Copyright: ©Author(s) 2026.
World J Gastroenterol. Apr 14, 2026; 32(14): 116041
Published online Apr 14, 2026. doi: 10.3748/wjg.v32.i14.116041
Published online Apr 14, 2026. doi: 10.3748/wjg.v32.i14.116041
Figure 1 Flowchart of inclusion and exclusion criteria.
APHE: Arterial phase hyper-enhancement; HCC: Hepatocellular carcinoma; LI-RADS: Liver Imaging Reporting and Data System; MRI: Magnetic resonance imaging.
Figure 2 Overview of the proposed method.
A: Liver/Lesion segmentation and pre-processing; B: Evidence-based scoring of major features; C: Threshold determination for arterial phase hyper-enhancement, washout, and capsule; D: Major feature classification and Liver Imaging Reporting and Data System categorization. ROI: Region of interest; APHE: Arterial phase hyper-enhancement.
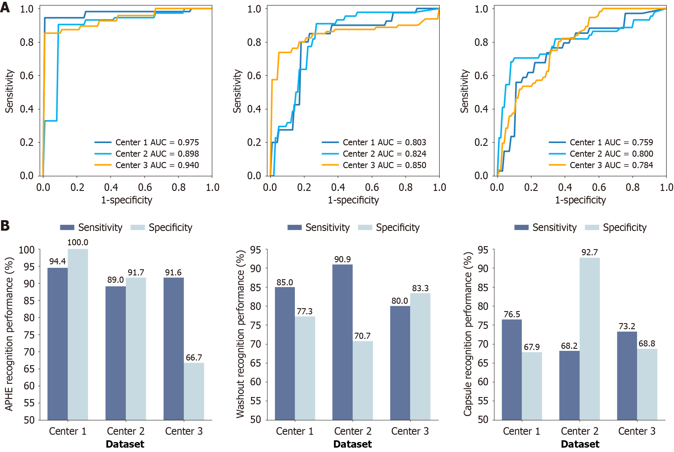
Figure 3 Results of feature classification.
A: Receiver operating characteristic curves; B: Sensitivity and specificity for arterial phase hyper-enhancement (left), washout (middle), and capsule (right) classification across three centers. APHE: Arterial phase hyper-enhancement; AUC: Area under the receiver operating characteristic curve.
Figure 4 Visualization results.
A: Liver and lesion segmentation; B: Arterial phase hyper-enhancement (top), washout (middle), and capsule (bottom) characterization. All these regions are model outputs. APHE: Arterial phase hyper-enhancement.
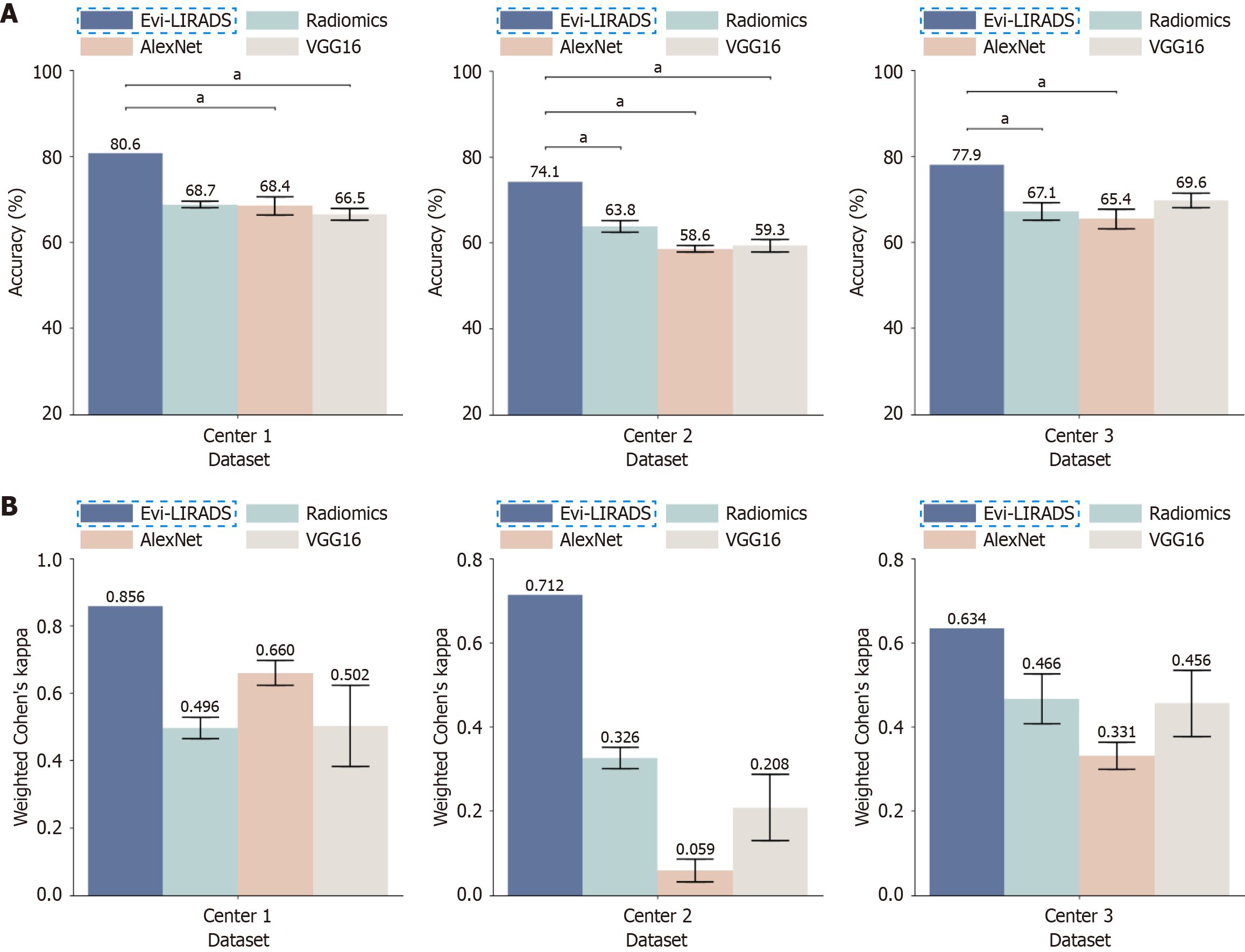
Figure 5 Categorization results of Liver Imaging Reporting and Data System grade 3, 4, and 5.
