BPG is committed to discovery and dissemination of knowledge
Retrospective Study Open Access
Copyright: ©Author(s) 2026. This article is an open access article distributed under the terms and conditions of the Creative Commons Attribution-NonCommercial (CC BY-NC 4.0) license. No commercial re-use. See permissions. Published by Baishideng Publishing Group Inc.
World J Gastroenterol. Apr 21, 2026; 32(15): 116026
Published online Apr 21, 2026. doi: 10.3748/wjg.v32.i15.116026
Lymph node regression grade as a prognostic marker in rectal cancer after neoadjuvant therapy and radical resection
Yun-Jie Shi, Qian-Qian Liu, Hong-Yan Ru, Ya-Jun Huang, Wen Xia, Xu Li, Department of Colorectal Surgery, Changhai Hospital, The First Affiliated Hospital of Naval Medical University, Shanghai 200433, China
Pan-Pan Duan, Ling Chen, Department of Anesthesiology, Changhai Hospital, The First Affiliated Hospital of Naval Medical University, Shanghai 200433, China
ORCID number: Yun-Jie Shi (0000-0001-7843-9396); Xu Li (0000-0003-2402-8916).
Co-first authors: Yun-Jie Shi and Pan-Pan Duan.
Co-corresponding authors: Ling Chen and Xu Li.
Author contributions: Shi YJ and Duan PP are co-first authors and contributed equally to this work, including design of the study, acquiring and analyzing data from experiments, and writing of the manuscript; Liu QQ, Ru HY, Huang YJ, and Xia W designed the experiments and conducted clinical data collection; Shi YJ, Duan PP, Chen L, and Li X performed postoperative follow-up and recorded the data, conducted the collation and statistical analysis, wrote the original manuscript and revised the paper; Chen L and Li X made equal contributions as co-corresponding authors; all authors read and approved the final manuscript.
Supported by Shanghai Municipal Health Commission, No. 20244Y0186.
Institutional review board statement: This study was approved by the Ethics Committee of Changhai Hospital, Second Military Medical University.
Informed consent statement: This study obtained informed consent forms signed by all patients.
Conflict-of-interest statement: All the authors report no relevant conflicts of interest for this article.
Data sharing statement: All data generated or analyzed during this study are included in this published article.
Corresponding author: Xu Li, Department of Colorectal Surgery, Changhai Hospital, The First Affiliated Hospital of Naval Medical University, No. 168 Changhai Road, Yangpu District, Shanghai 200433, China. xuli_ch@163.com
Received: November 21, 2025
Revised: December 29, 2025
Accepted: February 4, 2026
Published online: April 21, 2026
Processing time: 144 Days and 21.7 Hours

Abstract
BACKGROUND

Neoadjuvant chemoradiotherapy (nCRT) followed by radical resection is the standard for locally advanced rectal cancer (LARC). The tumor regression grade (TRG) of the primary tumor is a known prognostic marker, but its value may be limited by lymph node (LN) status. Assessment of treatment response in LNs is not standardized.

AIM

To determine the prognostic significance of both primary TRG and a novel LN regression grade (LRG) in patients with LARC after nCRT and surgery.

METHODS

The study cohort included patients with LARC who received nCRT and subsequent radical resection from January 2022 to March 2025. The impacts of TRG and LRG scores were assessed.

RESULTS

During the study period, 155 patients underwent long-course nCRT followed by radical rectal resection. Overall, 51 (32.9%) patients developed recurrence, and 34 (21.9%) patients died over the follow-up period. The 5-year overall survival (OS) was 66.1%, and the 5-year disease-free survival (DFS) was 59.5%. With all patients taken into consideration, TRG had no significant correlation with OS (P = 0.11) and DFS (P = 0.18). Conversely, TRG was significantly associated with DFS (P = 0.01) in the 92 patients with ypN0. After excluding patients without LN metastasis, LRG was significantly associated with OS (P = 0.001) and DFS (P = 0.04). Furthermore, LRG was an independent predictor for mortality (hazard ratio = 1.533, P = 0.0002) and recurrence (hazard ratio = 1.278, P = 0.01).

CONCLUSION

Among patients with advanced rectal cancer after nCRT, TRG emerged as a predictive factor solely limited to patients with ypN0. In patients with LN metastasis, LRG could have independent prognostic significance.

Key Words: Rectal cancer; Lymph node regression grade; Tumor regression grade; Neoadjuvant chemoradiotherapy; Prognostic marker

Core Tip: In locally advanced rectal cancer treated with neoadjuvant chemoradiotherapy, the prognostic value of the primary tumor regression grade is limited to patients without lymph node (LN) metastasis (ypN0). Importantly, we demonstrate that a novel LN regression grade, assessing residual cancer in treated LNs, serves as a powerful and independent prognostic marker for both survival and recurrence in patients with residual nodal disease (ypN+). Integrating LN regression grade into postoperative evaluation refines risk stratification beyond current tumor-node-metastasis staging.



INTRODUCTION

According to the latest cancer statistics, colorectal cancer is the second leading cause of cancer-related deaths globally and the third most commonly diagnosed cancer[1]. While the incidence of colorectal cancer is increasing, mortality rates are decreasing in many countries because of advancements in treatment methods such as total mesorectal excision (TME)[2] and neoadjuvant chemoradiotherapy (nCRT)[3]. For patients with locally advanced rectal cancer, nCRT followed by radical resection has become the standard treatment. This approach improves tumor resectability, reduces local recurrence rates, and increases sphincter preservation rates[4,5]. However, the sensitivity of CRT varies among individual tumors, with the pathological complete response (pCR) rate ranging from 8% to 31%[6-8]. Tumor regression grade (TRG) has been proposed for evaluating tumor response post-nCRT[9]. Although TRG is widely recognized as being correlated with prognosis, it primarily focuses on primary tumors[10]. Given that lymph node (LN) status is a fundamental component of tumor-node-metastasis (TNM) staging, the current TRG system may not independently correlate with oncological outcomes because it neglects LN status[11,12]. Considering that downstaging of N-stage can also occur after nCRT, incorporating LN regression grade (LRG), based on the histopathological features of residual tumor and fibrosis in LN, could serve as an additional critical factor in predicting prognosis.

