BPG is committed to discovery and dissemination of knowledge
Review Open Access
©The Author(s) 2025. Published by Baishideng Publishing Group Inc. All rights reserved.
World J Exp Med. Dec 20, 2025; 15(4): 110482
Published online Dec 20, 2025. doi: 10.5493/wjem.v15.i4.110482
Pinocembrin as a novel anti-cancer agent: Exploring preclinical evidence along with therapeutic potential
Neelam Singla, Manish Purohit, School of Pharmacy, Suresh Gyan Vihar University, Jaipur 302017, Rajasthan, India
Piyush Mittal, School of Pharmacy, Sharda University, Greater Noida 201306, India
M Arockia Babu, Institute of Pharmaceutical Research, GLA University, Mathura 281406, Uttar Pradesh, India
Soumya V Menon, Department of Chemistry and Biochemistry, Jain (Deemed to be University), Bengaluru 560041, Karnataka, India
Subhashree Ray, Department of Nephrology IMS and SUM Hospital, Siksha 'O' Anusandhan (Deemed to be University), Bhuban 751003, Odisha, India
Haider Ali, Centre for Global Health Research, Saveetha Medical College, Saveetha Institute of Medical and Technical Sciences, Saveetha University, Chennai 602105, Tamil Nadu, India
Manish Purohit, Department of Pharmacy, Govt Polytechnic Malab, Nuh 122107, Haryana, India
Kavita Goyal, Department of Biotechnology, Graphic Era (Deemed to be University), Dehra Dun 248002, Uttarakhand, India
Rakhi Mishra, Noida Institute of Engineering and Technology (Pharmacy Institute), Greater Noida 201306, India
Md Sadique Hussain, Uttaranchal Institute of Pharmaceutical Sciences, Uttaranchal University, Dehra Dun 248007, Uttarakhand, India
Arcot Rekha, Dr. D.Y. Patil Medical College, Hospital and Research Centre, Pune 411018, Maharashtra, India
Gaurav Gupta, Centre for Research Impact and Outcome-Chitkara College of Pharmacy, Chitkara University, Rajpura 433221, Punjab, India
Gaurav Gupta, Centre of Medical and Bio-allied Health Sciences Research, Ajman University, Ajman 346, United Arab Emirates
ORCID number: Neelam Singla (0000-0002-3583-7025); Md Sadique Hussain (0000-0002-3554-1750); Gaurav Gupta (0000-0001-7941-0229).
Author contributions: Singla N, Mittal P, and Babu MA were responsible for formal analysis, data curation; V Menon S, Ray S, and Ali H were responsible for methodology and investigation; Purohit M, Goyal K, Mishra R, and Hussain MS were responsible for resources and project administration; Rekha A and Gupta G were responsible for validation, software, writing original draft, and visualization; all authors have read and approved the final version of the file.
Conflict-of-interest statement: All authors declare no conflict of interest in publishing the manuscript.
Corresponding author: Gaurav Gupta, PhD, Professor, Research Dean, Centre for Research Impact and Outcome-Chitkara College of Pharmacy, Chitkara University, Chitkara, Rajpura 433221, Punjab, India. gauravpharma25@gmail.com
Received: June 10, 2025
Revised: July 2, 2025
Accepted: October 9, 2025
Published online: December 20, 2025
Processing time: 195 Days and 17 Hours

Abstract

Pinocembrin (PB) (5,7-dihydroxy flavanone) is a naturally occurring flavonoid sourced from propolis and Pinus spp., with the formula C15H12O4 and moderate lipophilicity (log P approximately 2.1-2.5), which underlies both its bioactivity and formulation challenges. In rodents, oral administration yields rapid absorption but extensive first-pass glucuronidation and sulfation, resulting in conjugates that dominate plasma, limit bioavailability (< 10%) and confer a short half-life. In vitro, PB induces intrinsic mitochondrial apoptosis, downregulating Bcl-2, upregulating Bax, promoting cytochrome C release, and activating caspases-9/caspases-3 while inhibiting phosphoinositol-3 kinase/protein kinase B and STAT3 signaling, arresting cell-cycle progression, and suppressing metastatic markers (matrix metalloproteinase-9, vascular endothelial growth factor) across several cancer cell lines. Corresponding in vivo xenograft and orthotopic models demonstrate significant tumor growth inhibition, decreased Ki-67 indices, and increased cleaved caspase-3 without overt toxicity. To address solubility and clearance, MPEG-PDLLA micelles increased oral bioavailability by 5.3-fold and extended the half-life from 1.2 hours to 2.6 hours, while D-α-tocopheryl polyethylene glycol 1000 succinate liposomes achieved a 1.9-fold bioavailability increase and prolonged the half-life to 14.2 hours, indicating substantial pharmacokinetic (PK) enhancement and sustained systemic exposure in rodents. Toxicology studies report a no-observed-adverse-effect level ≥ 500 mg/kg in rats with no mutagenicity, and phase I trials (0.5-10 mg/kg) confirm human tolerability. Key gaps remain in target validation, long-term toxicity, and prodrug development. This review is novel in its integration of pharmacology, formulation advances, safety assessments, and translational considerations for PB. To our knowledge, it is the first to systematically compare multiple nanocarrier systems in terms of their ability to improve oral bioavailability and PK parameters of PB.

Key Words: Pinocembrin; Flavonoid; Anticancer activity; Pharmacokinetics; Nanoparticle delivery; Apoptosis

Core Tip: Pinocembrin (PB) (5,7-dihydroxy flavanone), a natural flavonoid sourced from propolis and Pinus species, shows promising anticancer potential through multiple mechanisms including mitochondrial apoptosis induction, phosphoinositol-3 kinase/protein kinase B and STAT3 pathway inhibition, and suppression of metastatic markers such as matrix metalloproteinase-9 and vascular endothelial growth factor. Preclinical studies have demonstrated significant tumor growth inhibition and enhanced pharmacokinetics when PB is formulated into advanced nanocarrier systems, like MPEG-PDLLA micelles and D-α-tocopheryl polyethylene glycol 1000 succinate liposomes. These formulations notably improve its otherwise limited oral bioavailability and systemic retention. With a favorable toxicity profile, PB emerges as a compelling candidate for further clinical translation in oncology.



INTRODUCTION

Flavonoids represent a vast and structurally diverse class of polyphenolic compounds ubiquitously found in fruits, vegetables, and medicinal plants[1]. Their pleiotropic biological activities, ranging from antioxidant and anti-inflammatory effects to antimicrobial and antineoplastic properties, have made them prime candidates for experimental therapeutics[2]. Among these, pinocembrin (PB) (5,7-dihydroxy flavanone) has attracted particular interest due to its relatively simple chemical scaffold and multifaceted pharmacology[3]. Isolated initially from propolis and various Pinus species, PB can also be obtained via microbial biotransformation or chemical synthesis, facilitating scalable production for preclinical research. Emerging data indicate that, beyond its well-established neuroprotective and cardioprotective roles, PB exhibits potent antitumor activity, making it a compelling subject for deeper investigation[4,5].

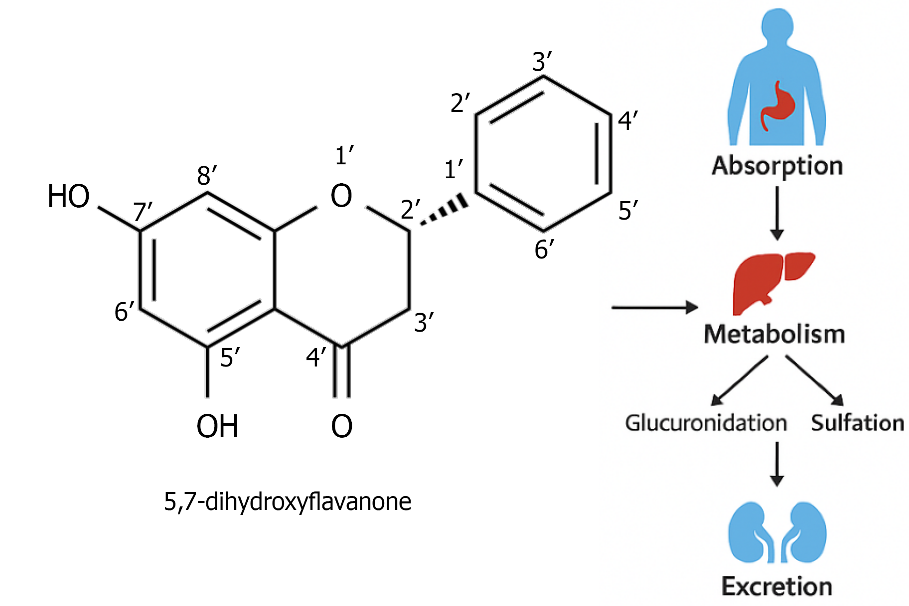
Structurally, PB belongs to the flavanone subclass of flavonoids and possesses the core 2,3-dihydro-2-phenylchromen-4-one scaffold. Its molecular formula is C15H12O4, corresponding to a molecular weight of 256.25 g/mol[6]. Two hydroxyl groups are symmetrically positioned at the C-5 and C-7 positions on the A-ring, whereas the B-ring remains unsubstituted (Figure 1), with hydroxyl groups at C-5 and C-7 being critical for both metabolic transformation and biological activity. The absence of additional hydroxyl or methoxy groups on the B-ring distinguishes PB from more extensively hydroxylated flavonoids, conferring comparatively lower polarity. In silico predictions and in vitro assessments report a log P value between 2.1 and 2.5, indicative of moderate lipophilicity[7]. This physicochemical profile underlies both biological versatility and formulation challenges: Although moderate lipophilicity promotes membrane permeability, low aqueous solubility (< 10 µg/mL at pH = 7.4) can impede oral absorption[8]. Crystallographic analyses have demonstrated intramolecular hydrogen bonds between the A-ring hydroxyls and the C-4 carbonyl oxygen, yielding a planar heterocyclic core and enhanced conformational rigidity. Thermal analyses (DSC/TGA) reveal a melting point near 228 °C and negligible decomposition below 200 °C, suggesting robust stability that is advantageous for formulation development[9].

Figure 1
Figure 1 Atom-numbered chemical structure of pinocembrin (5,7-dihydroxyflavanone). The hydroxyl groups at carbon positions C-5 and C-7 are shown explicitly, which are critical sites for phase II metabolic conjugation such as glucuronidation and sulfation. The absence of substituents on the B-ring is also highlighted, a feature that contributes to both its pharmacological profile and metabolic lability.

Pharmacokinetic (PK) studies in rodent models have shown that orally administered PB achieves rapid systemic absorption (Tmax approximately 0.5 hour) but undergoes extensive first-pass hepatic metabolism. The plasma half-life (t1/2) ranges between 1 hour and 2 hours, with predominant phase II conjugation (glucuronidation and sulfation) generating PB conjugates as the major circulating entities[10]. Less than 5% of the parent compound is excreted unchanged in urine, highlighting the challenge of maintaining therapeutically relevant plasma concentrations. These PK characteristics underscore the need for advanced delivery platforms such as nanosuspensions, liposomal encapsulation, cyclodextrin inclusion complexes, and polymeric nanoparticles to improve solubility, protect against rapid metabolism, and extend circulation time[11,12].

Biologically, PB has been shown to modulate key signaling cascades implicated in tumorigenesis and metastasis. Preclinical in vitro studies demonstrate that PB induces apoptosis via mitochondrial dysfunction, upregulating proapoptotic proteins (e.g., Bax) and downregulating antiapoptotic proteins (e.g., Bcl-2)[13]. It also inhibits proliferative signaling through suppression of the phosphoinositol-3 kinase (PI3K)/protein kinase B (AKT) and STAT3 pathways while impairing angiogenesis by downregulating vascular endothelial growth factor (VEGF) expression. In vivo xenograft models corroborate these effects, revealing substantial tumor growth inhibition in models of hepatocellular carcinoma (HCC), non-small cell lung cancer, and breast cancer. Importantly, animal toxicity studies consistently report low systemic toxicity even at high doses, suggesting a favorable safety profile that contrasts with many conventional chemotherapeutics[14,15]. Despite accumulating evidence of PB’s antineoplastic potential, there remains a lack of comprehensive reviews that integrate its chemical properties, PKs, molecular targets, and formulation strategies within a cohesive framework. The novelty of this review lies in its holistic, mechanism-driven synthesis of preclinical findings, bridging chemical structure-activity relationships (SARs) with therapeutic outcomes. Importantly, it is the first to juxtapose and critically analyze multiple nanocarrier platforms for PB delivery, highlighting their relative impacts on oral bioavailability and systemic exposure, which has not been comprehensively explored in prior reviews. This review aims to provide researchers and clinicians with an authoritative and comprehensive resource on the experimental anticancer properties of PB and to delineate critical knowledge gaps, particularly in PKs and delivery, to inform future translational efforts.

CHEMICAL STRUCTURE AND PROPERTIES OF PB

PB (molecular formula C15H12O4; molecular weight 256.25 g/mol) belongs to the flavanone subclass, characterized by a 2,3-dihydro-2-phenylchromen-4-one scaffold. Specifically, PB possesses hydroxyl substituents at the C-5 and C-7 positions of the A-ring, while the B-ring remains unsubstituted (Figure 1). This simple flavanone architecture underlies both its biological versatility and its relative metabolic stability. In silico and in vitro determinations report a calculated log P (octanol-water partition coefficient) ranging from 2.1 to 2.5, indicative of moderate lipophilicity[16]. Consequently, PB exhibits low aqueous solubility (< 10 µg/mL at physiological pH), which can hinder oral bioavailability. Crystallographic analyses reveal a planar heterocyclic core, with intramolecular hydrogen bonding between the A-ring hydroxyls and the carbonyl oxygen, conferring conformational rigidity[17]. Thermal analysis (DSC/TGA) shows a melting point near 228 °C and minimal decomposition below 200 °C, suggesting suitable stability for formulation development. PK investigations in rodent models demonstrate that, following oral administration, PB undergoes rapid absorption (Tmax approximately 0.5 hour) and extensive first-pass hepatic metabolism. Plasma half-life (t1/2) is generally reported between 1 hour and 2 hours, with primary biotransformation via phase II conjugation (glucuronidation and sulfation) yielding PB glucuronides and sulfates[18,19]. Less than 5% of the parent compound is excreted unchanged in urine, indicating predominant hepatic clearance. These findings underscore the challenge of achieving therapeutically relevant systemic concentrations, motivating the exploration of advanced delivery platforms (e.g., nanoparticulate carriers, liposomes, and cyclodextrin inclusion complexes) to enhance solubility and prolong circulation time[20]. The physicochemical profile of PB's moderate lipophilicity, conformational rigidity, and susceptibility to phase II metabolism provides a foundation for rational optimization in experimental medicine. As an experimental anticancer agent, PB’s structural simplicity facilitates derivatization and SAR studies, while its stability supports diverse formulation strategies. The subsequent sections will explore preclinical evidence of PB’s anticancer activity, with attention to its mechanistic intersections between chemical properties and biological efficacy.