A: Overall accuracy of center 1 (left), center 2 (middle), and center 3 (right); B: Quadratic weighted Cohen’s kappa coefficient of center 1 (left), center 2 (middle), and center 3 (right). For the three comparison methods, the mean value and 95% confidence intervals from repeated training for learning-based methods (5-fold cross validation repeated 5 times; 25 models) are indicated on the column bars. Evidence-based radiologist-supervised automated Liver Imaging Reporting and Data System is deterministic (fixed algorithms and thresholds averaged across folds), so no training-induced variability/error bars are shown. aP < 0.05. Evi-LIRADS: Evidence-based radiologist-supervised automated Liver Imaging Reporting and Data System.
Figure 6 Accuracy comparisons between evidence-based radiologist-supervised automated Liver Imaging Reporting and Data System and three junior radiologists for center 1 (left), center 2 (middle), and center 3 (right).
Evi-LIRADS: Evidence-based radiologist-supervised auto mated Liver Imaging Reporting and Data System.
- Citation: Xia XQ, Sheng RF, Zheng RC, Dai YX, Yang L, Chu YH, Zhang H, Wu XR, Shi NN, Wang CY, Zeng MS, Wang H. Evidence-based radiologist-supervised automated Liver Imaging Reporting and Data System categorization for the diagnosis of hepatocellular carcinoma. World J Gastroenterol 2026; 32(14): 116041
- URL: https://www.wjgnet.com/1007-9327/full/v32/i14/116041.htm
- DOI: https://dx.doi.org/10.3748/wjg.v32.i14.116041
