Copyright
©The Author(s) 2025.
World J Gastroenterol. Nov 14, 2025; 31(42): 112106
Published online Nov 14, 2025. doi: 10.3748/wjg.v31.i42.112106
Published online Nov 14, 2025. doi: 10.3748/wjg.v31.i42.112106
Figure 1 Kaplan-Meier curve showing the estimated probability of hospital discharge over time in the endoscopic direct appendicitis therapy and endoscopic retrograde appendicitis therapy groups.
aP < 0.05. EDAT: Endoscopic direct appendicitis therapy; ERAT: Endoscopic retrograde appendicitis therapy.
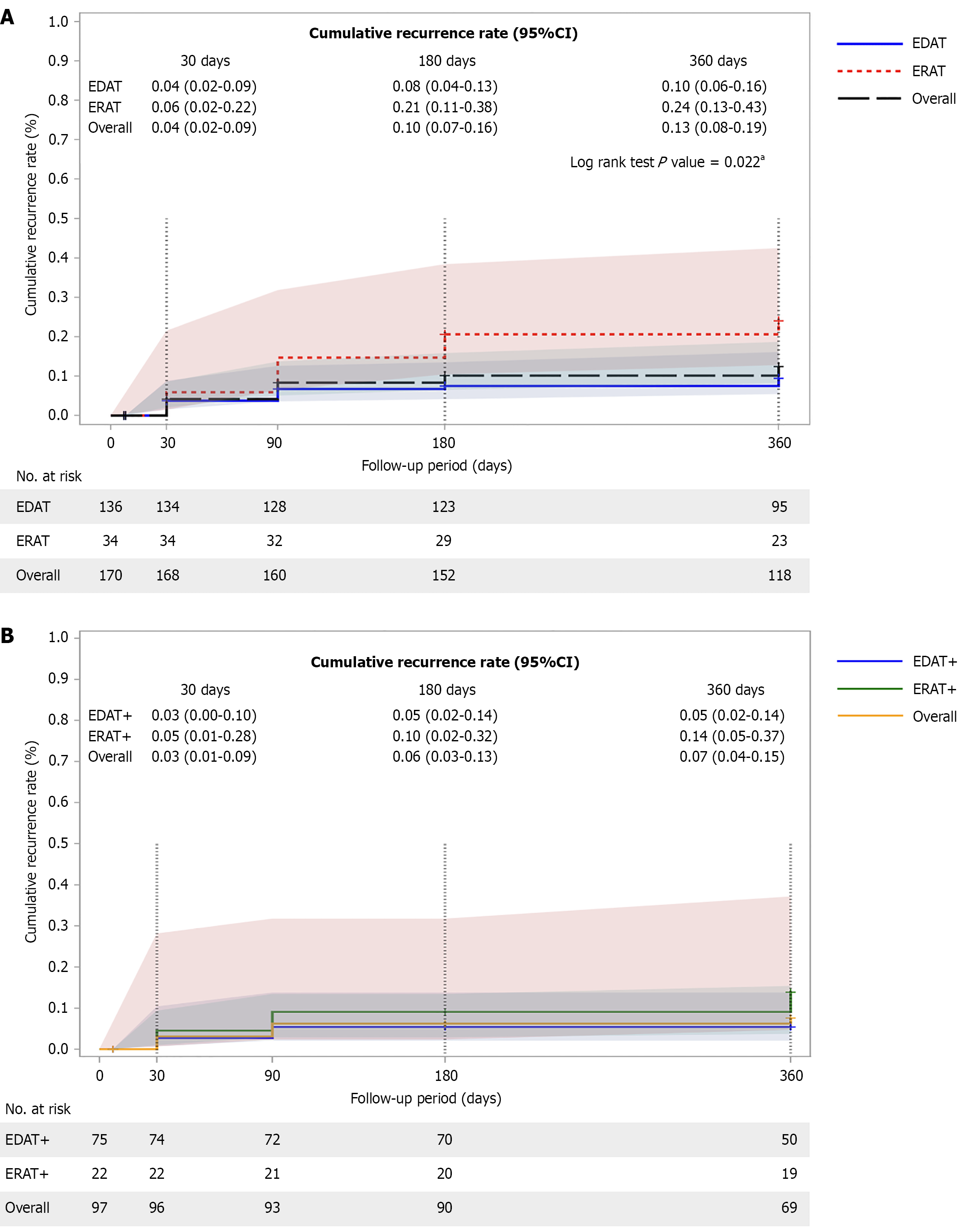
Figure 2 Cumulative recurrence rates of appendicitis.
A: Cumulative recurrence rates of appendicitis in endoscopic direct appendicitis therapy and endoscopic retrograde appendicitis therapy; B: Cumulative recurrence rates of appendicitis in the appendicolith subgroup, comparing endoscopic direct appendicitis therapy and endoscopic retrograde appendicitis therapy. aP < 0.05. EDAT: Endoscopic direct appendicitis therapy; ERAT: Endoscopic retrograde appendicitis therapy.
- Citation: Cai J, Lu YB, Lv Y, Zhan XJ, Li T, Yang G, Ma YT, Ren JZ, Li B, Yu H, Liao SH, Guo YT, Qiu QP, Hong XP, Huang LB, Zhang Y, Huang SL. Reduced recurrence rate with a targeted approach in uncomplicated appendicitis treated with endoscopic direct vs retrograde therapy. World J Gastroenterol 2025; 31(42): 112106
- URL: https://www.wjgnet.com/1007-9327/full/v31/i42/112106.htm
- DOI: https://dx.doi.org/10.3748/wjg.v31.i42.112106