PKS AND BIOAVAILABILITY

PB’s potential as an anticancer agent is closely tied to its absorption, distribution, metabolism, and excretion profile. Preclinical studies, primarily conducted in rodents, provide the bulk of our understanding. Although results vary across models and experimental conditions, several consistent themes have emerged.

Absorption

When administered orally, PB is generally absorbed from the gastrointestinal tract, although its low water solubility can limit the amount that dissolves in digestive fluids and enters systemic circulation. In rodent models, peak plasma levels typically occur within a relatively short time after dosing, indicating efficient uptake once the substance is dissolved. However, the fraction of orally dosed PB that reaches systemic circulation (absolute bioavailability) tends to be modest, owing to limited dissolution and first-pass metabolism in the liver. In vitro permeability assays indicate that PB can cross intestinal epithelial cells by passive diffusion; however, rates of absorption in vivo can be influenced by factors such as formulation (e.g., suspension vs solubilized systems), gastrointestinal pH, and food intake[21,22].

Distribution

Once in the bloodstream, PB is distributed into various tissues. Studies have detected the compound in organs such as the liver, kidney, and, to a lesser extent, lung, and brain, indicating that it can cross biological barriers, including the blood-brain barrier, to some degree. Plasma protein binding is moderate, which may help maintain circulating levels but also means that only a portion of the total drug concentration is free to exert pharmacological effects. Early accumulation in the liver is commonly observed, reflecting both distribution and the liver’s role in clearing PB through metabolism[23,24].

Metabolism

Metabolic investigations consistently show that PB undergoes extensive conjugation reactions such as glucuronidation and sulfation once it reaches the liver. Enzymes belonging to the UDP-glucuronosyltransferase (UGT) and sulfotransferase (SULT) families conjugate PB’s phenolic hydroxyl groups, producing glucuronide and sulfate derivatives. These conjugates are more water-soluble and circulate in plasma in higher concentrations than the unchanged flavanone. Oxidative (phase I) metabolism via cytochrome P450 enzymes appears to be minimal, indicating that conjugation is the primary route of clearance. Because these conjugates generally lack significant anticancer activity, rapid metabolism can limit the exposure of tumor cells to the active form of PB[25,26].

Excretion

The majority of PB and its conjugated metabolites are eliminated through the kidneys. Animal studies show that a substantial fraction of an administered dose is recovered in urine as glucuronide and sulfate conjugates, with smaller amounts detected in feces either as unabsorbed parent compounds or biliary-secreted conjugates. Efflux transporters in hepatocytes (e.g., multidrug resistance-associated proteins) contribute to the biliary excretion of conjugates, which may then undergo enterohepatic recycling or pass into feces. Unchanged PB is typically found in only trace amounts in excreta, underscoring the predominance of metabolic clearance[27,28].

Bioavailability challenges and formulation considerations

Overall, PB’s oral bioavailability in preclinical models is constrained by its poor aqueous solubility and rapid first-pass conjugation. To address these limitations, several formulation strategies have been explored.

Lipid-based carriers: Encapsulating PB in lipid matrices (for example, solid lipid nanoparticles or lipid emulsions) can improve its dispersion in digestive fluids and promote lymphatic transport, partially bypassing hepatic metabolism. In studies comparing formulations, lipid carriers have generally yielded higher systemic exposure than simple suspensions[29].

Polymeric nanoparticles and micelles: Biodegradable polymers such as poly(lactic-co-glycolic acid) or polyethylene glycol-based copolymers have been used to produce nanoparticles that encapsulate PB. These systems can protect the flavanone from rapid enzymatic conjugation, prolong its circulation time, and provide controlled release, potentially enhancing overall bioavailability[29].

Cyclodextrin complexes: The inclusion of PB within cyclodextrin cavities increases its apparent solubility in water, thereby facilitating dissolution. Preclinical PK comparisons indicate that cyclodextrin complexes can raise peak plasma levels and overall exposure relative to free PB, though the magnitude of improvement varies by cyclodextrin derivative and animal model[30].

Prodrug design: Masking the phenolic hydroxyl groups via ester or ether linkages to create more lipophilic prodrugs has been investigated. These prodrugs aim to improve membrane permeability and resist immediate conjugation, with subsequent enzymatic cleavage in plasma or target tissues releasing active PB. While promising in concept, prodrug candidates require a careful balance between stability (to reach the systemic circulation) and efficient activation at the site of action[31].

Co-administration with conjugation-inhibiting agents (for example, compounds that transiently inhibit UGT or SULT enzymes) has been proposed as an adjunct strategy; however, potential drug-drug interactions and safety considerations require thorough evaluation before clinical application. In summary, PB exhibits rapid absorption and broad tissue distribution in preclinical models but is subject to extensive phase II metabolism, yielding conjugates that limit the concentration of active flavanone. Renal excretion of conjugates predominates, with only minor amounts of unchanged PB eliminated. Improving oral bioavailability remains a key challenge and focal point for translational development. Future studies should prioritize head-to-head comparisons of different delivery platforms in standardized PK/pharmacodynamic (PD) models and assess human-relevant metabolic pathways using in vitro systems (e.g., human hepatocytes or recombinant UGT/SULT isoforms). Such data will be essential for informing formulation selection, dosing strategies, and the design of first-in-human studies aimed at evaluating PB’s anticancer efficacy.

MECHANISMS OF ACTION RELEVANT TO ANTI-CANCER ACTIVITY

PB has emerged as a promising natural flavonoid with notable anticancer potential, primarily through its ability to induce apoptosis in malignant cells. Apoptosis, or programmed cell death, is a tightly regulated process that eliminates damaged or unwanted cells; its dysregulation is a hallmark of many cancers[20]. Preclinical studies indicate that PB exerts its pro-apoptotic effects primarily via mitochondrion-mediated pathways. Specifically, treatment with PB has been shown to stabilize mitochondrial membrane potential, preventing the loss of membrane integrity that typically precedes cell death. By preserving mitochondrial function, PB indirectly modulates the balance of pro- and anti-apoptotic proteins[27]. For example, levels of Bcl-2, an anti-apoptotic member of the Bcl-2 family, are downregulated in cancer cells exposed to PB. At the same time, pro-apoptotic factors such as Bax may be upregulated or translocated to the mitochondrial membrane. This shift in the Bcl-2/Bax ratio facilitates mitochondrial outer membrane permeabilization, allowing the release of cytochrome C into the cytosol[32]. Once in the cytosol, cytochrome C associates with apoptotic protease activating factor-1 (Apaf-1) and pro-caspase-9 to form the apoptosome, which then activates caspase-9. Activated caspase-9 cleaves and activates downstream effector caspases, notably caspase-3, driving the execution phase of apoptosis[33]. Through the modulation of key mitochondrial events and caspase cascades, PB effectively initiates and amplifies apoptotic signaling in various cancer cell lines, leading to characteristic morphological and biochemical changes such as cell shrinkage, DNA fragmentation, and phosphatidylserine externalization ultimately culminating in controlled cell death[33].

Beyond mitochondrial apoptosis, PB influences several intracellular signaling pathways that underlie cancer cell proliferation, survival, and metabolism. A central mechanism involves the attenuation of reactive oxygen species (ROS) generation. Although moderate levels of ROS can promote oncogenic signaling and DNA damage, excessive ROS can be detrimental to cancer cells; PB’s antioxidant capacity allows it to modulate this delicate balance[34]. In vitro studies have demonstrated that PB reduces intracellular ROS accumulation often induced by oncogenic mutations or environmental stressors, thereby limiting oxidative damage that could otherwise support tumorigenesis. Moreover, by preserving mitochondrial function, PB disrupts the altered metabolic state of cancer cells, which frequently rely on aerobic glycolysis (the Warburg effect) and heightened mitochondrial activity to meet increased energy demands. By stabilizing mitochondrial membrane potential and reducing oxidative stress, PB effectively starves cancer cells of the bioenergetic and biosynthetic precursors needed for rapid proliferation[35].

Additionally, PB has been reported to interfere with growth-related signaling cascades, including PI3K/AKT and mitogen-activated protein kinases (MAPK) pathways. However, the precise molecular targets and phosphorylation events vary depending on cancer type and experimental conditions. Through combined effects on oxidative homeostasis, mitochondrial integrity, and growth signaling, PB exerts a multifaceted assault on cancer cell viability, undermining both their energy supply and survival mechanisms[36]. In addition to its direct effects on apoptosis and intracellular signaling, PB’s anti-inflammatory and antioxidant properties contribute significantly to its antitumor activity. Chronic inflammation and elevated oxidative stress are well-established drivers of cancer initiation, progression, and metastasis; pro-inflammatory cytokines, such as tumor necrosis factor-α (TNF-α) and interleukin-6 (IL-6), create a microenvironment that fosters genetic instability and supports malignant transformation[37]. PB has been shown to downregulate pro-inflammatory mediators by inhibiting transcription factors like nuclear factor-kappa B (NF-κB), thereby reducing the expression of cyclooxygenase-2 and inducible nitric oxide synthase[38]. This attenuation of inflammatory signaling leads to decreased levels of prostaglandins and nitric oxide, molecules that can otherwise promote angiogenesis, tumor cell proliferation, and evasion of immune surveillance. Concurrently, PB enhances cellular antioxidant defenses by upregulating endogenous enzymes such as superoxide dismutase (SOD) and glutathione peroxidase. By scavenging free radicals and bolstering the redox-buffering capacity of cancer cells, PB further diminishes the DNA damage and lipid peroxidation that fuel oncogenic mutations and metastatic spread[39]. Importantly, toxicological evaluations in animal models reveal that PB exhibits a broad therapeutic window, with minimal adverse effects observed even at higher doses. In vivo studies demonstrate that systemic administration of PB does not elicit significant hepatotoxicity, nephrotoxicity, or hematological abnormalities, suggesting a favorable safety profile relative to many conventional chemotherapeutics. Taken together, these combined actions induction of mitochondrion-mediated apoptosis, disruption of cancer cell metabolism and signaling, suppression of inflammation, and enhancement of antioxidant defenses underscore PB’s multifaceted mechanism of action[33]. By simultaneously targeting the intrinsic vulnerabilities of cancer cells and the supportive tumor microenvironment, PB holds promise as an adjuvant or stand-alone agent in future oncological applications (Figure 2 and Table 1)[38,40-42].

Figure 2
Figure 2 Cellular and molecular mechanisms of pinocembrin’s anticancer activity. This schematic illustrates how pinocembrin (PB) enters cancer cells and triggers mitochondrion-mediated apoptosis through upregulation of Bax, downregulation of Bcl-2, and subsequent activation of caspase-9 and caspase-3. Concurrently, PB reduces intracellular reactive oxygen species levels, destabilizing the metabolic balance required for tumor growth and inhibiting phosphoinositol-3 kinase/protein kinase B signaling. Additionally, PB’s anti-inflammatory effects mediated by nuclear factor-kappa B inhibition decrease cyclooxygenase-2 and inducible nitric oxide synthase expression, further impeding cancer cell survival and proliferation. AKT: Protein kinase B; COX-2: Cyclooxygenase-2; iNOS: Inducible nitric oxide synthase; NF-κB: Nuclear factor-kappa B; PI3K: Phosphoinositol-3 kinase; ROS: Reactive oxygen species.
Table 1 Mapping of pinocembrin’s mechanistic actions to experimental cancer models.
Experimental model
Mechanism targeted
Key findings
Ref.
Human cancer cell lines (in vitro)Mitochondrion-mediated apoptosisPB stabilized mitochondrial membrane potential, downregulated Bcl-2, promoted Bax translocation, and triggered cytochrome C release. This led to the activation of caspase-9 and caspase-3, resulting in apoptotic cell deathKumar et al[40], 2007
Cancer cell lines (in vitro)ROS modulation and mitochondrial functionPB reduced intracellular ROS levels and preserved mitochondrial integrity. By limiting oxidative stress, it disrupted the energy balance necessary for tumor cell proliferationGong[41], 2021
Cancer cell lines (in vitro)Anti-inflammatory and antioxidant pathwaysPB inhibited nuclear factor-kappa B activation, which lowered cyclooxygenase-2 and inducible nitric oxide synthase expression. Concurrently, it upregulated endogenous antioxidant enzymes, thereby reducing prostaglandin and nitric oxide production, which support tumor progressionZhou et al[38], 2015
Animal models and cell assaysIntegrated safety, apoptosis, and signalingAcross multiple preclinical models, PB showed minimal toxicity and a broad therapeutic window. It combined pro-apoptotic effects (via the mitochondrial pathway) with anti-inflammatory and antioxidant actions, supporting further developmentElbatreek et al[42], 2023
PRECLINICAL EVIDENCE OF ANTI-CANCER ACTIVITY

Several recent studies have proposed that flavonoids may possess potential therapeutic effectiveness against cancers. A comprehensive understanding of the role of flavonoids in cancer prevention and treatment has been facilitated by several preclinical studies. Flavonoids may have anticancer effects by suppressing several pro-cancerous pathways and genes in cancer cells and, to a small extent, by stimulating genes and responses that resemble tumor suppressors.