MATERIALS AND METHODS

This retrospective study included patients with stages I-III rectal cancer treated with nCRT followed by radical resection with TME at Changhai Hospital between January 2022 and March 2025. The study population were 18 years or above and included a few stage I patients who received nCRT for sphincter preservation surgery. All rectal cancers were confirmed by histology with no evidence of metastasis on cross-sectional imaging. Patients who received short-course radiotherapy, had pre- or intra-operatively diagnosed metastasis, were lost to follow-up, and developed complications that needed emergency re-operation were excluded. This research has been approved by the Ethics Committee of Changhai Hospital. All participants provided written informed consent forms according to the Declaration of Helsinki and granted by the Ethics Committee of Changhai Hospital.

Long-course nCRT was administered in the form of 50 Gy over 25 fractions with 5-fluorouracil-based chemotherapy for 5 weeks. The time to surgery ranged from 6 to 10 weeks after the completion of nCRT. The surgical procedures included low anterior resection and abdominal perineal resection. All patients underwent TME. Patients were considered for chemotherapy after the operation according to the preoperative imaging and postoperative pathological diagnosis. Routine tissue selection, sectioning, and hematoxylin and eosin staining of all specimens were completed in 24 hours after the operation. The specimens were assessed using a uniform methodology based on the 7th American Joint Committee on Cancer TNM stage system[13]. Each specimen had three or four slides of the primary tumor and a variable number of LNs.

All histology slides were reviewed by two independent senior pathologists who were blinded to the clinical outcomes. TRG proposed by Mandard were used: TRG1, no viable cancer; TRG2, minimal residual cancer cells; TRG3, fibrosis predominating over residual cancer; TRG4, residual cancer predominating over fibrosis; TRG5, no significant regressive changes (Supplementary Figure 1)[14]. The LRG scoring system is conceptually similar to the TRG scoring system. However, LNs are graded by estimating the percentage of the cross-sectional area occupied by residual cancer cells under a microscope. The grades are as follows: LRG0, normal LN; LRG1, no residual cancer; LRG2, rare residual cancer cells (residual cancer cell ratio < 10%); LRG3, more fibrosis than residual cancer (residual cancer cell ratio 10%-50%); LRG4, more residual cancer than fibrosis (residual cancer cell ratio 50%-90%); LRG5, minimal regression (residual cancer cell ratio > 90%; Supplementary Figure 2)[15]. Any discrepancies between the scorings by the two qualified pathologists were resolved by discussion with the Head of Department. Mucous deposits and fibrosis were the most common response to radiation, whereas mucin lakes were noted in mucinous adenocarcinoma and signet ring cell adenocarcinoma. The regression scores between the four specimen slides and LN may be different based on their response to nCRT. The worst scores (out of four slides) of each primary tumor (TRG) and LN (LRG) were chosen to facilitate standardization and ease of comparison between each specimen.

Patients were followed up every 3 months postoperatively for the initial 2 years, then semiannually for an additional 3 years. Chest radiography, abdominal ultrasonography, carcinoembryonic antigen (CEA), and carbohydrate antigen 19-9 were checked at every follow-up visit, while computed tomography and/or magnetic resonance imaging of the abdomen/pelvis was performed annually. Colonoscopy was arranged at 1 year after the surgery and then at every 2 or 3 years thereafter. Liver magnetic resonance imaging and chest computed tomography were also available in recent years. The median follow-up period was 31 months. Death and postoperative recurrence were defined as interesting events.

Statistical analysis

All statistical analyses were conducted using SAS 9.2. The Cochran-Mantel-Haenszel test was applied to compare different LRG scores and stratify the data by ypT stage, ypN stage, and TRG scores. Multivariate analysis of LRG used the logistic regression model. Survival curves were estimated using the Kaplan-Meier method and compared by the log-rank test. A forward stepwise Cox proportional hazards regression model was used for multivariate analysis to evaluate the independent risk factors for death and recurrence. The model was adjusted for known prognostic factors when analyzing overall survival (OS) and disease-free survival (DFS). These factors included age, sex, CEA levels after neoadjuvant therapy, ypT stage, and ypN stage. A P value of < 0.05 denoted clinical significance.

RESULTS
Baseline characteristics

The study enrolled 155 eligible patients. All of them underwent the same treatment (long-course nCRT with 5-fluorouracil followed by radical surgery), and none died from procedure-related complications within a month post-operation. The cohort included 107 men and 48 women, with an average age of 54.1 ± 13.0 years. The mean number of LN harvested in each specimen was 12.5 ± 4.8, and the number of patients with negative LN was 92. Patient characteristics are presented in Table 1, and pathological characteristics are shown in Table 2.

Table 1 Patients characteristics, n = 155, n (%)/mean ± SD.
Patient characteristics
Value
Gender
Male106 (68.39)
Female49 (31.61)
Age (years)54.1 ± 13.0
< 5061 (39.35)
≥ 5094 (60.65)
Post-CRT CEA (ng/mL)
< 5122 (78.71)
≥ 533 (21.29)
Post-CRT CA19-9 (U/mL)
< 37142 (91.61)
≥ 3713 (8.39)
Distance from anal verge (cm)4.7 ± 2.4
< 585 (54.84)
≥ 570 (45.16)
Operation
LAR102 (65.81)
APR53 (34.19)
Well/moderate135 (87.10)
Poor20 (12.90)
cTNM (AJCC 7th)
I11 (7.10)
II42 (27.10)
III56 (36.12)
Unknow46 (29.68)
Table 2 Pathological characteristics of 155 specimens, n (%).
Pathological characteristics
Value
ypT
ypT019 (12.26)
ypT14 (2.58)
ypT235 (22.58)
ypT395 (61.29)
ypT42 (1.29)
ypN
ypN092 (59.35)
ypN135 (22.58)
ypN228 (18.06)
TRG
TRG119 (12.26)
TRG223 (14.84)
TRG357 (36.77)
TRG440 (25.81)
TRG516 (10.32)
LRG
LRG032 (20.65)
LRG160 (38.71)
LRG29 (5.81)
LRG314 (9.03)
LRG413 (8.39)
LRG527 (17.42)

Fifty-one (32.9%) patients developed local recurrence or distant metastasis, and 34 (21.9%) died during the follow-up period (median 31 months). The 5-year OS was 66.1%, and the 5-year DFS was 59.5%. Nineteen (12.3%) patients achieved complete primary tumor response (ypT0 or TRG1), and 16 (10.3%) showed evidence of pCR (ypT0N0). Three patients had LN metastasis while the primary tumor response was favorable, and these patients had significantly poorer outcomes than those without LN metastasis (P = 0.001).

