Copyright
©The Author(s) 2025.
World J Transplant. Dec 18, 2025; 15(4): 104399
Published online Dec 18, 2025. doi: 10.5500/wjt.v15.i4.104399
Published online Dec 18, 2025. doi: 10.5500/wjt.v15.i4.104399
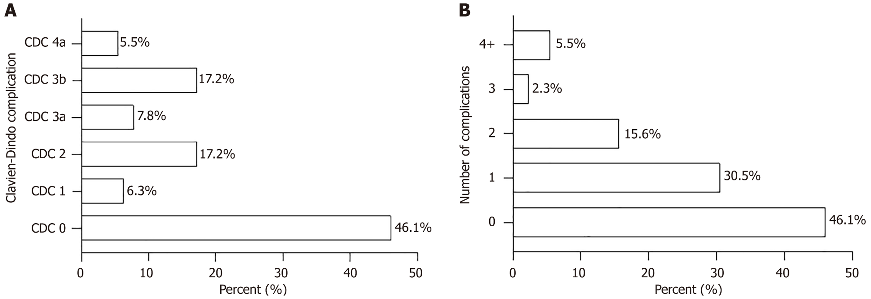
Figure 1 Clavien-Dindo classification and number of complications per patient.
A: Percent of Clavien-Dindo classification 0-5 complications; B: Number of complications per patient. There were no Clavien-Dindo classification 4b or 5 complications. CDC: Clavien-Dindo classification.
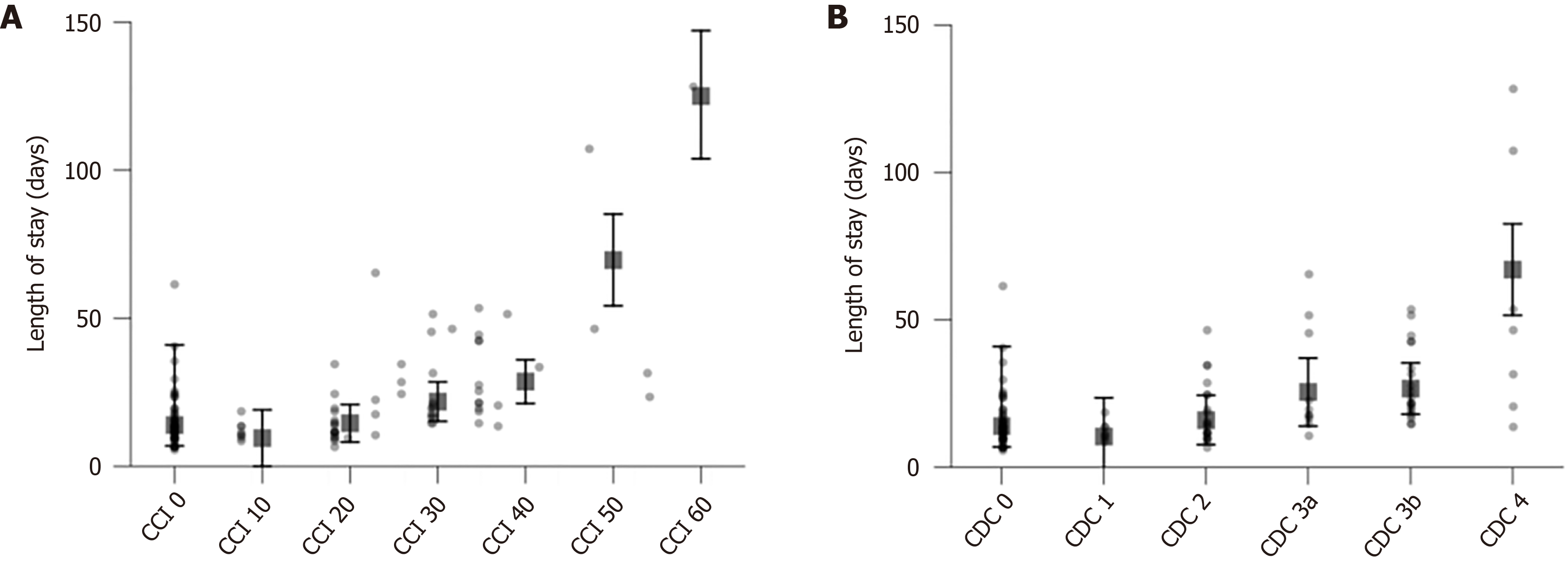
Figure 2 Associations between complication scores and length of hospital stay following multivariable regression adjustment controlling for confounders.
The analysis is based on all patients undergoing simultaneous pancreas-kidney (n = 128). Points represent the median hospital stay with error bars representing 95% confidence intervals. A: The comprehensive complication index was divided into five subgroups, with points plotted based on averaging the comprehensive complication index value; B: For the Clavien-Dindo classification grade, this treats each grade as a subgroup; CCI: Comprehensive complication index; CDC: Clavien-Dindo classification.
- Citation: Parente A, Verhoeff K, Marfil-Garza BA, Sanchez-Fernandez N, Anderson BL, Bigam DL, Shapiro AJ, Dajani KZ. Comparison of Clavien–Dindo classification and comprehensive complication index in patients undergoing simultaneous pancreas-kidney transplantation. World J Transplant 2025; 15(4): 104399
- URL: https://www.wjgnet.com/2220-3230/full/v15/i4/104399.htm
- DOI: https://dx.doi.org/10.5500/wjt.v15.i4.104399