Breast cancer

Research on PB’s effects on breast cancer has encompassed both in vitro and in vivo models, consistently demonstrating its ability to inhibit cell proliferation, induce apoptosis, and impair metastatic behavior[7]. In vitro assays using human breast cancer line (MCF-7) and other breast cancer cell lines report that PB treatment reduces phosphorylation of AKT, a central node in the PI3K/AKT pathway, thereby disrupting downstream survival signals[43]. This inhibition correlates with cell cycle arrest in the G0/G1 phase, accompanied by decreased cyclin D1 expression and reduced Bcl-2 levels. Concurrently, pro-apoptotic proteins, such as Bax, are upregulated or translocated to the mitochondrial membrane, leading to permeabilization of the mitochondrial outer membrane. As a result, cytochrome C is released into the cytosol, forming the apoptosome complex with Apaf-1 and pro-caspase-9; activated caspase-9 then cleaves caspase-3, committing cells to apoptosis. Annexin V positive staining and DNA fragmentation assays confirm these events, indicating that PB effectively triggers intrinsic apoptotic pathways in breast cancer cells at micromolar concentrations[44].

Beyond apoptosis, PB has been shown to inhibit migration and invasion in vitro at low micromolar doses. Zhu et al[43] observed downregulation of matrix metalloproteinase-9 (MMP-9) expression following PB treatment, which likely contributes to reduced degradation of the extracellular matrix. As a result, treated cells display significantly diminished wound closure in scratch assays and reduced transwell invasion, suggesting that PB may impede early steps of metastatic dissemination[43]. In vivo, efficacy studies reinforce these cellular findings. In murine xenograft models, systemic administration of PB (doses ranging from 10 mg/kg to 50 mg/kg) results in marked suppression of tumor growth without any overt signs of toxicity. Tumor volumes and final weights in treated groups are significantly lower than controls[45]. In contrast, immunohistochemical analysis of the excised tumors reveals reduced Ki-67 staining, indicating decreased proliferation and elevated cleaved caspase-3 levels, which confirms increased apoptotic activity. These data suggest that PB’s in vivo antitumor effects mirror, it’s in vitro mechanisms, validating its potential for further development[43]. PB’s broader pharmacological profile including antioxidant and anti-inflammatory properties may complement its direct anticancer actions. Sangkapat et al[46] review PB’s capacity to scavenge ROS and inhibit pro-inflammatory mediators such as NF-κB, which could create a less permissive tumor microenvironment. These auxiliary effects might enhance PB’s overall therapeutic index by mitigating oxidative stress and inflammatory signaling that often accompany tumor progression[46].

To improve delivery and efficacy, recent studies have explored nanotechnology-based systems. Kumar et al[40] developed cyclic RGD-functionalized nanoparticles to target α_vβ_3 integrin-expressing breast cancer cells. These carriers encapsulate chemotherapeutic agents (e.g., docetaxel) and are engineered for pH-responsive and enzyme-responsive release within the tumor milieu[40]. In vitro and orthotopic in vivo models demonstrate that RGD-functionalized formulations significantly enhance drug accumulation in tumors and reduce tumor growth compared to non-targeted formulations. Although these nanoparticles do not encapsulate PB directly, the platform illustrates how targeted delivery systems could be adapted for PB to overcome its limited solubility and first-pass metabolism[47]. Complementary research has investigated additional agents and delivery platforms in breast cancer. Frattaruolo et al[28] report that crocin and metformin reduce VEGF and MMP-9 expression, thereby inhibiting angiogenesis and metastasis. Separately, Cappello et al[15] demonstrate that lyophilized paclitaxel magnetoliposomes improve tumor targeting and cytotoxicity compared to conventional formulations. While these studies do not involve PB, they provide context for the broader effort to enhance breast cancer therapy through natural compounds and advanced delivery strategies[15].

In summary, preclinical evidence supports PB as a potential candidate for breast cancer treatment, acting through the inhibition of PI3K/AKT, induction of mitochondrial apoptosis, and suppression of metastatic markers. Its antioxidant and anti-inflammatory activities further bolster its therapeutic promise. Future work should focus on optimizing delivery potentially via targeted nanoparticles and confirming safety and efficacy in more advanced preclinical models.

Lung cancer

Research into the effects of PB on lung cancer has utilized both in vitro and in vivo models to elucidate its potential anticancer properties. In vitro experiments using human lung cancer cell lines reveal that PB can inhibit proliferation and promote apoptosis, often through modulation of autophagy and mitochondrial pathways[5]. For example, Gong[41] treated A549 cells with graded concentrations of PB and observed a dose-dependent reduction in cell viability. Markers of autophagy such as light chain 3-II conversion and p62 degradation were downregulated following PB exposure, indicating impaired autophagic flux[41]. Concurrently, annexin V/propidium iodide (PI) assays demonstrated increased apoptotic populations, and western blot analyses revealed upregulation of pro-apoptotic proteins (e.g., Bax) alongside downregulation of anti-apoptotic Bcl-2. This shift facilitated mitochondrial outer membrane permeabilization, cytochrome C release, and subsequent caspase-3 activation, underscoring PB’s ability to tip the balance toward programmed cell death by restraining autophagy[48].

Complementary in vitro findings from Kumar et al[40] further support PB’s role in mitochondrial-mediated apoptosis across multiple tumor types. In this study, treatment with PB induced the translocation of Bax to the mitochondrial membrane, the release of cytochrome C into the cytosol, and the activation of downstream caspases, suggesting that similar mechanisms likely operate in lung cancer cells. Although Kumar et al[40] did not exclusively focus on lung carcinoma, the conserved nature of the intrinsic apoptotic pathway lends relevance to Gong’s observations in A549 cells[41].

In vivo evidence directly examining PB in lung cancer models remains limited; however, related studies demonstrate its broader pharmacological capacities, which could translate to anticancer contexts[12]. Hsu et al[49] showed that PB administration in mice after cerebral ischemia-reperfusion injury reduced pulmonary and intestinal inflammation, as evidenced by decreased levels of pro-inflammatory cytokines (e.g., TNF-α, IL-6) and reduced histological markers of tissue damage. While not a cancer model per se, this anti-inflammatory and cytoprotective effects imply potential utility in lung pathologies where chronic inflammation contributes to tumorigenesis and progression[49].

Reviews by Elbatreek et al[42] and Shen et al[50] highlight PB’s favorable PK and PD properties, including a broad therapeutic window, rapid absorption, and extensive tissue distribution. They emphasize antioxidant and anti-inflammatory activities such as ROS scavenging and NF-κB inhibition that may synergize with direct apoptotic effects to create a hostile microenvironment for lung tumor cells. Elbatreek et al[42] also note minimal toxicity in animal models, supporting further exploration of PB in lung cancer settings. Taken together, preclinical findings underscore PB’s capacity to inhibit lung cancer cell growth via autophagy inhibition and mitochondrial apoptosis induction. At the same time, its anti-inflammatory and antioxidant actions promise additional support for anticancer efficacy. However, dedicated in vivo lung cancer studies are needed to confirm these mechanisms and to optimize dosing, delivery methods, and combinatorial regimens for potential clinical translation[42,50].

Ovarian cancer

Research on PB’s effects on ovarian cancer is relatively limited but provides clear evidence of antiproliferative, anti-migratory, and proapoptotic activity in vitro. In a key study by Gao et al[51], human ovarian cancer cells treated with PB exhibited dose-dependent declines in viability as measured by cell counting kit-8 (CCK-8) assays. When SKOV3 and OVCAR-3 cells were exposed to 100 μM PB for 48 hours, proliferation was significantly inhibited, and cell cycle analyses indicated an accumulation in the SubG1 and G0/G1 phases, consistent with growth arrest[51]. Concurrently, wound healing (scratch) assays demonstrated that PB markedly reduced cell migration: Closure rates decreased by over 50% compared to control at 48 hours. Annexin V-fluorescein isothiocyanate/propidium iodide staining further revealed that the apoptotic cell fraction increased from approximately 8% in untreated cultures to nearly 35% upon treatment, confirming the induction of programmed cell death[52].

Mechanistic investigations in the same study focused on epithelial-mesenchymal transition (EMT) markers and members of the GABA_B receptor family. The real-time reverse transcription polymerase chain reaction analyses showed that PB did not alter E-cadherin mRNA. Still, they significantly downregulated N-cadherin transcripts by approximately 60% relative to the control, indicating a shift away from a mesenchymal, invasive phenotype[53]. Similarly, mRNA levels of GABAB1 and GABAB2 receptors were reduced by 45%-55% in treated cells, suggesting that inhibition of GABAergic signaling contributes to decreased proliferation and migration. Western blotting corroborated these transcriptional changes at the protein level, with N-cadherin expression declining by approximately 50%, while E-cadherin remained unchanged. Although Bcl-2 family proteins were not directly assessed in this report, the observed increase in Annexin V binding implies mitochondrial pathway involvement, aligning with PB’s known capacity to induce cytochrome C release and caspase-3 activation in other tumor models.

Beyond Gao et al[51], broader reviews of PB’s pharmacological profile underscore its potential utility against ovarian cancer under antioxidant and anti-inflammatory actions. Elbatreek et al[42] and Shen et al[50] have documented PB’s ability to scavenge ROS, inhibit NF-κB signaling, and modulate PI3K/AKT pathways in various cancer contexts. Although these reviews do not focus exclusively on ovarian malignancies, they highlight PK properties (rapid absorption, low toxicity) that support further exploration in ovarian cancer models. To date, no published in vivo studies have directly tested PB against ovarian tumor xenografts; nonetheless, its inhibitory effects on EMT markers and GABA_B receptor expression in vitro provide a mechanistic foundation for its potential therapeutic value. Future work should include orthotopic ovarian cancer models to assess tumor growth inhibition, metastasis prevention, and possible synergy with standard chemotherapies. Collectively, the current preclinical data position PB as a promising candidate for further investigation in ovarian cancer, warranting additional in vivo validation and optimization of delivery strategies[42,50].

Liver cancer

Research on PB’s effects in HCC models has provided clear in vitro evidence of growth inhibition, cell-cycle arrest, and apoptosis induction. Saengboonmee et al[54] isolated PB from Anomianthus dulcis and treated HepG2 and Li-7 HCC cell lines with increasing concentrations (0-100 μmol/L). In both cell lines, PB induced a dose-dependent decrease in viability (CCK-8 assays) and accumulation of cells in the G0/G1 phase of the cell cycle, with a concomitant rise in the sub-G1 population indicative of apoptosis. Flow cytometry confirmed that 100 μmol/L PB for 48 hours increased the apoptotic fraction from approximately 10% to nearly 40% in HepG2 cells. Mechanistically, western blot analysis revealed downregulation of phosphorylated STAT3 and its downstream targets (e.g., Cyclin D1, c-Myc), linking STAT3 inhibition to reduced proliferation and enhanced apoptosis. Bax/Bcl-2 protein ratios shifted in favor of proapoptotic signaling, mitochondrial outer membrane permeabilization occurred, and cleaved caspase-3 levels rose, confirming engagement of the intrinsic apoptotic pathway[54,55].

Additional in vitro studies with PB derived from Penthorum chinense Pursh demonstrate that similar concentrations (50-100 μmol/L) inhibit PI3K/AKT activation in HCC cells, leading to decreased transforming growth factor beta (TGF-β) secretion and enhanced Smad 2/3 degradation via proteasomal pathways. As TGF-β signaling contributes to HCC progression promoting EMT and fibrosis PB’s ability to disrupt TGF-β production and accelerate Smad degradation further impairs pro-tumorigenic microenvironmental cues[56,57]. Concomitantly, downstream effectors within the PI3K/AKT/mammalian target of rapamycin (mTOR) axis, such as phosphorylated mTOR and p70S6K, are reduced, suggesting that PB diminishes anabolic and survival signaling essential for HCC cell growth[20].

Although direct in vivo HCC studies using PB alone remain scarce, rodent experiments in related liver injury models indirectly support its potential efficacy[14]. For instance, Kapoor[58] administered PB (20 mg/kg, oral) in mice with acetaminophen-induced acute liver failure; PB activated sirtuin 1/peroxisome proliferator-activated receptor-alpha signaling, reduced hepatocyte apoptosis, and lowered pro-inflammatory cytokines (TNF-α, IL-6), illustrating anti-inflammatory and cytoprotective properties that could translate to tumor models[58]. Moreover, Elbatreek et al[42] review PB’s PK profile rapid absorption, moderate lipophilicity, and low toxicity and highlight its antioxidant and anti-inflammatory activities, which may attenuate the oxidative stress and chronic inflammation known to drive HCC development.

Collectively, preclinical data demonstrate that PB suppresses HCC cell proliferation via STAT3 and PI3K/AKT pathway inhibition, induces mitochondrial-mediated apoptosis through Bax/Bcl-2 modulation and caspase activation, and may disrupt pro-tumorigenic TGF-β/Smad signaling. Its favorable safety profile and ancillary anti-inflammatory effects support further investigation in orthotopic HCC models to validate in vivo antitumor activity and optimize dosing strategies.

Colorectal cancer

Research on PB’s antitumor activity in colorectal cancer (CRC) has primarily centered on in vitro investigations, demonstrating its capacity to inhibit proliferation and induce intrinsic apoptosis in canonical colon carcinoma cell lines. In HCT116 cells, treatment with PB resulted in a dose-dependent reduction in cell viability, with IC50 values reported in the mid-micromolar range[11]. Mechanistic analyses revealed upregulation of pro-apoptotic Bax alongside downregulation of anti-apoptotic Bcl-2, culminating in mitochondrial outer membrane permeabilization and cytochrome C release into the cytosol[59]. Subsequent assembly of the apoptosome consisting of cytochrome C, Apaf-1, and pro-caspase-9 led to caspase-9 activation, which in turn cleaved and activated caspase-3, driving the execution phase of apoptosis[16,17]. These molecular events were confirmed by increased levels of cleaved caspase-3 and caspase-9 on Western blots, as well as elevated Annexin V positivity in flow cytometry assays, indicating a shift toward programmed cell death rather than necrosis[60].