TRG as a prognostic factor for DFS

The log-rank test showed that TRG scores failed to independently correlate with oncological outcomes, demonstrating no significant correlation with OS (P = 0.11) and DFS (P = 0.18). In account of the impact of ypN stage, TRG scores were analyzed in subgroup of patients with negative LN (ypN0). The subgroup survival curve analysis indicated that TRG scores had significant difference in DFS (P = 0.01) but no significant difference in OS (P = 0.07). Multivariate Cox regression analyses models were used for subgroup mortality and recurrence analyses. The result showed that TRG was a prognosis indicator of recurrence [hazard ratio = 1.491, 95% confidence interval (CI): 1.061-2.097; P = 0.02].

Influencing factors of LRG

Patients with LRG0 indicated that the tumor was stage I or II pre-treatment, while LRG1 meant that LN downstaging occurred in patients with stages III to II after nCRT. Thus, LRG0 differed from LRG1 in predicting survival and therefore was excluded. Analyses were performed in 123 patients without LRG0. Univariate analysis showed that LRG was associated with post-nCRT CEA (P = 0.002), ypT stage (P < 0.0001), tumor differentiation degree (P = 0.005), and TRG (P = 0.01; Table 3). TRG, tumor differentiation degree, ypT stage, and post-nCRT CEA entered the logistic regression model for multivariate analysis. The result showed that LRG was influenced by ypT stage [odds ratio (OR) = 2.153, 95%CI: 1.326-3.497], post-nCRT CEA (OR = 3.236, 95%CI: 1.450-7.222), and tumor differentiation degree (OR = 2.921, 95%CI: 1.132-7.538; Table 4).

Table 3 Association of lymph node regression grade with the factors relating to survival, n = 123.
Patients characteristics
LRG
1
2
3
4
5
Value
P value
Genderχ2cmh = 0.780.38
Male8843 (48.86)4 (4.55)10 (11.36)9 (10.23)22 (25.00)
Female3517 (48.57)5 (14.29)4 (11.43)4 (11.43)5 (14.29)
Age (years)χ2cmh = 0.400.53
< 504719 (40.43)5 (10.64)7 (14.89)7 (14.89)9 (19.15)
≥ 507641 (53.95)4 (5.26)7 (9.21)6 (7.89)18 (23.68)
Post-CRT CEA (ng/mL)χ2cmh = 9.850.002
< 59453 (56.38)7 (7.45)11 (11.70)5 (5.32)18 (19.15)
≥ 5297 (24.14)2 (6.90)3 (10.34)8 (27.59)9 (31.03)
Post-CRT CA19-9 (U/mL)χ2cmh = 2.530.11
< 3711356 (49.56)9 (7.96)14 (12.39)12 (10.62)22 (19.47)
≥ 37104 (40.00)0 (0)0 (0)1 (10.00)5 (50.00)
Distance from anal verge (cm)χ2cmh = 1.120.29
< 56837 (54.41)4 (5.88)7 (10.29)6 (8.82)14 (20.59)
≥ 55523 (41.82)5 (9.09)7 (12.73)7 (12.73)13 (23.64)
Operationχ2cmh = 0.200.66
LAR8339 (46.99)6 (7.23)11 (13.25)8 (9.64)19 (20.89)
APR4021 (52.50)3 (7.50)3 (7.50)5 (12.50)8 (20.00)
cTNMχ2cmh = 2.140.34
I96 (77.78)0 (0)0 (0)1 (11.11)1 (11.11)
II2814 (50.00)0 (0)4 (14.29)4 (14.29)6 (21.43)
III4919 (38.78)7 (14.29)7 (14.29)4 (8.16)12 (24.49)
ypTχ2cmh = 16.33< 0.0001
ypT01310 (76.92)1 (7.69)1 (7.69)1 (7.69)0 (0)
ypT143 (75.00)0 (0)1 (25.00)0 (0)0 (0)
ypT22720 (74.07)1 (3.70)1 (3.70)3 (11.11)2 (7.41)
ypT37727 (35.06)7 (9.09)11 (14.29)9 (11.69)23 (29.87)
ypT420 (0)0 (0)0 (0)0 (0)2 (100.00)
ypN1χ2cmh = 85.92< 0.0001
ypN06060 (100.00)0 (0)0 (0)0 (0)0 (0)
ypN1350 (0)6 (17.14)9 (25.71)10 (28.57)10 (28.57)
ypN2280 (0)3 (10.71)5 (17.86)3 (10.71)17 (60.71)
Tumor differentiation degreeχ2cmh = 7.740.005
Well/moderate10456 (53.85)7 (6.73)11 (10.58)12 (11.54)18 (17.31)
Poor194 (21.05)2 (10.53)3 (15.79)1 (5.26)9 (47.37)
TRGχ2cmh = 6.160.01
TRG11310 (76.92)1 (7.69)1 (7.69)1 (7.69)0 (0)
TRG22011 (55.00)4 (20.00)3 (15.00)0 (0)2 (10.00)
TRG34418 (40.91)3 (6.82)6 (13.64)4 (9.09)13 (29.55)
TRG43213 (40.63)1 (3.13)4 (12.50)6 (18.75)8 (25.00)
TRG5148 (57.14)0 (0)0 (0)2 (14.29)4 (28.57)
Table 4 Factors associated with lymph node regression grade by logistic regression analysis.
Parameter
Estimate
χ2
P value
Odds ratio
95%CI
ypT0.76699.60970.00192.1531.326-3.497
Post-CRT CEA1.17458.22460.00413.2361.450-7.222
Tumor differentiation degree1.07214.91440.02662.9211.132-7.538
LRG (1 to 5) as a prognostic marker for OS and DFS

