blind

Specialty type: Gastroenterology and hepatology

Country of origin: China

Peer-review report’s classification

Scientific quality: Grade B, Grade B

Novelty: Grade B, Grade C

Creativity or innovation: Grade B, Grade C

Scientific significance: Grade B, Grade B

P-Reviewer: Januszewicz W, MD, Poland; Shalaby MN, MD, Professor, Egypt S-Editor: Fan M L-Editor: A P-Editor: Wang WB

Write to the Help Desk