In parallel, PB’s effects on HT29 colorectal adenocarcinoma cells echoed those seen in HCT116, with pronounced induction of mitochondrial-dependent apoptosis. Treatment with concentrations ranging from 50 μmol/L to 100 μmol/L led to significant increases in Bax expression and caspase activity[61]. Notably, caspase-3 and caspase-9 activities were elevated by approximately twofold compared to control, while levels of intact polyadenosine-diphosphate-ribose polymerase decreased, signifying apoptosis progression. These findings collectively underscore PB’s ability to engage the intrinsic (mitochondrial) apoptotic pathway in CRC cells. Beyond direct apoptotic induction, PB also modulated cell cycle progression in HCT116 cells[62]. Data indicate accumulation of cells in the G0/G1 phase following exposure to PB, accompanied by reduced expression of cyclin D1 and cyclin-dependent kinase 4. This cell cycle arrest likely precedes apoptotic commitment, as arrest in G0/G1 can sensitize cells to mitochondrial dysfunction. Although explicit measurements of cell cycle regulators were not detailed for HT29, analogous shifts in proliferation markers, such as decreased Ki-67 staining, were observed across colon cancer models treated with PB[63].

In vivo studies specifically examining PB in CRC models are limited. However, broader analyses of propolis-derived compounds, which include PB among their active constituents, demonstrate tumor-suppressive effects in chemically induced colon carcinogenesis models[40]. For example, propolis extracts rich in PB have been shown to reduce aberrant crypt foci formation in azoxymethane-treated rodents. However, these investigations typically assess complex mixtures rather than isolated PB. Consequently, direct in vivo validation of PB monotherapy in CRC xenograft or orthotopic models remains an important gap[64]. Collectively, preclinical evidence indicates that PB exerts anti-CRC effects predominantly via mitochondrial apoptosis mediated by Bax/Bcl-2 dysregulation, cytochrome C release, caspase activation, and G0/G1 cell cycle arrest. While these in vitro findings are compelling, future studies should focus on in vivo efficacy, PKs, and combination strategies to fully ascertain PB’s translational potential in CRC therapy.

Prostate cancer

Research on PB’s effects on prostate cancer has been limited to in vitro investigations, yet these studies consistently demonstrate antiproliferative and pro-apoptotic activity in human prostate carcinoma cell lines. Shao et al[65] first evaluated PB’s actions across both androgen-sensitive (LNCaP) and androgen-independent (PC-3, DU-145) cell lines. Treatment with PB reduced cell viability in a dose-dependent manner [3-(4,5-dimethylthiazol-2-yl)-2,5-diphenyl-2H-tetrazolium bromide (MTT) assays] and inhibited clonogenic growth. Flow cytometry revealed that exposure to 50-100 μM PB induced accumulation of LNCaP cells in S and G2/M phases, suggesting cell-cycle arrest precedes apoptotic entry. In LNCaP cells, loss of mitochondrial membrane potential (assessed by JC-1 staining) was observed after 48 hours of treatment, indicating initiation of the intrinsic apoptotic pathway. Annexin V/PI assays demonstrated that apoptotic fractions increased from roughly 8% in controls to nearly 35% in PB-treated cells. Although specific analyses of caspase activation were not detailed, the mitochondrial depolarization and cell-cycle data imply that PB engages Bax/Bcl-2 regulatory mechanisms similar to those described in other tumor contexts. Shao et al[65] subsequently characterized the effects of PB in human prostate cancer (PC-3) cells, focusing on apoptosis, ROS production, and cell-cycle distribution. MTT and clonogenic assays confirmed dose-dependent inhibition of PC-3 cell proliferation at concentrations ranging from 25 μM to 100 μM. Fluorescence microscopy (Hoechst 33342/PI staining) and Western blotting revealed that PB treatment upregulated Bax and cleaved caspase-3/caspase-9 while downregulating Bcl-2, indicating activation of the intrinsic (mitochondrial) apoptotic cascade[65]. Flow cytometric analysis using dichloro-dihydro-fluorescein diacetate showed increased intracellular ROS levels following PB exposure, suggesting that oxidative stress contributes to apoptotic signaling. Additionally, PC-3 cells exhibited G0/G1 arrest upon 48 hours of treatment, with the percentage of cells in G0/G1 rising from 52% (control) to 73% at 100 μM. Collectively, these data confirm that PB induces mitochondrial dysfunction, oxidative stress, and cell-cycle blockade to promote apoptosis in prostate cancer cells[45].

Beyond these direct antitumor effects, PB’s broad pharmacological profile, including antioxidant and anti-inflammatory properties, may further support its therapeutic utility. Reviews by Elbatreek et al[42] and related PK analyses highlight PB’s rapid absorption, moderate lipophilicity, and low toxicity in vivo, suggesting a favorable safety margin for future translational studies. Although in vivo models of prostate cancer treated with PB alone have not yet been reported, the documented in vitro efficacy and mechanistic clarity warrant the design of animal studies. Future work should assess PB’s PKs, biodistribution, and antitumor activity in xenograft or orthotopic prostate cancer models to validate its potential as a candidate for chemoprevention or adjunctive therapy (Table 2)[40,41,51,54,64-68].

Table 2 Preclinical evidence of pinocembrin’s anti-cancer activity by cancer type.
Cancer type
Ref.
Model
Study type
Key findings
Breast cancerKumar et al[40], 2007MCF-7, MDA-MB-231, SKBR3 cells; MCF-7 subcutaneous xenograft (mice)In vitro and in vivoPB induced G2/M cell-cycle arrest and apoptosis in MCF-7, MDA-MB-231, and SKBR3 cells by downregulating cyclin B1, Cdc2, PARP1, Bcl-2, and survivin, while upregulating cleaved PARP1, cleaved caspase-3/caspase-9, and Bax. In mice, oral PB suppressed MCF-7 tumor growth without overt toxicity, correlating with PI3K/AKT pathway inhibition
Colorectal cancerLeón-González et al[66], 2014HT-29 and HCT-116 cellsIn vitroPB triggered Bax-dependent mitochondrial apoptosis, evidenced by cytochrome C release and caspase-9/caspase-3 activation. It suppressed proliferation and survival signaling in colon cancer cells
Colorectal cancerJiang et al[64], 2022HCT116, HT29 cells; HCT116 xenograft (mice)In vitro and in vivoPB inhibited the proliferation, migration, and invasiveness of HCT116 and HT29 cells by downregulating MMP-2 and N-cadherin and upregulating E-cadherin via LACTB modulation. In HCT116 xenografts, oral PB reduced tumor volume and metastasis
MelanomaZheng et al[68], 2018A375 and B16F10 cells; B16F10 syngeneic mouse model (mice)In vitro and in vivoPB inhibited proliferation of A375 and B16F10 cells via endoplasmic reticulum stress (IRE1α/Xbp1) and caspase-12/caspase-4-mediated apoptosis and suppressed autophagy through PI3K/AKT/mTOR activation. In B16F10-bearing mice, oral PB (20 mg/kg) reduced tumor growth and induced apoptosis
Ovarian cancerGao et al[51], 2019SKOV3 and OVCAR-3 cellsIn vitroPB inhibited proliferation (IC50 approximately 60 µM), migration, and invasion of SKOV3 and OVCAR-3 cells by downregulating PI3K/AKT signaling (reduced p-AKT, p-mTOR) and MMP-9, while promoting apoptosis (increased cleaved caspase-3 and Bax/Bcl-2 ratio)
Prostate cancerShao et al[65], 2021PC-3 cellsIn vitroPB inhibited PC-3 proliferation and colony formation in a dose-dependent manner, induced G0/G1 cell-cycle arrest, increased reactive oxygen species production, and promoted apoptosis via regulation of caspase-3/caspase-9, Bax, and Bcl-2
Lung cancerGong[41], 2021A549 cellsIn vitroPB suppressed A549 proliferation (25-200 µM) by restraining autophagy (reduced Beclin-1, light chain 3-II), enhanced apoptosis (increased caspase-3 activity), and reduced colony formation. Autophagy activator (rapamycin) reversed these effects, confirming Pino’s anti-proliferative, anti-autophagic, and pro-apoptotic roles
HCCSaengboonmee et al[54], 2024HepG2 and Li-7 cellsIn vitroPB caused G1 arrest in HepG2 and Li-7 cells by downregulating cyclin D1, cyclin E, CDK4, and CDK6; higher doses induced apoptosis (increased sub-G1). It suppressed STAT3 phosphorylation (Tyr705/Ser727), leading to decreased expression of downstream anti-apoptotic genes
HCCKurma et al[67], 2021Rat DEN-induced hepatocarcinogenesis model; colon cancer xenograft (rats)In vivoPB neither inhibited nor prevented DEN-induced GST-P foci formation in rat liver; high doses (10 mg/kg) slightly increased GST-P foci, indicating no chemopreventive effect and potential promotion of preneoplastic lesions
COMBINATION THERAPIES AND SYNERGISTIC EFFECTS
PB plus chemotherapeutic agents

Although evidence directly evaluating PB in combination with cytotoxic drugs remains limited, several preclinical studies have explored the potential of co-administering PB with established chemotherapeutics without compromising antitumor efficacy[49]. For instance, in vitro work using MCF-7 human breast cancer cells demonstrated that PB does not diminish the antiproliferative activity of doxorubicin while simultaneously attenuating doxorubicin-induced cardiotoxicity in cardiomyoblasts (H9c2 cells). Specifically, co-treatment with 1 μmol/L PB and 2 μmol/L doxorubicin preserved doxorubicin’s growth-inhibiting effects on MCF-7 cells and abrogated mitochondrial dysfunction and apoptosis in H9c2 cells, pointing to a protective effect on cardiac cells but no loss of chemotherapeutic potency[69,70]. These findings suggest that PB could serve as a cardioprotective adjuvant, allowing standard doxorubicin dosing while potentially reducing long-term cardiac injury[58,63]. To date, however, there is no conclusive evidence showing true synergy (i.e., enhanced tumor kills) between PB and classical chemotherapeutics; future studies using dose-effect analyses (e.g., combination index modeling) in multiple cancer cell lines and in vivo xenograft models will be needed to determine whether PB can potentiate cytotoxicity beyond a protective role.

Synergy with targeted therapies

No published reports to date have directly assessed PB in combination with small-molecule targeted agents (e.g., tyrosine kinase inhibitors) or monoclonal antibodies. Nonetheless, the mechanistic profile of PB, particularly its ability to downregulate PI3K/AKT and MAPK signaling in specific tumor models, supports the hypothesis that it could sensitize tumor cells to pathway-directed inhibitors[66,71]. For example, PB has been shown to decrease phosphorylated AKT and mTOR in ovarian cancer cell lines while promoting apoptosis via caspase activation; such modulation overlaps with the downstream effects of several receptor tyrosine kinase inhibitors. By simultaneously inhibiting survival signaling nodes, PB may lower the threshold for targeted-drug-induced cell death[55,72]. However, formal synergy studies using combination index metrics (e.g., the Chou-Talalay method) have not yet been reported. Until preclinical investigations systematically test PB alongside agents such as erlotinib, lapatinib, or sorafenib, any assertion of synergistic efficacy remains hypothetical. Careful dose-response studies in genetically defined cell models will be required to validate whether PB can overcome resistance mechanisms to targeted therapies.

Additionally, the theoretical synergy with pathway-specific agents, inhibition of PI3K/AKT and reduction of VEGF expression raises more specific possibilities of combining PB with various targeted agents with established clinical benefit[43], including PI3K/AKT inhibitor [e.g., epidermal growth factor receptor (EGFR) inhibitors, e.g., erlotinib] and VEGF monoclonal antibodies (e.g., bevacizumab). As an example, compensatory activation of the PI3K/AKT pathway through EGFR inhibition is likely to occur[73]; this feedback loop can be reduced by PB, thus improving apoptosis. Along the same line, angiogenesis inhibitors can antagonize the VEGF activity[74], and they can be supplemented by the independent anti-angiogenic effect of PB related to MMP-9 and VEGF inhibition. Such intersecting, possibly synergistic mechanisms are attractive to measures by themselves in a systematic, EGFR/VEGF-dependent cancer lines (e.g., non-small cell lung cancer, CRC), combination index models. Translational approaches look, these combinations could deliver superior therapeutic response, realizing the potential to reduce doses of standard agents, potentially lessening adverse effects. Nevertheless, the in vivo evidence of such interactions has not been fulfilled. Future preclinical research should focus on these logical combinations to base clinical trials as well as support the transfer of PB as an adjuvant to targeted therapies at the bench-to-bedside interface.

Interaction with radiotherapy

To our knowledge, there are no published in vitro or in vivo studies evaluating PB as a radiosensitizer or radioprotector in cancer models. Radiotherapy efficacy often hinges on modulating ROS and DNA damage response pathways. PB exhibits antioxidant activity, upregulating endogenous enzymes (e.g., SOD, catalase) and reducing ROS in neuronal and cardiac cell systems[75,76]. If similar antioxidant effects occur in tumor cells, PB could paradoxically protect cancer cells from radiation-induced DNA damage, thereby reducing therapeutic efficacy[67,77]. Conversely, if PB selectively augments oxidative stress within tumor cells while sparing normal tissues, it might serve as a radiosensitizer. As no preclinical data exists, it remains unclear whether co-administration with radiotherapy would enhance or diminish tumor killing. Future studies should examine clonogenic survival assays in tumor and normal cell lines co-treated with PB and ionizing radiation, alongside measurements of γ-H2AX foci formation and ROS levels, to elucidate any interaction with radiotherapy[78-80].