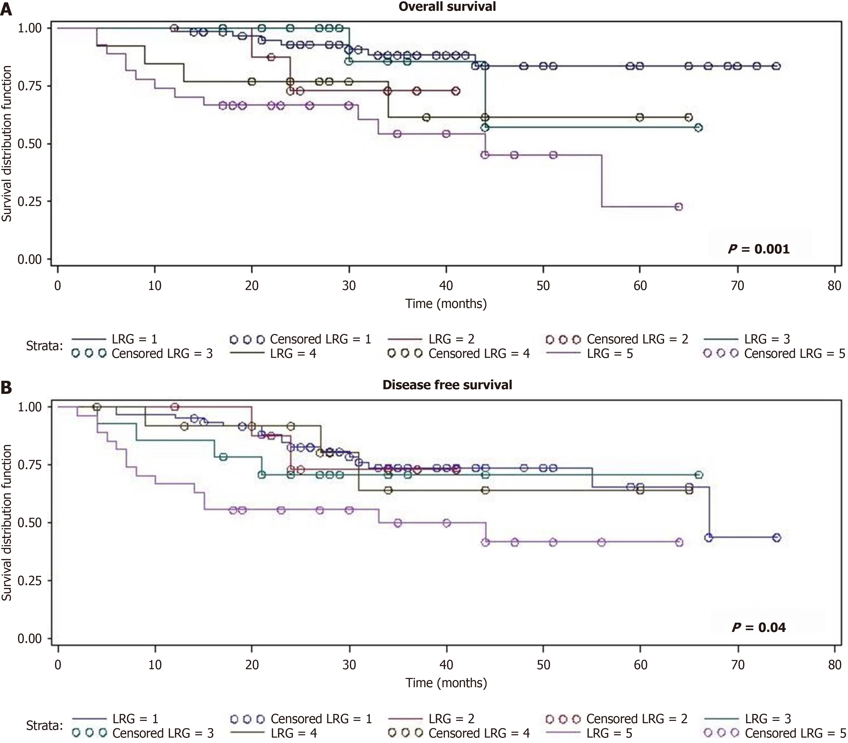
Survival analysis revealed LRG had significant association with OS (P = 0.001) and DFS (P = 0.04, Figure 1). In addition, ypT stage (P = 0.004), ypN stage (P = 0.002), and post-CRT carbohydrate antigen 19-9 (P = 0.045) had significant difference in OS, whereas ypN stage (P = 0.04) had significant difference in DFS. Hence, LRG remained an independent adverse factor for mortality (HR = 1.533, P = 0.0002) and recurrence (HR = 1.278, P = 0.01) in the multivariate models (Table 5).

Figure 1
Figure 1 Survival analysis between different lymph node regression grade groups. A: Overall survival; B: Disease free survival. LRG: Lymph node regression grade.
Table 5 Multivariate Cox proportional hazards regression analysis for overall survival and disease-free survival.

Parameter
Estimate
χ2
P value
Hazard ratio
95%CI
Overall survivalLRG0.4272013.71180.00021.5331.223-1.922
Disease-free survivalLRG0.245456.69660.0101.2781.061-1.539
LRG (2 to 5) as a predictor of OS

After neoadjuvant CRT, fibrosis may occur in either normal LN or pathologically regressed metastatic LN, but identifying the source of fibrosis remains difficult. In this regard, pathologists cannot distinguish normal LN (LRG0) from complete response LN (LRG1), especially when only a small number of metastatic cancer cells is present. In the present study, the number of patients with LRG1 was 60, which is higher than patients with TRG1. Therefore, we merged LRG0 and LRG1 into a group, and the result showed that LRG could be a predictor of mortality (HR = 1.375, 95%CI: 1.117-1.692; P = 0.003). Another subgroup analysis stratified by LRG2 to LRG5 was performed (Table 6). The multivariate Cox proportional hazard models also showed that LRG was a determinant of mortality (HR = 1.605, 95%CI: 1.007-2.577; P = 0.047; Table 7) but not of recurrence (P = 0.08). Moreover, distance from anal verge became an independent predictor of OS in this specific subgroup (hazard ratio = 3.060, 95%CI: 1.183-7.915; P = 0.02).

Table 6 Association of lymph node regression grade with the factors relating to survival in subgroup, n = 63.
Patients characteristics
LRG
2
3
4
5
Value
P value
Genderχ2cmh = 3.610.06
Male454 (8.89)10 (22.22)9 (20.00)22 (48.89)
Female185 (27.78)4 (22.22)4 (22.22)5 (27.78)
Age (years)χ2cmh = 1.740.19
< 50285 (17.86)7 (25.00)7 (25.00)9 (32.14)
≥ 50354 (11.43)7 (20.00)6 (17.14)18 (51.43)
Post-CRT CEA (ng/mL)χ2cmh = 0.790.37
< 5417 (17.07)11 (26.83)5 (12.20)18 (43.90)
≥ 5222 (9.09)3 (13.64)8 (36.36)9 (40.91)
Post-CRT CA19-9 (U/mL)χ2cmh = 4.470.03
< 37579 (15.79)14 (24.56)12 (21.05)22 (38.60)
≥ 3760 (0)0 (0)1 (16.67)5 (83.33)
Distance from anal verge (cm)χ2cmh = 0.110.74
< 5314 (12.90)7 (22.58)6 (19.35)14 (45.16)
≥ 5325 (15.63)7 (21.88)7 (21.88)13 (40.63)
Operationχ2cmh = 0.020.90
LAR446 (13.64)11 (25.00)8 (18.18)19 (43.18)
APR193 (15.79)3 (15.79)5 (26.32)8 (42.11)
cTNMχ2cmh = 2.130.35
I20 (0)0 (0)1 (50.00)1 (50.00)
II140 (0)4 (28.57)4 (28.57)6 (42.86)
III307 (23.33)7 (23.33)4 (13.33)12 (40.00)
ypTχ2cmh = 3.650.06
ypT031 (33.33)1 (33.33)1 (33.33)0 (0)
ypT110 (0)1 (100.00)0 (0)0 (0)
ypT271 (14.29)1 (14.29)3 (42.86)2 (28.57)
ypT3507 (14.00)11 (22.00)9 (18.00)23 (46.00)
ypT420 (0)0 (0)0 (0)2 (100.00)
ypNχ2cmh = 3.520.06
ypN1356 (17.14)9 (25.71)10 (28.57)10 (28.57)
ypN2283 (10.71)5 (17.86)3 (10.71)17 (60.71)
Tumor differentiation degreeχ2cmh = 0.720.40
Well/moderate487 (14.58)11 (22.92)12 (25.00)18 (37.50)
Poor152 (13.33)3 (20.00)1 (6.67)9 (60.00)
TRGχ2cmh = 9.320.002
TRG131 (33.33)1 (33.33)1 (33.33)0 (0)
TRG294 (44.44)3 (33.33)0 (0)2 (22.22)
TRG3263 (11.54)6 (23.08)4 (15.38)13 (50.00)
TRG4191 (5.26)4 (21.05)6 (31.58)8 (42.11)
TRG560 (0)0 (0)2 (33.33)4 (66.67)
Table 7 Multivariate Cox proportional hazards regression analysis for overall survival in subgroup.
Parameter
Estimate
χ2
P value
Hazard ratio
95%CI
LRG0.472883.95400.0471.6051.007-2.557
DV1.118265.31680.023.0601.183-7.915
DISCUSSION

