Copyright
©The Author(s) 2026.
World J Psychiatry. Jan 19, 2026; 16(1): 110146
Published online Jan 19, 2026. doi: 10.5498/wjp.v16.i1.110146
Published online Jan 19, 2026. doi: 10.5498/wjp.v16.i1.110146
Figure 1 A heatmap illustrating the correlation between different variables.
Correlation coefficients (r) are color-coded: Red indicates positive correlation, blue indicates negative correlation, darker shades represent stronger relationships, with a central axis anchored at r = 0. The map helps visualize patterns of co-variation and potential latent associations among psychological, clinical, and quality of life domains in patients with low anterior resection syndrome. All correlations were computed using the Pearson method. BMI: Body mass index; LARS: Low anterior resection syndrome; QoL: Quality of life.
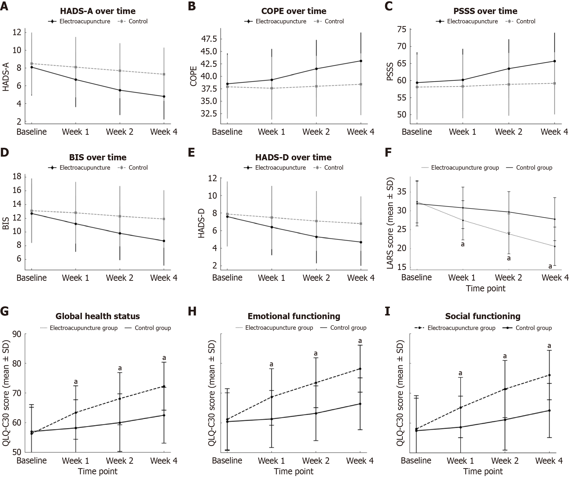
Figure 2 Temporal profiles of psychological, functional, and low anterior resection syndrome outcomes following electroacupuncture intervention.
A–E: Changes in psychological outcomes over the 4-week intervention period. Line graphs illustrate the temporal trends of anxiety (Hospital Anxiety and Depression Scale–Anxiety subscale), coping strategy (Brief Coping Orientation to Problems Experienced), perceived social support (Perceived Social Support Scale), body image disturbance (Body Image Scale), and depression (Hospital Anxiety and Depression Scale–Depression subscale) in the electroacupuncture and control groups. Error bars indicate standard deviations. F: Change in low anterior resection syndrome scores over time in the electroacupuncture and control groups. Data are presented as mean ± SD. G–I: Changes in global health status, emotional functioning, and social functioning over time, derived from the European Organization for Research and Treatment of Cancer Quality of Life Questionnaire Core 30. Higher scores indicate better functioning. Superscript “a” indicates statistically significant differences (P < 0.05) observed from week 1 onward in the electroacupuncture group compared with baseline and the control group. HADS-A: Hospital Anxiety and Depression Scale-Anxiety subscale; COPE: Coping Orientation to Problems Experienced; PSSS: Perceived Social Support Scale; BIS: Body Image Scale; HADS-D: Hospital Anxiety and Depression Scale-Depression subscale; LARS: Low anterior resection syndrome; QLQ-C30: Quality of Life Questionnaire Core 30 questionnaire.
Figure 3 Kaplan-Meier estimates of time to low anterior resection syndrome remission.
Kaplan-Meier curves illustrate the time to emotional remission, defined as a ≥ 3-point reduction in Hospital Anxiety and Depression Scale-Anxiety subscale scores, in patients receiving electroacupuncture vs standard care. The electroacupuncture group exhibited a significantly faster response onset (log-rank test: P < 0.001; odds ratio = 4.7). Vertical reference lines mark days 14 and days 28. OR: Odds ratio.
Figure 4 Multivariable predictors and subgroup heterogeneity of emotional remission following electroacupuncture.
Forest plot showing adjusted hazard ratios (HRs) with 95% confidence intervals for time to emotional remission and psychological subgroups (defined as Hospital Anxiety and Depression Scale-Anxiety subscale reduction ≥ 3 points) based on multivariate Cox regression (model 2). A: Forest plot of multivariate Cox regression for emotional remission (model 2). The model was adjusted for sex, age, body mass index, low anterior resection syndrome score, Body Image Scale, General Self-Efficacy Scale, and Perceived Social Support Scale. HRs > 1 indicate a higher likelihood of earlier emotional remission. Symbols represent individual variables, and the vertical dashed line at HR = 1 denotes the null value; B: Subgroup analysis of electroacupuncture effect on emotional remission. Subgroup stratifications were based on baseline anxiety level (Hospital Anxiety and Depression Scale-Anxiety subscale), body image disturbance (Body Image Scale), and perceived social support (Perceived Social Support Scale). Significant heterogeneity in treatment effect was observed, with greater benefit in patients with higher baseline psychological burden. The vertical dashed line indicates HR = 1. Symbols represent subgroup strata. LARS: Low anterior resection syndrome; BIS: Body Image Scale; GSES: General Self-Efficacy Scale; PSSS: Perceived Social Support Scale; BMI: Body mass index; HADS-A: Hospital Anxiety and Depression Scale-Anxiety subscale.
- Citation: Wang N, Yang Y, Li SS, Wang XF. Electroacupuncture improves psychosocial outcomes in rectal cancer patients with bowel dysfunction. World J Psychiatry 2026; 16(1): 110146
- URL: https://www.wjgnet.com/2220-3206/full/v16/i1/110146.htm
- DOI: https://dx.doi.org/10.5498/wjp.v16.i1.110146