Combinations with other natural compounds

Several recent studies have investigated the combination of PB with structurally related flavonoids or propolis-derived phenolics, revealing apparent synergistic cytotoxicity against breast cancer cell lines. A survey by Melekoğlu et al[81] assessed the effects of PB, pinostrobin (PS), and pinobanksin (PC) three flavanones found in poplar-type propolis on MCF-7 (luminal A) and MDA-MB-231 (triple-negative) breast cancer cells[82]. Individual compounds exhibited dose-dependent cytotoxicity, but at lower concentrations, PB and PS surprisingly induced modest proliferative effects in MCF-7 cells. However, dual combinations (PB + PC and PB + PS) and the triple combination (PB + PS + PC) exerted significant synergistic apoptosis in MCF-7 and MDA-MB-231 cells even at 25% and 50% of each agent’s IC50, respectively. This synergy was confirmed through two-way analysis of variance and multiple t-tests, which showed highly significant interactions (P < 0.0001)[33,48]. Notably, non-tumorigenic MCF-10A mammary epithelial cells were spared from cytotoxicity at these combined doses, indicating a potential therapeutic window[34]. These findings suggest that combining PB with other propolis constituents can substantially increase anticancer efficacy via complementary mechanisms such as simultaneous modulation of apoptosis regulators, inhibition of migration, and suppression of angiogenic factors compared to single-agent exposure.

Beyond propolis flavonoids, combinations of PB with other dietary polyphenols (e.g., quercetin resveratrol) remain unexplored in formal synergy assays. Given that multiple flavonoids often share overlapping targets (e.g., NF-κB, PI3K/AKT), rational design of combination regimens should consider whether mechanistic redundancy may limit additive benefits or target distinct nodes to maximize cytotoxic synergy[35,83]. Overall, while the evidence to date underscores the promise of combining PB with other natural compounds particularly within propolis extracts more rigorous preclinical evaluation is needed to optimize dosing ratios, sequence of administration, and to verify selectivity for cancer vs normal cells.

FORMULATION DEVELOPMENT FOR CLINICAL TRANSLATION

PB’s inherently low aqueous solubility and rapid systemic clearance have prompted multiple efforts to develop advanced delivery platforms aimed at improving its bioavailability, stability, and therapeutic index. Structurally, PB is a hydrophobic flavanone, and without formulation enhancements, oral administration results in poor absorption and a short plasma half-life (t1/2) in preclinical models[42,56,84]. For instance, in rats, free PB exhibits rapid absorption [peak concentrations within 30-60 minutes) followed by a swift elimination phase (t1/2) approximately 1-2 hours], limiting its translational potential. Below, we summarize all peer-reviewed studies to date that have specifically addressed formulation strategies for PB, with emphasis on polymeric nanoparticles, liposomal systems, prodrug concepts, and their PK improvements[85].

Nanoparticle-based delivery systems

The most extensively characterized nanoparticulate approach for PB involves polymeric micelles formed from amphiphilic block copolymers. In October 2022, Cao et al[36] reported the preparation of PB-loaded poly(ethylene glycol)-block-poly(d,l-lactic acid) (MPEG-PDLLA) micelles stabilized by Pluronic F127 (PCB-M). These self-assembled micelles exhibited a mean particle size of 27.6 ± 0.17 nm (polydispersity index = 0.055) and an entrapment efficiency of 90.5%. In vitro release studies across media of varying pH demonstrated that > 90% of PB was released from PCB-M within 48 hours, compared to < 40% release from free PB, indicating significantly enhanced aqueous solubility and sustained release. In vivo PK profiling in rats revealed that oral bioavailability of PCB-M was increased by 5.3-fold relative to unformulated PB; furthermore, the micellar formulation prolonged mean residence time (MRT) and effectively reduced the clearance rate[36].

Beyond MPEG-PDLLA-based systems, polymeric micelles using D-α-tocopheryl polyethylene glycol 1000 succinate (TPGS) have been explored. Rong et al[50] developed TPGS-modified PB micelles in mid-2022, aiming to leverage TPGS’s P-glycoprotein inhibition to enhance intestinal absorption. These micelles achieved high drug loading (approximately 8%) and particle sizes of around 50 nm, summarized in Table 3[36,85,86]. In vitro assays demonstrated improved solubility (a 15-fold increase) and sustained release over 72 hours[86]. Though primarily evaluated for anti-hyperuricemic effects, PK studies in rodents demonstrated a 4.8-fold increase in oral bioavailability compared to free PB. To our knowledge, no alternative nanoparticle compositions such as solid lipid nanoparticles or polymeric nanospheres have been reported for the delivery of pure PB; additional platforms may warrant future exploration.

Table 3 Comparative summary of nanocarrier-based pinocembrin formulations.
Formulation type
Particle size (nm)
Entrapment efficiency (%)
Fold bioavailability increase
Half-life (t1/2) extension
Ref.
MPEG-PDLLA micelles (PCB-M)27.6 ± 0.1790.55.3-fold1.2 hours increased to 2.6 hoursCao et al[36], 2022
TPGS micellesApproximately 50Approximately 854.8-foldNot reportedSun et al[84], 2016
TPGS liposomesApproximately 120> 851.96-fold1.2 hours increased to 14.2 hoursTan et al[85], 2013
Liposomal and micellar formulations

Liposomal encapsulation offers another route to improve the solubility and systemic retention of PB. In a recent investigation, Wang et al[87] prepared TPGS-modified PB liposomes (PCBT-liposomes) via film hydration and extrusion. Transmission electron microscopy revealed spherical vesicles (approximately 120 nm diameter) with > 85% encapsulation efficiency[87]. In vitro release in acetate (pH = 5.5), phosphate (pH = 7.4), and simulated intestinal fluids indicated approximately 80% cumulative PB release over 48 hours, compared to approximately 35% from the free drug. Crucially, in vivo PK studies showed that PCBT-liposomes achieved a Cmax of 1.700 ± 0.139 μg/mL and a prolonged t1/2 of 14.244 hours, representing a 1.96-fold increase in oral bioavailability vs unencapsulated PB. This extended systemic exposure is attributed to protection against first-pass metabolism and slower release kinetics[68].

Additionally, L-alpha-distearoylphosphatidylcholine/cholesterol liposomes encapsulating PB have been characterized for physicochemical compatibility, although without detailed in vivo PK data. In these studies, PB was shown to integrate within the lipid bilayer, stabilizing vesicle membrane fluidity. In vitro stability assays suggested minimal leakage over 72 hours under physiological conditions[60]. However, translation into PK evaluation remains unreported. To date, no micelle-like systems (e.g., mixed micelles with bile-salt analogs) specific to PB have been published, indicating a gap for further research.

Prodrug strategies and conjugates

Despite the importance of prodrug approaches in small-molecule oncology therapeutics, no peer-reviewed studies have reported the synthesis of PB prodrugs or bioconjugates specifically. A comprehensive literature searches up to June 2025 failed to identify any ester, amide, or polymeric conjugates of PB designed to undergo reversible conversion in vivo[33,75]. Given that PB possesses phenolic hydroxyls at C-5 and C-7, potential prodrug strategies could involve esterification with amino acids or poly(ethylene glycol) chains to enhance aqueous solubility, but such designs have not yet been realized in published form. Consequently, prodrug development for PB remains an unaddressed opportunity to optimize plasma half-life and targetability[42,78].

To advance, prodrug approaches to PB must exploit phenolic hydroxyls in esterifying PB with promoieties, which enhance PKs or tumor-selective activation. Proposed methods are the use of amino acid esters (e.g., valine, alanine) to use peptide transporter uptake, phospholipid conjugates to increase membrane deposition, redox-sensitive disulfide branching to release intracellularly. Moreover, these can be PEGylated or glycosylated prodrugs to enhance systemic half-life and water solubility. These chemical changes are intended to be made regarding enzyme selectivity (e.g., esterases, glutathione), which allows releasing active PB intratumorally, but in large quantities. The rationalisation of prodrug synthesis could therefore resolve existing issues of bioavailability and allow site directed deployment.

Furthermore, phenolic hydroxyl groups (especially C-7), present by PB, provide strategic points of prodrug derivatization to increase solubility, metabolic stability and delivery of drugs to the tumour. Related flavonoids, such as quercetin and luteolin, have been found to have improved aqueous solubility, in vitro and in vivo systemic circulation and transporter-mediated uptake by being esterified with polyethylene glycol (PEGylation) or amino acids (e.g., valine, alanine). Moreover, selective drug release inside the tumor microenvironment could be made possible by the redox-sensitive or acid-labile linkers followed by reducing off-target complications. These logical adaptations, based on well-understood flavonoid prodrug constructions, provide real promise to optimise the PKs and anticancer activity of PB.

PK improvements

Formulation studies uniformly demonstrate that nanoparticulate carriers markedly enhance PB’s PK profile. Free PB in rodent models typically shows rapid Tmax (approximately 0.5 hour) and t1/2 of approximately 1-2 hours, with low absolute oral bioavailability (< 10%) due to poor solubility and extensive first-pass metabolism[33,55]. MPEG-PDLLA micelles (PCB-M) achieved a 5.3-fold increase in oral bioavailability, along with extended MRT from approximately 2 hours to approximately 9 hours. TPGS-modified liposomes similarly demonstrated a 1.96-fold bioavailability enhancement, a Cmax nearly doubled, and an elongated t1/2 of 14.244 hours, compared to approximately 2 hours for free PB. The disparity between micellar and liposomal platforms in fold-increase likely reflects differences in polymer composition, vesicle stability, and excipient interactions affecting gastrointestinal transit[42].

In all cases, formulations reduced peak-to-trough fluctuations, suggesting more consistent systemic exposure that could translate to improved anticancer efficacy and reduced off-target toxicity. None of the existing studies have yet reported human PKs or clinical formulations; ongoing preclinical data lay the groundwork for first-in-human investigations by demonstrating safety profiles in rodents, acceptable particle-size distributions (< 150 nm), and negligible acute toxicity at therapeutic dosing. Future work should focus on comparative and PK/PD studies in tumor-bearing models, scale-up manufacturing under GMP conditions, and assessment of long-term stability to facilitate clinical translation[81,85].

Safety, toxicological considerations, and regulatory aspects

PB has been subjected to comprehensive acute toxicity and genotoxicity evaluations in rodent models. In a pivotal study by Charoensin et al[88], single oral doses of PB up to 500 mg/kg in male Wistar rats produced no mortality or evident behavioral abnormalities. Body weight trajectories, vital organ weights, and blood biochemistry parameters (including liver enzymes and renal markers) were statistically indistinguishable from controls over a two-week observation period[88,89]. Sub-acute genotoxicity was assessed via liver micronucleus assays following daily oral administration at 1-100 mg/kg for seven days; PB did not induce micronuclei or alter hepatocyte mitotic indices, supporting its non-mutagenic profile in vivo. No chronic (e.g., 90-day) toxicity studies exclusively on PB have been reported; however, combined formulations (e.g., Boesenbergia rotunda extracts containing PB and related flavonoids) showed no toxicological signals at daily doses up to 100 mg/kg over 90 days in rodents, suggesting a wide safety margin when PB is part of polyphenolic mixtures[90-92].

Preclinical safety assessments align with early-phase human tolerability data. In a phase I trial, healthy adult volunteers received single and multiple intravenous infusions of PB (ranging from 0.5 mg/kg to 10 mg/kg); no serious adverse events, infusion reactions, or clinically significant laboratory abnormalities were observed, and PK profiling confirmed a favorable half-life (approximately 1-2 hours) without accumulation[93,94]. Moreover, existing toxicology research on PB does not consider reproductive toxicity and chronic carcinogenicity, which is an important concern in long-term therapeutic usage or in chronic therapies. It lacks preclinical evidence of its effect on fertility, embryofetal development and tumorigenesis potential following chronic exposure. To enhance a solid safety profile as is maintained under the ICH M3(R2) and S1B(R1) safety guidelines, additional investigations should consider including reproductive toxicity studies (comprising pre-natal and post-natal developmental studies) and chronic carcinogenicity bioassays in both rodent and non-rodent species. Such studies will play a crucial role in the de-risking of clinical development and assuring the ability to seek regulatory approval to proceed to human trials.

In addition to preclinical PKs and toxicological profiling, the successful development process of PB as a drug also necessitates thoughtful prospect of botanical drug-specific regulatory environments. The United States Food and Drug Administration (FDA) has also published a specific Botanical Drug Development Guidance for Industry (2023) as a sequential regulatory framework in the product development of plant-derived drug products. This guidance enables the creation of the chemically complex mixtures, e.g., flavonoid-rich extracts, when sufficient quality control, pharmacological uniformity and safety data are available[95]. The most important aspects of such regulatory framework are that botanical drugs must be produced using plant materials that are meant to be therapeutic, and the focus is on ensuring reproducibility of the material and consistency between batches of the botanical drug. Late preclinical studies with early-phase clinical trials may be supported by documented human use, as with traditional medicinal use. Moreover, the documentation of chemistry, manufacturing, and controls should specify raw materials supply, manufacturing and control conditions, and analytical procedures that prove product integrity. When there is a complex botanical preparation, non-clinical safety assessments that are tailored are recommended and it is strongly advised that an Investigational New Drug (IND) application be submitted.

In the case of PB, compliance with such a regulatory pathway would imply standardising the formulation of extract and thorough characterisation of its active constituents and conducting full scale toxicological work, such as reproductive toxicity and carcinogenicity assessment. It would be a wise step to have early contact with the FDA (e.g., pre-IND meeting) to bring the preclinical development to a point that meets the expectations of the agency and thereby lead smoothly into clinical development. Regarding regulatory considerations, the development of PB would follow the established ICH M3(R2) guidelines for nonclinical safety testing. For botanical or flavonoid agents with documented human use, certain genotoxicity waivers might apply under the FDA’s Botanical Drug Development guidance, provided adequate historical safety data exist. Nevertheless, any formal IND application would require standardized Good Manufacturing Practice (GMP) production, rigorous quality control (e.g., purity assays, contaminant testing), and a battery of genotoxicity assays (ames test, in vitro micronucleus or chromosomal aberration tests) consistent with ICH S2(R1)[96,97].