At present, TRG is widely used to assess treatment efficacy, but pathological responses to nCRT in rectal cancer are notably heterogeneous. While a proportion of cases achieve clinical complete response or pCR, other patients exhibit minimal regression with substantial residual tumor[16]. A key limitation of using T-stage downstaging to evaluate treatment response is its inherent discrepancy with pathological findings. For instance, a tumor exhibiting limited regression may be downstaged from T3 to T2, while another tumor may retain its T3 stage despite a marked response, as evidenced by microscopic tumor foci remaining in the subserosa[17]. Consequently, TRG, based on the degree of fibrosis and residual tumor burden, has become an important predictor of prognosis. Scaglione et al[18] demonstrated that patients with a good response (Mandard TRG1-2) had superior outcome compared with those with a poor response (Mandard TRG3-5). Similar results were reported by Abboretti et al[19]. These studies established the fundamental prognostic value of TRG. However, most studies found that its predictive ability is constrained by LN status. This discrepancy highlights the urgency of evaluating treatment response beyond the primary tumor and integrating comprehensive assessments.

For rectal cancer, LN status plays another significant role in patient survival after nCRT and radical surgery. Athauda et al[20] stated that the overall TRG was less predictive than ypN stage but might be the dominant determinant of outcomes among patients with ypN0. In the present study, TRG scores showed no significant correlation with OS and DFS when analyzed across the entire cohort. However, survival analysis revealed that the TRG scores of 92 patients with negative LN (ypN0) had a significant impact on prognosis. Given this situation, scholars proposed new scoring systems incorporating LN status. The LRG scoring system for mesorectal nodes was first reported by Caricato et al[21] in 2007. In a retrospective cohort study involving 469 patients with locally advanced rectal cancer who received nCRT, Ozturk et al[22] reported that the LRG score based on a nodal regression scoring system was a significant predictor of tumor recurrence. Zhuang et al[23] also showed similar results. These studies confirmed the feasibility of the LRG concept, but they mostly analyzed LRG as a single variable. By contrast, the present work represents a significant refinement of the earlier research; it not only validated the overall prognostic value of LRG but also, more importantly, employed a refined six-tier grading system and focused into the dose-response relationship between different LRG grades and prognosis.

In this study, LRG demonstrated a prognostic value in rectal cancer after neoadjuvant treatment and seemed superior to TRG and TNM systems. The LRG scoring was based on the extent of fibrosis and residual tumor burden and was influenced by ypT stage, post-nCRT CEA, and tumor differentiation degree[24]. Therefore, these factors should be considered when LRG was used as an evaluation parameter. In addition, we compared the significance of TRG and LRG in OS and DFS, respectively. Both TRG and LRG could be used to predict prognosis under certain conditions. The prognosis of patients with LRG0 (negative LN before operation) may be superior to those with complete tumor response (LRG1), but it could not be demonstrated in this study (P > 0.05). Therefore, further analyses were performed after excluding LRG0. The log-rank test showed that LRG was a determinant of OS and DFS. The multivariate Cox regression models showed that LRG was an independent factor for mortality and recurrence. Compared with previous studies, the strength of the present research lies in its use of a multivariate Cox model to rigorously control for the confounding effects of other pathological and clinical factors. This approach reliably establishes LRG as an independent prognostic factor and confirms its independent predictive value for OS.

Our subgroup analysis revealed a noteworthy finding. In patients with poor LN response (LRG 2-5), the distance from the lower margin of the tumor to the anal verge became an independent predictor of OS. This phenomenon may be due to several reasons. From an anatomical and surgical perspective, low rectal cancers (typically defined as those within < 5 cm from the anal verge) have a narrow surgical space, making it technically challenging to achieve TME and obtain adequate distal margins, which may increase the risk of local recurrence[25]. From a tumor biology perspective, low rectal cancers may possess unique molecular characteristics and exhibit stronger local invasiveness[26,27]. The combination of this “disadvantageous location” and chemoradiotherapy resistance (as indicated by high LRG scores) could lead to poor survival outcomes. This finding stems from an exploratory subgroup analysis, and its exact biological mechanisms and clinical significance should be validated in prospective studies.

This research provides a basis for the clinical application of the LRG scoring system. The LRG assessment relies on postoperative specimens and is inherently a postoperative prognostic indicator. Current major guidelines for postoperative adjuvant treatment, such as those from National Comprehensive Cancer Network, primarily determine treatment recommendations based on the pathological TNM staging after neoadjuvant therapy (ypTNM)[28]. The LRG score can provide important supplementary information within this framework. For patients who have good response in the primary tumor (e.g., TRG1-2) but poor LN regression (e.g., LRG4-5), the high risk of recurrence indicated by the LRG score may support the adoption of intensive adjuvant chemotherapy regimens, even if their traditional ypTNM staging is relatively optimistic. Conversely, patients whose LNs achieve a complete pathological response (LRG1) may indicate a better prognosis, thereby providing additional information for weighing the intensity and necessity of adjuvant treatment. Integrating the LRG pathological response marker into the existing postoperative risk stratification and treatment decision-making system could optimize treatment choices and achieve precise personalized management.

Despite our encouraging results, several issues should be resolved. After nCRT, normal LNs (LRG0) and LNs with pathologically complete response (LRG1) can undergo fibrotic changes, making it inherently difficult to distinguish between them on routine hematoxylin and eosin-stained sections. This diagnostic challenge is fundamentally due to the fact that treatment-induced tissue repair reactions (fibrosis) may completely cover or replace previously existing micrometastases, thereby morphologically mimicking uninvolved LNs. This limitation is not only pertinent to our study but is also a common issue in assessing pathological responses in LNs after neoadjuvant therapy across other gastrointestinal cancers[29]. To gain deeper insights, we designed two subgroups for further analysis. When LRG0 and LRG1 were combined into one group, the survival analysis showed that LRG was an independent predictor that directly affected the survival of cancer patients post-nCRT. Further survival analysis excluding LRG0 and LRG1 still indicated that LRG could serve as a predictive factor for survival after nCRT. Although these subgroup analyses may help corroborate our conclusions, this grouping strategy is more of a statistical approach aimed at macroscopically validating the prognostic efficacy of the LRG system, rather than fundamentally addressing the microscopic diagnostic challenge of distinguishing LRG0 from LRG1 on pathological slides. Another limitation is the unknown initial clinical TNM staging for some patients due to the retrospective design of the study. Incomplete imaging data from external hospitals before referral to our institution resulted in missing information. This situation may introduce selection bias and limit our ability to perform precise analyses.

Accurately distinguishing between LRG0 and LRG1 may be the primary limitation of this study. Future research should focus on exploring precise diagnostic methods. For instance, performing extensive serial sectioning of regional LNs in areas highly suspected or with significant primary tumor burden might help identify occult minimal residual tumor cells, thereby accurately distinguishing true negative (LRG0) from treatment-induced absence of tumor residue (LRG1). The histopathological methods used for LN retrieval have evolved and cannot be controlled because of the retrospective design of the study. Factors such as vascular invasion and circumferential resection margins should be considered for survival analysis.

CONCLUSION

The TRG and LRG scoring systems serve as prognostic markers for survival following nCRT in patients with rectal cancer. The TRG scoring system demonstrated a predictive value specifically in patients with ypN0. By contrast, the LRG scoring system proved to be a robust prognostic marker in patients with node-positive disease. This complementary approach allows for a comprehensive description of tumor regression and patient outcomes.