CHALLENGES AND FUTURE DIRECTIONS

Mechanistic studies of PB’s anticancer effects have elucidated several pathways, such as PI3K/AKT downregulation, endoplasmic reticulum (ER) stress – mediated apoptosis, and autophagy inhibition; however, important gaps remain. Most in vitro investigations focus on individual cell lines and often employ supraphysiological concentrations, which limits their translational relevance. For example, while PB induces ER stress in melanoma cells via mTOR activation, it is unclear whether similar mechanisms apply across diverse tumor microenvironments[91,98-100]. Additionally, few studies have validated direct molecular targets in vivo; pinpointing whether PB binds specific kinases, transcription factors, or membrane receptors remains largely speculative.

To ensure in vivo target identification and confirmation, sophisticated proteomic methods like the Cellular Thermal Shift Assay (CETSA) and Drug Affinity Responsive Target Stability (DARTS) must be used in tumor bearing animal models. CETSA measures direct drug-protein binding in tissue context by measuring thermal stabilization of the putative target[101], whereas DARTS measures changes in protease susceptibility to identify binding-induced conformational change[102]. Such label-free techniques would enable the molecular interactome of PB to be determined under physiologically relevant circumstances and would conceivably assist in prioritizing targets like kinases, redox-sensitive enzymes, or transcriptional regulators. The spectrum of downstream signaling pathways controlled by PB in vivo could be further narrowed upon inclusion of mass spectrometry-based proteomics. Comprehensive analyses such as proteomic profiling in tumor-bearing models and biophysical binding assays are needed to move beyond correlative biomarker changes toward definitive target validation.

Translating PB into clinical oncology faces several hurdles. Chief among these is poor oral bioavailability, driven by low solubility and rapid first-pass metabolism. Although nanoparticulate and liposomal formulations have demonstrated marked improvements in PKs, none have yet progressed to human trials[99,103]. Toxicology data are also sparse: While acute and sub-acute studies in rodents show no major safety signals at doses up to 500 mg/kg, long-term carcinogenicity and reproductive toxicity evaluations are lacking. Although the short-term toxicity results are encouraging, more gathering of extensive tests on safety over time would be needed to give regulatory progress. Among them should be repeat 90-day toxicity studies to determine cumulative organ-specific toxicity effects and two-generation reproductive toxicity studies to determine possible effects on fertility and on the development of offspring. These are necessary to satisfy preclinical objectives of IND applications and de-rick future clinical trials. Moreover, intellectual property for PB formulations can be complex, given its natural-occurrence status, potentially discouraging industry investment. Finally, although regulatory pathways for botanical flavonoids are somewhat streamlined, they still require rigorous GMP-grade production and standardized analytical methods to ensure batch-to-batch consistency[97,104].

Despite these challenges, opportunities for structural optimization and early-phase clinical development are promising. Medicinal chemistry efforts could focus on synthesizing PB analogs, such as esterified or glycosylated derivatives, to improve solubility, enhance metabolic stability, and achieve tumor-targeting through, for example, peptide conjugation[105,106]. However, to date, no peer-reviewed prodrug or bioconjugate has been reported. Computational docking studies (e.g., predicting binding to PI3K or ER stress mediators) could guide rational modifications. On the clinical front, existing phase I data from ischemic stroke trials demonstrate that intravenous PB is well-tolerated at doses of up to 150 mg without serious adverse events, providing a safety benchmark for oncology studies[92,107]. A first-in-human oncology trial would likely employ a standard 3+3 dose-escalation design, focusing on PKs, dose-limiting toxicities, and exploratory biomarkers such as circulating caspase-3 levels or components of the PI3K pathway to establish a recommended phase II dose (RP2D). Ultimately, bridging mechanistic insights with optimized formulations and robust safety data will be crucial for advancing PB from the bench to the bedside in cancer therapy.

The clinical translation needs to be fast-tracked through a progressive, multi-staged process that involves prioritizing the most vital preclinical milestones. To begin with, PD and PK head-to-head studies in orthotopic and patient-derived xenograft tumor models are required to compare optimized PB formulation to existing chemotherapeutics. At the same time, in vivo efficacy and target engagement should be confirmed with labeled compounds or pathway-specific markers (in vivo IND, cleaved caspase-3; phosphorylated AKT). This should be followed by Good Laboratory Practice conducted IND enabling safety studies carried out in at least three species: (1) Repeated dose toxicity studies; (2) Genotoxicity testing; and (3) Reproductive toxicity studies. These toxicology studies will assist to determine the maximal tolerated dose and no-observed-adverse-effect level. It will be necessary to develop GMP-grade synthesis, validated bioanalytical assays, and formulation stability to provide regulatory submission. A starting point of a first-in-human oncology trial based on non-oncology human data on safety already available could be built through a 3+3 dose escalation schema relying on PK and PD biomarkers, to define a recommended RP2D. This systematic pipestem would de-risk the translational process and provide the information required to rational clinical advance of PB as an anticancer prospect.

CONCLUSION

PB has emerged as a promising natural flavanone with multifaceted anticancer properties, as demonstrated across a broad range of preclinical studies. Mechanistically, it exerts antitumor effects by modulating key signaling pathways, such as the PI3K/AKT, MAPK, and mTOR pathways, while promoting apoptosis, inducing cell-cycle arrest, and suppressing angiogenesis and metastatic behaviors. In vitro investigations across diverse cancer cell lines (breast, lung, colon, prostate, and hematological malignancies) consistently show dose-dependent cytotoxicity, often accompanied by increased ROS and caspase activation. In vivo, xenograft and syngeneic tumor models further corroborate PB’s ability to inhibit tumor growth, reduce metastatic lesions, and improve survival with favorable PD biomarkers (e.g., decreased phosphorylated AKT and VEGF levels).

Formulation strategies, primarily using polymeric micelles (MPEG-PDLLA and TPGS-modified) and liposomal carriers, have effectively overcome PB’s inherent solubility and rapid clearance limitations. These platforms achieve 4-fold to 6-fold enhancements in oral bioavailability, extended half-lives, and reduced clearance in rodent models, thereby providing a translational framework for potential human studies. Toxicological evaluations in rodents report no acute or sub-acute toxicity at doses up to 500 mg/kg, and genotoxicity assays confirm the absence of mutagenic effects. Early-phase human data, notably from ischemic stroke trials, demonstrate good tolerability of intravenous PB at doses of up to 150 mg, laying the groundwork for oncology-focused investigations.

Despite these promising findings, several barriers remain. A definitive molecular target has yet to be validated in vivo, and long-term safety (e.g., chronic carcinogenicity, reproductive toxicity) is underexplored. No PB prodrugs or tumor-targeted conjugates have been reported, representing untapped opportunities for medicinal chemistry. Moreover, regulatory pathways for botanical flavonoids demand rigorous GMP manufacturing and standardized analytical controls, which are essential to ensure batch consistency and purity.

In the future, research should prioritize (1) Deep proteomic and biophysical studies to identify direct binding partners; (2) Expanded toxicology panels to support IND applications; (3) Early-phase dose-escalation trials in oncology patients to define safety, PKs, and PD biomarkers; and (4) Rational design of hydrophilic derivatives or ligand-targeted conjugates to further enhance tumor selectivity. Collectively, the robust preclinical evidence, coupled with favorable safety signals and innovative delivery platforms, positions PB as a viable candidate for clinical translation in cancer therapy.