References
1.  Bray F, Laversanne M, Sung H, Ferlay J, Siegel RL, Soerjomataram I, Jemal A. Global cancer statistics 2022: GLOBOCAN estimates of incidence and mortality worldwide for 36 cancers in 185 countries. CA Cancer J Clin. 2024;74:229-263.  [RCA]  [PubMed]  [DOI]  [Full Text]  [Cited by in Crossref: 16785]  [Cited by in RCA: 13659]  [Article Influence: 6829.5]  [Reference Citation Analysis (6)]
2.  van Lieshout AS, Smits LJH, Sijmons JML, van Dieren S, van Oostendorp SE, Tanis PJ, Tuynman JB. Short-term outcomes after primary total mesorectal excision (TME) versus local excision followed by completion TME for early rectal cancer: population-based propensity-matched study. BJS Open. 2024;8:zrae103.  [RCA]  [PubMed]  [DOI]  [Full Text]  [Cited by in RCA: 7]  [Reference Citation Analysis (0)]
3.  Dodaro CA, Calogero A, Tammaro V, Pellegrino T, Lionetti R, Campanile S, Menkulazi M, Ciccozzi M, Iannicelli AM, Giallauria F, Sagnelli C. Colorectal Cancer in the Elderly Patient: The Role of Neo-adjuvant Therapy. Open Med (Wars). 2019;14:607-612.  [RCA]  [PubMed]  [DOI]  [Full Text]  [Full Text (PDF)]  [Cited by in Crossref: 9]  [Cited by in RCA: 11]  [Article Influence: 1.6]  [Reference Citation Analysis (0)]
4.  Guo Y, Guo Z, Zhang J, Qian G, Ji W, Song L, Guo Z, Han Z. Short- and long-term outcomes of neoadjuvant chemotherapy compared with neoadjuvant chemoradiotherapy for locally advanced rectal cancer: an updated meta-analysis. BMC Gastroenterol. 2025;25:87.  [RCA]  [PubMed]  [DOI]  [Full Text]  [Full Text (PDF)]  [Cited by in RCA: 3]  [Reference Citation Analysis (0)]
5.  Lee JH, Kim N, Yu JI, Yoo GS, Park HC, Lee WY, Yun SH, Kim HC, Cho YB, Huh JW, Park YA, Shin JK, Park JO, Kim ST, Park YS, Lee J, Kang WK. Clinical outcomes of neoadjuvant chemoradiotherapy followed by total mesorectal excision in locally advanced rectal cancer with mesorectal fascia involvement. Radiat Oncol J. 2024;42:130-138.  [RCA]  [PubMed]  [DOI]  [Full Text]  [Full Text (PDF)]  [Cited by in RCA: 3]  [Reference Citation Analysis (0)]
6.  Xu YJ, Tao D, Qin SB, Xu XY, Yang KW, Xing ZX, Zhou JY, Jiao Y, Wang LL. Prediction of pathological complete response and prognosis in locally advanced rectal cancer. World J Gastrointest Oncol. 2024;16:2520-2530.  [RCA]  [PubMed]  [DOI]  [Full Text]  [Full Text (PDF)]  [Cited by in RCA: 7]  [Reference Citation Analysis (0)]
7.  Ulusoy C, Kamalı GH, Nikolovski A. Analysis of Survival in Complete Pathological Response after Long-Course Chemoradiotherapy in Patients with Advanced Rectal Cancer. Curr Oncol. 2023;30:1054-1064.  [RCA]  [PubMed]  [DOI]  [Full Text]  [Cited by in Crossref: 1]  [Cited by in RCA: 7]  [Article Influence: 2.3]  [Reference Citation Analysis (0)]
8.  Tamba M, Osumi H, Ogura M, Fukuoka S, Okamura A, Kanamori J, Imamura Y, Yoshino K, Udagawa S, Wakatsuki T, Shinozaki E, Watanabe M, Yamaguchi K, Chin K, Ooki A. Real-world safety and efficacy of neoadjuvant docetaxel, cisplatin, and 5-fluorouracil therapy for locally advanced esophageal squamous cell carcinoma. BMC Cancer. 2025;25:636.  [RCA]  [PubMed]  [DOI]  [Full Text]  [Full Text (PDF)]  [Cited by in RCA: 1]  [Reference Citation Analysis (0)]
9.  Orlandi E, Romboli A, Citterio C, Trubini S, Vecchia S, Palladino MA, Capelli P, Cavanna L. Prognostic Impact of Ras Mutation on Surgical Strategy in Rectal Cancer Patients Undergoing Neoadjuvant Treatment. Anticancer Res. 2023;43:2015-2024.  [RCA]  [PubMed]  [DOI]  [Full Text]  [Cited by in Crossref: 4]  [Cited by in RCA: 6]  [Article Influence: 2.0]  [Reference Citation Analysis (0)]
10.  Aras F, Parvizi M, Nalbant OA, Ozkol V, Kut E. Evaluation of pre-treatment F-18 FDG PET/CT according to Mandard classification in locally advanced rectal cancer patients undergoing neoadjuvant chemoradiotherapy. BMC Cancer. 2025;25:1262.  [RCA]  [PubMed]  [DOI]  [Full Text]  [Full Text (PDF)]  [Cited by in Crossref: 2]  [Cited by in RCA: 3]  [Article Influence: 3.0]  [Reference Citation Analysis (0)]
11.  Chuang JP, Tsai HL, Chen PJ, Huang CW, Su WC, Chang TK, Chen YC, Li CC, Yeh YS, Wang JY. Smoking and Elevated Preneoadjuvant Chemoradiotherapy Serum Carcinoembryonic Antigen Levels Are Associated With High Tumor Regression Grade and Poor Survival in Patients With Locally Advanced Rectal Cancer. Kaohsiung J Med Sci. 2025;41:e70008.  [RCA]  [PubMed]  [DOI]  [Full Text]  [Full Text (PDF)]  [Cited by in RCA: 3]  [Reference Citation Analysis (0)]
12.  Pikūnienė I, Strakšytė V, Basevičius A, Žilinskas J, Ambrazienė R, Jančiauskienė R, Saladžinskas Ž. Prognostic Value of Tumor Volume, Tumor Volume Reduction Rate and Magnetic Resonance Tumor Regression Grade in Rectal Cancer. Medicina (Kaunas). 2023;59:2194.  [RCA]  [PubMed]  [DOI]  [Full Text]  [Cited by in RCA: 2]  [Reference Citation Analysis (0)]
13.  Liu Q, Luo D, Cai S, Li Q, Li X. P-TNM staging system for colon cancer: combination of P-stage and AJCC TNM staging system for improving prognostic prediction and clinical management. Cancer Manag Res. 2018;10:2303-2314.  [RCA]  [PubMed]  [DOI]  [Full Text]  [Full Text (PDF)]  [Cited by in Crossref: 16]  [Cited by in RCA: 24]  [Article Influence: 3.0]  [Reference Citation Analysis (0)]
14.  Mandard AM, Dalibard F, Mandard JC, Marnay J, Henry-Amar M, Petiot JF, Roussel A, Jacob JH, Segol P, Samama G. Pathologic assessment of tumor regression after preoperative chemoradiotherapy of esophageal carcinoma. Clinicopathologic correlations. Cancer. 1994;73:2680-2686.  [RCA]  [PubMed]  [DOI]  [Full Text]  [Cited by in RCA: 47]  [Reference Citation Analysis (1)]
15.  Choi JP, Kim SJ, Park IJ, Hong SM, Lee JL, Yoon YS, Kim CW, Lim SB, Lee JB, Yu CS, Kim JC. Is the pathological regression level of metastatic lymph nodes associated with oncologic outcomes following preoperative chemoradiotherapy in rectal cancer? Oncotarget. 2017;8:10375-10384.  [RCA]  [PubMed]  [DOI]  [Full Text]  [Full Text (PDF)]  [Cited by in Crossref: 8]  [Cited by in RCA: 10]  [Article Influence: 1.1]  [Reference Citation Analysis (0)]
16.  Gong X, Ye Z, Shen Y, Song B. Enhancing the role of MRI in rectal cancer: advances from staging to prognosis prediction. Eur Radiol. 2025;35:5714-5732.  [RCA]  [PubMed]  [DOI]  [Full Text]  [Full Text (PDF)]  [Cited by in Crossref: 2]  [Cited by in RCA: 10]  [Article Influence: 10.0]  [Reference Citation Analysis (0)]
17.  Calvo FA, Tudela M, Serrano J, Muñoz-Fernández M, Peligros MI, Garcia-Alfonso P, Del Valle E. Post-Chemoradiation Metastatic, Persistent and Resistant Nodes in Locally Advanced Rectal Cancer: Metrics and Their Impact on Long-Term Outcome. Cancers (Basel). 2023;15:4591.  [RCA]  [PubMed]  [DOI]  [Full Text]  [Cited by in RCA: 2]  [Reference Citation Analysis (0)]
18.  Scaglione G, Arciuolo D, Travaglino A, Santoro A, Angelico G, Spadola S, Inzani F, D'Alessandris N, Raffone A, Fulgione C, Padial Urtueta B, Sfregola S, Valente M, Addante F, d'Amati A, Cianfrini F, Piermattei A, Pedone Anchora L, Scambia G, Ferrandina G, Zannoni GF. Prognostic Value of Mandard's Tumor Regression Grade (TRG) in Post Chemo-Radiotherapy Cervical Cancer. Diagnostics (Basel). 2023;13:3228.  [RCA]  [PubMed]  [DOI]  [Full Text]  [Cited by in RCA: 4]  [Reference Citation Analysis (0)]
19.  Abboretti F, Mantziari S, Didisheim L, Schäfer M, Teixeira Farinha H. Prognostic value of tumor regression grade (TRG) after oncological gastrectomy for gastric cancer. Langenbecks Arch Surg. 2024;409:199.  [RCA]  [PubMed]  [DOI]  [Full Text]  [Cited by in RCA: 5]  [Reference Citation Analysis (0)]
20.  Athauda A, Nankivell M, Langer R, Pritchard S, Langley RE, von Loga K, Starling N, Chau I, Cunningham D, Grabsch HI. Pathological regression of primary tumour and metastatic lymph nodes following chemotherapy in resectable OG cancer: pooled analysis of two trials. Br J Cancer. 2023;128:2036-2043.  [RCA]  [PubMed]  [DOI]  [Full Text]  [Cited by in Crossref: 3]  [Cited by in RCA: 14]  [Article Influence: 4.7]  [Reference Citation Analysis (0)]
21.  Caricato M, Ausania F, De Dominicis E, Vincenzi B, Rabitti C, Tonini G, Cellini F, Coppola R. Tumor regression in mesorectal lymphnodes after neoadjuvant chemoradiation for rectal cancer. Eur J Surg Oncol. 2007;33:724-728.  [RCA]  [PubMed]  [DOI]  [Full Text]  [Cited by in Crossref: 46]  [Cited by in RCA: 45]  [Article Influence: 2.4]  [Reference Citation Analysis (2)]
22.  Ozturk SK, Martinez CG, Mens D, Verhoef C, Tosetto M, Sheahan K, de Wilt JHW, Hospers GAP, van de Velde CJH, Marijnen CAM, van der Post RS, Nagtegaal ID. Lymph node regression after neoadjuvant chemoradiotherapy in rectal cancer. Histopathology. 2024;84:935-946.  [RCA]  [PubMed]  [DOI]  [Full Text]  [Cited by in RCA: 9]  [Reference Citation Analysis (0)]
23.  Zhuang Z, Yang X, Zhang Y, Deng X, Wei M, Wang Z. Discrepancies in the Reactivity of Mesorectal versus Lateral Lymph Nodes Post-Neoadjuvant Chemoradiotherapy for Rectal Cancer: Insights from Radiological and Pathological Perspectives. Ann Surg Oncol. 2025;32:7293-7303.  [RCA]  [PubMed]  [DOI]  [Full Text]  [Full Text (PDF)]  [Cited by in Crossref: 2]  [Cited by in RCA: 3]  [Article Influence: 3.0]  [Reference Citation Analysis (0)]
24.  Rathore M, Curry K, Huang W, Wright M, Martin D, Baek J, Taylor D, Miyagi M, Tang W, Feng H, Li Y, Wang Z, Graor H, Willis J, Bryson E, Boutros CS, Desai O, Islam BN, Ellis LM, Moss SE, Winter JM, Greenwood J, Wang R. Leucine-Rich Alpha-2-Glycoprotein 1 Promotes Metastatic Colorectal Cancer Growth Through Human Epidermal Growth Factor Receptor 3 Signaling. Gastroenterology. 2025;168:300-315.e3.  [RCA]  [PubMed]  [DOI]  [Full Text]  [Full Text (PDF)]  [Cited by in Crossref: 10]  [Cited by in RCA: 11]  [Article Influence: 11.0]  [Reference Citation Analysis (0)]
25.  Lauricella S, Brucchi F, Cirocchi R. The evolution of transanal approaches in rectal cancer surgery. Adv Clin Exp Med. 2025;34:2187-2196.  [RCA]  [PubMed]  [DOI]  [Full Text]  [Cited by in RCA: 1]  [Reference Citation Analysis (0)]
26.  Cepero A, Jiménez-Carretero M, Jabalera Y, Gago L, Luque C, Cabeza L, Melguizo C, Jimenez-Lopez C, Prados J. LGR5 as a Therapeutic Target of Antibody-Functionalized Biomimetic Magnetoliposomes for Colon Cancer Therapy. Int J Nanomedicine. 2024;19:1843-1865.  [RCA]  [PubMed]  [DOI]  [Full Text]  [Cited by in RCA: 7]  [Reference Citation Analysis (0)]
27.  Erdem M, Lee KH, Hardt M, Regan JL, Kobelt D, Walther W, Mokrizkij M, Regenbrecht C, Stein U. MACC1 Regulates LGR5 to Promote Cancer Stem Cell Properties in Colorectal Cancer. Cancers (Basel). 2024;16:604.  [RCA]  [PubMed]  [DOI]  [Full Text]  [Full Text (PDF)]  [Cited by in RCA: 9]  [Reference Citation Analysis (0)]
28.  Wang XZ, Zeng ZY, Ye X, Sun J, Zhang ZM, Kang WM. Interpretation of the development of neoadjuvant therapy for gastric cancer based on the vicissitudes of the NCCN guidelines. World J Gastrointest Oncol. 2020;12:37-53.  [RCA]  [PubMed]  [DOI]  [Full Text]  [Full Text (PDF)]  [Cited by in CrossRef: 36]  [Cited by in RCA: 51]  [Article Influence: 8.5]  [Reference Citation Analysis (0)]
29.  Lee TG, Kim DW, Ahn HM, Shin HR, Choi MJ, Jo MH, Oh HK, Kang SB. Lateral pelvic lymph node dissection based on nodal response to neoadjuvant chemoradiotherapy in mid/low rectal cancer: a retrospective comparative cohort study. Ann Surg Treat Res. 2025;108:333-344.  [RCA]  [PubMed]  [DOI]  [Full Text]  [Full Text (PDF)]  [Cited by in RCA: 1]  [Reference Citation Analysis (0)]
Footnotes

Peer review: Externally peer reviewed.

Peer-review model: Single blind

Specialty type: Gastroenterology and hepatology

Country of origin: China

Peer-review report’s classification

Scientific quality: Grade B, Grade B

Novelty: Grade C, Grade C

Creativity or innovation: Grade B, Grade B

Scientific significance: Grade C, Grade C

P-Reviewer: Seeneevassen L, PhD, Associate Professor, France; Yeh T, MD, PhD, Assistant Professor, Taiwan S-Editor: Wu S L-Editor: A P-Editor: Zhang L