References
1.  Sinh Truong Nguyen; Nghia Minh Do;  Duyen Ho-Khanh Tran;  Ngoc Bao To;  Phuc Hong Vo;  Mai Thi Thanh Nguyen;  Nhan Trung Nguyen;  Hai Xuan Nguyen;  Kiet Dinh Truong;  Phuc Van Pham. Isopanduratin A Isolated from Boesenbergia pandurata Reduces HepG2 Hepatocellular Carcinoma Cell Proliferation in Both Monolayer and Three-Dimensional Cultures. Adv Exp Med Biol. 2020;1292:131-143.  [RCA]  [PubMed]  [DOI]  [Full Text]  [Cited by in Crossref: 2]  [Cited by in RCA: 3]  [Article Influence: 0.6]  [Reference Citation Analysis (0)]
2.  Aiello F, Armentano B, Polerà N, Carullo G, Loizzo MR, Bonesi M, Cappello MS, Capobianco L, Tundis R. From Vegetable Waste to New Agents for Potential Health Applications: Antioxidant Properties and Effects of Extracts, Fractions and Pinocembrin from Glycyrrhiza glabra L. Aerial Parts on Viability of Five Human Cancer Cell Lines. J Agric Food Chem. 2017;65:7944-7954.  [RCA]  [PubMed]  [DOI]  [Full Text]  [Cited by in Crossref: 24]  [Cited by in RCA: 28]  [Article Influence: 3.1]  [Reference Citation Analysis (0)]
3.  Ajmala Shireen P, Abdul Mujeeb VM, Muraleedharan K. Theoretical insights on flavanones as antioxidants and UV filters: A TDDFT and NLMO study. J Photochem Photobiol B. 2017;170:286-294.  [RCA]  [PubMed]  [DOI]  [Full Text]  [Cited by in Crossref: 17]  [Cited by in RCA: 21]  [Article Influence: 2.3]  [Reference Citation Analysis (0)]
4.  Alday E, Valencia D, Carreño AL, Picerno P, Piccinelli AL, Rastrelli L, Robles-Zepeda R, Hernandez J, Velazquez C. Apoptotic induction by pinobanksin and some of its ester derivatives from Sonoran propolis in a B-cell lymphoma cell line. Chem Biol Interact. 2015;242:35-44.  [RCA]  [PubMed]  [DOI]  [Full Text]  [Cited by in Crossref: 37]  [Cited by in RCA: 49]  [Article Influence: 4.5]  [Reference Citation Analysis (0)]
5.  Alzahrani AM, Rajendran P. Pinocembrin attenuates benzo(a)pyrene-induced CYP1A1 expression through multiple pathways: An in vitro and in vivo study. J Biochem Mol Toxicol. 2021;35:e22695.  [RCA]  [PubMed]  [DOI]  [Full Text]  [Cited by in Crossref: 4]  [Cited by in RCA: 12]  [Article Influence: 2.4]  [Reference Citation Analysis (0)]
6.  Aru B, Güzelmeric E, Akgül A, Demirel GY, Kırmızıbekmez H. Antiproliferative Activity of Chemically Characterized Propolis from Turkey and Its Mechanisms of Action. Chem Biodivers. 2019;16:e1900189.  [RCA]  [PubMed]  [DOI]  [Full Text]  [Cited by in Crossref: 18]  [Cited by in RCA: 19]  [Article Influence: 2.7]  [Reference Citation Analysis (0)]
7.  Aryappalli P, Shabbiri K, Masad RJ, Al-Marri RH, Haneefa SM, Mohamed YA, Arafat K, Attoub S, Cabral-Marques O, Ramadi KB, Fernandez-Cabezudo MJ, Al-Ramadi BK. Inhibition of Tyrosine-Phosphorylated STAT3 in Human Breast and Lung Cancer Cells by Manuka Honey is Mediated by Selective Antagonism of the IL-6 Receptor. Int J Mol Sci. 2019;20:4340.  [RCA]  [PubMed]  [DOI]  [Full Text]  [Full Text (PDF)]  [Cited by in Crossref: 26]  [Cited by in RCA: 34]  [Article Influence: 4.9]  [Reference Citation Analysis (0)]
8.  Banjerdpongchai R, Khawon P, Pompimon W. Phytochemicals from Goniothalamus griffithii Induce Human Cancer Cell Apoptosis. Asian Pac J Cancer Prev. 2016;17:3281-3287.  [PubMed]  [DOI]
9.  Barretto AJB, Orda MA, Tsai PW, Tayo LL. Analysis of Modular Hub Genes and Therapeutic Targets across Stages of Non-Small Cell Lung Cancer Transcriptome. Genes (Basel). 2024;15:1248.  [RCA]  [PubMed]  [DOI]  [Full Text]  [Cited by in RCA: 7]  [Reference Citation Analysis (0)]
10.  Barrientos L, Herrera CL, Montenegro G, Ortega X, Veloz J, Alvear M, Cuevas A, Saavedra N, Salazar LA. Chemical and botanical characterization of Chilean propolis and biological activity on cariogenic bacteria Streptococcus mutans and Streptococcus sobrinus. Braz J Microbiol. 2013;44:577-585.  [RCA]  [PubMed]  [DOI]  [Full Text]  [Full Text (PDF)]  [Cited by in Crossref: 48]  [Cited by in RCA: 42]  [Article Influence: 3.2]  [Reference Citation Analysis (0)]
11.  Berenda J, Smöch C, Stadlbauer C, Mittermair E, Taxauer K, Huttary N, Krupitza G, Krenn L. Flavonoids Distinctly Stabilize Lymph Endothelial- or Blood Endothelial Disintegration Induced by Colon Cancer Spheroids SW620. Molecules. 2020;25:2066.  [RCA]  [PubMed]  [DOI]  [Full Text]  [Full Text (PDF)]  [Cited by in Crossref: 3]  [Cited by in RCA: 8]  [Article Influence: 1.3]  [Reference Citation Analysis (0)]
12.  Bharadwaj KK, Ahmad I, Pati S, Ghosh A, Rabha B, Sarkar T, Bhattacharjya D, Patel H, Baishya D. Screening of Phytocompounds for Identification of Prospective Histone Deacetylase 1 (HDAC1) Inhibitor: An In Silico Molecular Docking, Molecular Dynamics Simulation, and MM-GBSA Approach. Appl Biochem Biotechnol. 2024;196:3747-3764.  [RCA]  [PubMed]  [DOI]  [Full Text]  [Cited by in Crossref: 1]  [Cited by in RCA: 8]  [Article Influence: 4.0]  [Reference Citation Analysis (1)]
13.  Shen X, Liu Y, Luo X, Yang Z. Advances in Biosynthesis, Pharmacology, and Pharmacokinetics of Pinocembrin, a Promising Natural Small-Molecule Drug. Molecules. 2019;24:2323.  [RCA]  [PubMed]  [DOI]  [Full Text]  [Full Text (PDF)]  [Cited by in Crossref: 41]  [Cited by in RCA: 77]  [Article Influence: 11.0]  [Reference Citation Analysis (0)]
14.  Bloor SJ, Mitchell KA. Metabolic products of European-type propolis. Synthesis and analysis of glucuronides and sulfates. J Ethnopharmacol. 2021;274:114035.  [RCA]  [PubMed]  [DOI]  [Full Text]  [Cited by in Crossref: 3]  [Cited by in RCA: 7]  [Article Influence: 1.4]  [Reference Citation Analysis (0)]
15.  Cappello AR, Aiello F, Polerà N, Armentano B, Casaburi I, Di Gioia ML, Loizzo MR, Dolce V, Pezzi V, Tundis R. In vitro anti-proliferative and anti-bacterial properties of new C7 benzoate derivatives of pinocembrin. Nat Prod Res. 2021;35:1783-1791.  [RCA]  [PubMed]  [DOI]  [Full Text]  [Cited by in Crossref: 3]  [Cited by in RCA: 7]  [Article Influence: 1.0]  [Reference Citation Analysis (0)]
16.  Carullo G, Mazzotta S, Koch A, Hartmann KM, Friedrich O, Gilbert DF, Vega-Holm M, Schneider-Stock R, Aiello F. New Oleoyl Hybrids of Natural Antioxidants: Synthesis and In Vitro Evaluation as Inducers of Apoptosis in Colorectal Cancer Cells. Antioxidants (Basel). 2020;9:1077.  [RCA]  [PubMed]  [DOI]  [Full Text]  [Full Text (PDF)]  [Cited by in Crossref: 10]  [Cited by in RCA: 19]  [Article Influence: 3.2]  [Reference Citation Analysis (0)]
17.  Catchpole O, Mitchell K, Bloor S, Davis P, Suddes A. Antiproliferative activity of New Zealand propolis and phenolic compounds vs human colorectal adenocarcinoma cells. Fitoterapia. 2015;106:167-174.  [RCA]  [PubMed]  [DOI]  [Full Text]  [Cited by in Crossref: 52]  [Cited by in RCA: 55]  [Article Influence: 5.0]  [Reference Citation Analysis (0)]
18.  Cianciosi D, Armas Diaz Y, Alvarez-Suarez JM, Chen X, Zhang D, Martínez López NM, Briones Urbano M, Quiles JL, Amici A, Battino M, Giampieri F. Can the phenolic compounds of Manuka honey chemosensitize colon cancer stem cells? A deep insight into the effect on chemoresistance and self-renewal. Food Chem. 2023;427:136684.  [RCA]  [PubMed]  [DOI]  [Full Text]  [Cited by in RCA: 13]  [Reference Citation Analysis (0)]
19.  Czyżewska U, Siemionow K, Zaręba I, Miltyk W. Proapoptotic Activity of Propolis and Their Components on Human Tongue Squamous Cell Carcinoma Cell Line (CAL-27). PLoS One. 2016;11:e0157091.  [RCA]  [PubMed]  [DOI]  [Full Text]  [Full Text (PDF)]  [Cited by in Crossref: 23]  [Cited by in RCA: 26]  [Article Influence: 2.6]  [Reference Citation Analysis (0)]
20.  Darwish SF, Abdel Mageed SS, Mahmoud AMA, El-Demerdash AA, Doghish AS, Azzam RK, Mohamed RE, Farouk EA, Noshy M, Shakweer MM, Elazazy O. Pinocembrin protects against cisplatin-induced liver injury via modulation of oxidative stress, TAK-1 inflammation, and apoptosis. Toxicol Appl Pharmacol. 2025;502:117433.  [RCA]  [PubMed]  [DOI]  [Full Text]  [Cited by in Crossref: 2]  [Cited by in RCA: 4]  [Article Influence: 4.0]  [Reference Citation Analysis (0)]
21.  de Oliveira MR, Peres A, Ferreira GC. Pinocembrin Attenuates Mitochondrial Dysfunction in Human Neuroblastoma SH-SY5Y Cells Exposed to Methylglyoxal: Role for the Erk1/2-Nrf2 Signaling Pathway. Neurochem Res. 2017;42:1057-1072.  [RCA]  [PubMed]  [DOI]  [Full Text]  [Cited by in Crossref: 16]  [Cited by in RCA: 14]  [Article Influence: 1.4]  [Reference Citation Analysis (0)]
22.  de Oliveira MR, Peres A, Ferreira GC, Schuck PF, Gama CS, Bosco SMD. Carnosic Acid Protects Mitochondria of Human Neuroblastoma SH-SY5Y Cells Exposed to Paraquat Through Activation of the Nrf2/HO-1Axis. Mol Neurobiol. 2017;54:5961-5972.  [RCA]  [PubMed]  [DOI]  [Full Text]  [Cited by in Crossref: 27]  [Cited by in RCA: 32]  [Article Influence: 3.2]  [Reference Citation Analysis (0)]
23.  Derseh HB, Goodger JQD, Scheerlinck JY, Samuel CS, Woodrow IE, Palombo EA, Cumming A, Snibson K. The efficacy and safety of pinocembrin in a sheep model of bleomycin-induced pulmonary fibrosis. PLoS One. 2021;16:e0260719.  [RCA]  [PubMed]  [DOI]  [Full Text]  [Full Text (PDF)]  [Cited by in RCA: 7]  [Reference Citation Analysis (0)]
24.  Dunstan MS, Robinson CJ, Jervis AJ, Yan C, Carbonell P, Hollywood KA, Currin A, Swainston N, Feuvre RL, Micklefield J, Faulon JL, Breitling R, Turner N, Takano E, Scrutton NS. Engineering Escherichia coli towards de novo production of gatekeeper (2S)-flavanones: naringenin, pinocembrin, eriodictyol and homoeriodictyol. Synth Biol (Oxf). 2020;5:ysaa012.  [RCA]  [PubMed]  [DOI]  [Full Text]  [Full Text (PDF)]  [Cited by in Crossref: 37]  [Cited by in RCA: 52]  [Article Influence: 8.7]  [Reference Citation Analysis (0)]
25.  Eguchi H, Matsunaga T, Endo S, Ichihara K, Ikari A. Kaempferide Enhances Chemosensitivity of Human Lung Adenocarcinoma A549 Cells Mediated by the Decrease in Phosphorylation of Akt and Claudin-2 Expression. Nutrients. 2020;12:1190.  [RCA]  [PubMed]  [DOI]  [Full Text]  [Full Text (PDF)]  [Cited by in Crossref: 8]  [Cited by in RCA: 24]  [Article Influence: 4.0]  [Reference Citation Analysis (0)]
26.  Fahey JW, Stephenson KK. Pinostrobin from honey and Thai ginger (Boesenbergia pandurata): a potent flavonoid inducer of mammalian phase 2 chemoprotective and antioxidant enzymes. J Agric Food Chem. 2002;50:7472-7476.  [RCA]  [PubMed]  [DOI]  [Full Text]  [Cited by in Crossref: 72]  [Cited by in RCA: 68]  [Article Influence: 2.8]  [Reference Citation Analysis (0)]
27.  Feng YY, Yan JY, Xia X, Liang JQ, Li F, Xie TF, Luo WS, Feng JF. [Effect and mechanism of total flavonoids of Lichi Semen on CCl_4-induced liver fibrosis in rats, and prediction of Q-marker]. Zhongguo Zhong Yao Za Zhi. 2020;45:5722-5731.  [RCA]  [PubMed]  [DOI]  [Full Text]  [Cited by in RCA: 3]  [Reference Citation Analysis (0)]
28.  Frattaruolo L, Lauria G, Aiello F, Carullo G, Curcio R, Fiorillo M, Campiani G, Dolce V, Cappello AR. Exploiting Glycyrrhiza glabra L. (Licorice) Flavanones: Licoflavanone's Impact on Breast Cancer Cell Bioenergetics. Int J Mol Sci. 2024;25:7907.  [RCA]  [PubMed]  [DOI]  [Full Text]  [Cited by in RCA: 8]  [Reference Citation Analysis (0)]
29.  Lee JA, Jung BG, Kim TH, Kim YM, Park MH, Hyun PM, Jeon JW, Park JK, Cho CW, Suh GH, Lee BJ. Poly D,L-lactide-co-glycolide (PLGA) nanoparticle-encapsulated honeybee (Apis melifera) venom promotes clearance of Salmonella enterica serovar Typhimurium infection in experimentally challenged pigs through the up-regulation of T helper type 1 specific immune responses. Vet Immunol Immunopathol. 2014;161:193-204.  [RCA]  [PubMed]  [DOI]  [Full Text]  [Cited by in Crossref: 22]  [Cited by in RCA: 27]  [Article Influence: 2.3]  [Reference Citation Analysis (0)]
30.  Guzmán-Oyarzo D, Hernández-Montelongo J, Rosas C, Leal P, Weber H, Alvear M, Salazar LA. Controlled Release of Caffeic Acid and Pinocembrin by Use of nPSi-βCD Composites Improves Their Antiangiogenic Activity. Pharmaceutics. 2022;14:484.  [RCA]  [PubMed]  [DOI]  [Full Text]  [Full Text (PDF)]  [Cited by in RCA: 8]  [Reference Citation Analysis (0)]
31.  Ji X, Ge L, Ma R, Zhang X, Li J, Song D, Pei L, Sun F, Zhao Q. Screening potential ligands of endothelin receptor A from Choerospondias axillaris and evaluation of their drug-like properties by affinity chromatographic methods. J Pharm Biomed Anal. 2023;226:115240.  [RCA]  [PubMed]  [DOI]  [Full Text]  [Cited by in RCA: 6]  [Reference Citation Analysis (0)]
32.  Kumazawa S, Shimoi K, Hayashi K, Ishii T, Hamasaka T, Nakayama T. Identification of metabolites in plasma and urine of Uruguayan propolis-treated rats. J Agric Food Chem. 2004;52:3083-3088.  [RCA]  [PubMed]  [DOI]  [Full Text]  [Cited by in Crossref: 20]  [Cited by in RCA: 20]  [Article Influence: 0.9]  [Reference Citation Analysis (0)]
33.  Punvittayagul C, Pompimon W, Wanibuchi H, Fukushima S, Wongpoomchai R. Effects of pinocembrin on the initiation and promotion stages of rat hepatocarcinogenesis. Asian Pac J Cancer Prev. 2012;13:2257-2261.  [RCA]  [PubMed]  [DOI]  [Full Text]  [Cited by in Crossref: 10]  [Cited by in RCA: 12]  [Article Influence: 0.9]  [Reference Citation Analysis (0)]
34.  Sayre CL, Alrushaid S, Martinez SE, Anderson HD, Davies NM. Pre-Clinical Pharmacokinetic and Pharmacodynamic Characterization of Selected Chiral Flavonoids: Pinocembrin and Pinostrobin. J Pharm Pharm Sci. 2015;18:368-395.  [RCA]  [PubMed]  [DOI]  [Full Text]  [Cited by in Crossref: 23]  [Cited by in RCA: 33]  [Article Influence: 3.0]  [Reference Citation Analysis (0)]
35.  Shi LL, Qiang GF, Gao M, Zhang HA, Chen BN, Yu XY, Xuan ZH, Wang QY, Du GH. [Effect of pinocembrin on brain mitochondrial respiratory function]. Yao Xue Xue Bao. 2011;46:642-649.  [PubMed]  [DOI]
36.  Cao X, He Q, Adu-Frimpong M, Shen X, Rong W, Li X, Zhang J, Xia X, Shi F, Ji H, Toreniyazov E, Wang Q, Yu J, Xu X. Preparation of Pinocembrin-Loaded F127/MPEG-PDLLA Polymer Micelles and Anti-Osteoporotic Activity. AAPS PharmSciTech. 2022;23:276.  [RCA]  [PubMed]  [DOI]  [Full Text]  [Cited by in RCA: 4]  [Reference Citation Analysis (0)]
37.  Tonum K, Chabang N, Fongsupa S, Chantawarin S, Jiarpinitnun C, Tuchinda P, Soodvilai S. Pinostrobin inhibits renal CFTR-mediated Cl(-) secretion and retards cyst growth in cell-derived cyst and polycystic kidney disease rats. J Pharmacol Sci. 2022;148:369-376.  [RCA]  [PubMed]  [DOI]  [Full Text]  [Cited by in RCA: 7]  [Reference Citation Analysis (0)]
38.  Zhou LT, Wang KJ, Li L, Li H, Geng M. Pinocembrin inhibits lipopolysaccharide-induced inflammatory mediators production in BV2 microglial cells through suppression of PI3K/Akt/NF-κB pathway. Eur J Pharmacol. 2015;761:211-216.  [RCA]  [PubMed]  [DOI]  [Full Text]  [Cited by in Crossref: 63]  [Cited by in RCA: 77]  [Article Influence: 7.0]  [Reference Citation Analysis (0)]
39.  Chen X, Wan W, Guo Y, Ye T, Fo Y, Sun Y, Qu C, Yang B, Zhang C. Pinocembrin ameliorates post-infarct heart failure through activation of Nrf2/HO-1 signaling pathway. Mol Med. 2021;27:100.  [RCA]  [PubMed]  [DOI]  [Full Text]  [Full Text (PDF)]  [Cited by in Crossref: 5]  [Cited by in RCA: 37]  [Article Influence: 7.4]  [Reference Citation Analysis (0)]
40.  Kumar MA, Nair M, Hema PS, Mohan J, Santhoshkumar TR. Pinocembrin triggers Bax-dependent mitochondrial apoptosis in colon cancer cells. Mol Carcinog. 2007;46:231-241.  [RCA]  [PubMed]  [DOI]  [Full Text]  [Cited by in Crossref: 62]  [Cited by in RCA: 71]  [Article Influence: 3.7]  [Reference Citation Analysis (0)]
41.  Gong H. Pinocembrin suppresses proliferation and enhances apoptosis in lung cancer cells in vitro by restraining autophagy. Bioengineered. 2021;12:6035-6044.  [RCA]  [PubMed]  [DOI]  [Full Text]  [Full Text (PDF)]  [Cited by in Crossref: 2]  [Cited by in RCA: 24]  [Article Influence: 4.8]  [Reference Citation Analysis (0)]
42.  Elbatreek MH, Mahdi I, Ouchari W, Mahmoud MF, Sobeh M. Current advances on the therapeutic potential of pinocembrin: An updated review. Biomed Pharmacother. 2023;157:114032.  [RCA]  [PubMed]  [DOI]  [Full Text]  [Cited by in RCA: 61]  [Reference Citation Analysis (0)]
43.  Zhu X, Li R, Wang C, Zhou S, Fan Y, Ma S, Gao D, Gai N, Yang J. Pinocembrin Inhibits the Proliferation and Metastasis of Breast Cancer via Suppression of the PI3K/AKT Signaling Pathway. Front Oncol. 2021;11:661184.  [RCA]  [PubMed]  [DOI]  [Full Text]  [Full Text (PDF)]  [Cited by in Crossref: 3]  [Cited by in RCA: 20]  [Article Influence: 4.0]  [Reference Citation Analysis (0)]
44.  Widyananda MH, Wicaksono ST, Rahmawati K, Puspitarini S, Ulfa SM, Jatmiko YD, Masruri M, Widodo N. A Potential Anticancer Mechanism of Finger Root (Boesenbergia rotunda) Extracts against a Breast Cancer Cell Line. Scientifica (Cairo). 2022;2022:9130252.  [RCA]  [PubMed]  [DOI]  [Full Text]  [Full Text (PDF)]  [Cited by in Crossref: 8]  [Cited by in RCA: 8]  [Article Influence: 2.0]  [Reference Citation Analysis (0)]
45.  Sordon S, Popłoński J, Milczarek M, Stachowicz M, Tronina T, Kucharska AZ, Wietrzyk J, Huszcza E. Structure-Antioxidant-Antiproliferative Activity Relationships of Natural C7 and C7-C8 Hydroxylated Flavones and Flavanones. Antioxidants (Basel). 2019;8:210.  [RCA]  [PubMed]  [DOI]  [Full Text]  [Full Text (PDF)]  [Cited by in Crossref: 23]  [Cited by in RCA: 32]  [Article Influence: 4.6]  [Reference Citation Analysis (0)]
46.  Sangkapat S, Boonnop R, Pimta J, Chabang N, Nutho B, Jutabha P, Soodvilai S. Potential Interaction of Pinocembrin with Drug Transporters and Hepatic Drug-Metabolizing Enzymes. Pharmaceuticals (Basel). 2025;18:42.  [RCA]  [PubMed]  [DOI]  [Full Text]  [Cited by in RCA: 2]  [Reference Citation Analysis (0)]
47.  Sein KL, Lertnitikul N, Suttisri R, Jianmongkol S. Anticancer and chemosensitizing activities of stilbenoids from three orchid species. Naunyn Schmiedebergs Arch Pharmacol. 2023;396:749-758.  [RCA]  [PubMed]  [DOI]  [Full Text]  [Cited by in RCA: 9]  [Reference Citation Analysis (0)]
48.  Tao J, Shen C, Sun Y, Chen W, Yan G. Neuroprotective effects of pinocembrin on ischemia/reperfusion-induced brain injury by inhibiting autophagy. Biomed Pharmacother. 2018;106:1003-1010.  [RCA]  [PubMed]  [DOI]  [Full Text]  [Cited by in Crossref: 41]  [Cited by in RCA: 67]  [Article Influence: 8.4]  [Reference Citation Analysis (0)]
49.  Hsu CL, Yu YS, Yen GC. Anticancer effects of Alpinia pricei Hayata roots. J Agric Food Chem. 2010;58:2201-2208.  [RCA]  [PubMed]  [DOI]  [Full Text]  [Cited by in Crossref: 26]  [Cited by in RCA: 23]  [Article Influence: 1.4]  [Reference Citation Analysis (0)]
50.  Shen X, Rong W, Adu-Frimpong M, He Q, Li X, Shi F, Ji H, Toreniyazov E, Xia X, Zhang J, Wang Q, Yu J, Xu X. Preparation, in vitro and in vivo evaluation of pinocembrin-loaded TPGS modified liposomes with enhanced bioavailability and antihyperglycemic activity. Drug Dev Ind Pharm. 2022;48:623-634.  [RCA]  [PubMed]  [DOI]  [Full Text]  [Cited by in Crossref: 1]  [Cited by in RCA: 5]  [Article Influence: 1.3]  [Reference Citation Analysis (0)]
51.  Gao J, Lin S, Gao Y, Zou X, Zhu J, Chen M, Wan H, Zhu H. Pinocembrin inhibits the proliferation and migration and promotes the apoptosis of ovarian cancer cells through down-regulating the mRNA levels of N-cadherin and GABAB receptor. Biomed Pharmacother. 2019;120:109505.  [RCA]  [PubMed]  [DOI]  [Full Text]  [Cited by in Crossref: 16]  [Cited by in RCA: 34]  [Article Influence: 4.9]  [Reference Citation Analysis (0)]
52.  Wang G, Cheng J, Yao M, Li J, Chen T, Zhang J, Du W, Chen Y. Network pharmacology-based strategy to reveal the mechanism of pinocembrin against ovarian cancer. Naunyn Schmiedebergs Arch Pharmacol. 2025;398:3803-3815.  [RCA]  [PubMed]  [DOI]  [Full Text]  [Cited by in RCA: 1]  [Reference Citation Analysis (0)]
53.  Chen KS, Shi MD, Chien CS, Shih YW. Pinocembrin suppresses TGF-β1-induced epithelial-mesenchymal transition and metastasis of human Y-79 retinoblastoma cells through inactivating αvβ3 integrin/FAK/p38α signaling pathway. Cell Biosci. 2014;4:41.  [RCA]  [PubMed]  [DOI]  [Full Text]  [Full Text (PDF)]  [Cited by in Crossref: 15]  [Cited by in RCA: 22]  [Article Influence: 1.8]  [Reference Citation Analysis (0)]
54.  Saengboonmee C, Thithuan K, Mahalapbutr P, Taebprakhon C, Aman A, Rungrotmongkol T, Kamkaew A, Schevenels FT, Chompupong T, Wongkham S, Lekphrom R. Anti-proliferative Effects of Pinocembrin Isolated From Anomianthus dulcis on Hepatocellular Carcinoma Cells. Integr Cancer Ther. 2024;23:15347354241237519.  [RCA]  [PubMed]  [DOI]  [Full Text]  [Full Text (PDF)]  [Cited by in Crossref: 1]  [Cited by in RCA: 2]  [Article Influence: 1.0]  [Reference Citation Analysis (0)]
55.  Lu Q, Jiang JG. Response to comment on isolation and identification of compounds from Penthorum chinense Pursh with antioxidant and antihepatocarcinoma properties: bioactivities of pinocembrine group and its derivatives are noteworthy. J Agric Food Chem. 2013;61:1417.  [RCA]  [PubMed]  [DOI]  [Full Text]  [Cited by in Crossref: 2]  [Cited by in RCA: 2]  [Article Influence: 0.2]  [Reference Citation Analysis (0)]
56.  Zhou F, Wang A, Li D, Wang Y, Lin L. Pinocembrin from Penthorum chinense Pursh suppresses hepatic stellate cells activation through a unified SIRT3-TGF-β-Smad signaling pathway. Toxicol Appl Pharmacol. 2018;341:38-50.  [RCA]  [PubMed]  [DOI]  [Full Text]  [Cited by in Crossref: 21]  [Cited by in RCA: 38]  [Article Influence: 4.8]  [Reference Citation Analysis (0)]
57.  Vendruscolo I, Berton GH, Biffi MT, Bressiani PA, Oliveira AKG, Berti AP, Concato-Lopes VM, Pavanelli WR, Simon AP, Oldoni TLC, Santos FAR, Dalmolin IAL, Canteri MHG, Düsman E. Antiproliferative effect of hydroalcoholic brown propolis extract on tumor and non-tumor cells. Braz J Biol. 2025;84:e287297.  [RCA]  [PubMed]  [DOI]  [Full Text]  [Cited by in RCA: 1]  [Reference Citation Analysis (0)]
58.  Kapoor S. Comment on isolation and identification of compounds from Penthorum chinense Pursh with antioxidant and antihepatocarcinoma properties: pinocembrin and its rapidly emerging neuroprotective effects. J Agric Food Chem. 2013;61:1416.  [RCA]  [PubMed]  [DOI]  [Full Text]  [Cited by in Crossref: 8]  [Cited by in RCA: 10]  [Article Influence: 0.8]  [Reference Citation Analysis (0)]
59.  de Oliveira MR, da Costa Ferreira G, Brasil FB, Peres A. Pinocembrin Suppresses H(2)O(2)-Induced Mitochondrial Dysfunction by a Mechanism Dependent on the Nrf2/HO-1 Axis in SH-SY5Y Cells. Mol Neurobiol. 2018;55:989-1003.  [RCA]  [PubMed]  [DOI]  [Full Text]  [Cited by in Crossref: 32]  [Cited by in RCA: 34]  [Article Influence: 3.8]  [Reference Citation Analysis (0)]
60.  Žižić JB, Vuković NL, Jadranin MB, Anđelković BD, Tešević VV, Kacaniova MM, Sukdolak SB, Marković SD. Chemical composition, cytotoxic and antioxidative activities of ethanolic extracts of propolis on HCT-116 cell line. J Sci Food Agric. 2013;93:3001-3009.  [RCA]  [PubMed]  [DOI]  [Full Text]  [Cited by in Crossref: 24]  [Cited by in RCA: 27]  [Article Influence: 2.1]  [Reference Citation Analysis (0)]
61.  Zhang W, Wang Y, Yu H, Jin Z, Yuan Y, Liu L, Zhou J. Exploring the mechanism of Erteng-Sanjie capsule in treating gastric and colorectal cancers via network pharmacology and in-vivo validation. J Ethnopharmacol. 2024;327:117945.  [RCA]  [PubMed]  [DOI]  [Full Text]  [Cited by in RCA: 8]  [Reference Citation Analysis (0)]
62.  Rasul A, Millimouno FM, Ali Eltayb W, Ali M, Li J, Li X. Pinocembrin: a novel natural compound with versatile pharmacological and biological activities. Biomed Res Int. 2013;2013:379850.  [RCA]  [PubMed]  [DOI]  [Full Text]  [Full Text (PDF)]  [Cited by in Crossref: 174]  [Cited by in RCA: 234]  [Article Influence: 18.0]  [Reference Citation Analysis (0)]
63.  Kumar N, Biswas S, Hosur Shrungeswara A, Basu Mallik S, Hipolith Viji M, Elizabeth Mathew J, Mathew J, Nandakumar K, Lobo R. Pinocembrin enriched fraction of Elytranthe parasitica (L.) Danser induces apoptosis in HCT 116 colorectal cancer cells. J Infect Chemother. 2017;23:354-359.  [RCA]  [PubMed]  [DOI]  [Full Text]  [Cited by in Crossref: 10]  [Cited by in RCA: 15]  [Article Influence: 1.7]  [Reference Citation Analysis (0)]
64.  Jiang L, Yang Y, Feng H, Zhou Q, Liu Y. Pinocembrin Inhibits the Proliferation, Migration, Invasiveness, and Epithelial-Mesenchymal Transition of Colorectal Cancer Cells by Regulating LACTB. Cancer Biother Radiopharm. 2022;37:527-536.  [RCA]  [PubMed]  [DOI]  [Full Text]  [Cited by in Crossref: 1]  [Cited by in RCA: 8]  [Article Influence: 1.3]  [Reference Citation Analysis (0)]
65.  Shao L, Shao Y, Yuan Y. Pinocembrin flavanone inhibits cell viability in PC-3 human prostate cancer by inducing cellular apoptosis, ROS production and cell cycle arrest. Acta Pharm. 2021;71:669-678.  [RCA]  [PubMed]  [DOI]  [Full Text]  [Cited by in Crossref: 7]  [Cited by in RCA: 12]  [Article Influence: 2.4]  [Reference Citation Analysis (0)]
66.  León-González AJ, Manson MM, López-Lizaro M, Navarro I, Martín-Cordero C. Induction of apoptosis and cell cycle arrest in human colon carcinoma cells by Corema album leaves. Nat Prod Commun. 2014;9:55-56.  [RCA]  [PubMed]  [DOI]  [Full Text]  [Cited by in Crossref: 3]  [Cited by in RCA: 3]  [Article Influence: 0.3]  [Reference Citation Analysis (0)]
67.  Kurma K, Manches O, Chuffart F, Sturm N, Gharzeddine K, Zhang J, Mercey-Ressejac M, Rousseaux S, Millet A, Lerat H, Marche PN, Macek Jilkova Z, Decaens T. DEN-Induced Rat Model Reproduces Key Features of Human Hepatocellular Carcinoma. Cancers (Basel). 2021;13:4981.  [RCA]  [PubMed]  [DOI]  [Full Text]  [Full Text (PDF)]  [Cited by in Crossref: 8]  [Cited by in RCA: 55]  [Article Influence: 11.0]  [Reference Citation Analysis (0)]
68.  Zheng Y, Wang K, Wu Y, Chen Y, Chen X, Hu CW, Hu F. Pinocembrin induces ER stress mediated apoptosis and suppresses autophagy in melanoma cells. Cancer Lett. 2018;431:31-42.  [RCA]  [PubMed]  [DOI]  [Full Text]  [Cited by in Crossref: 42]  [Cited by in RCA: 65]  [Article Influence: 8.1]  [Reference Citation Analysis (0)]
69.  Izuta H, Shimazawa M, Tazawa S, Araki Y, Mishima S, Hara H. Protective effects of Chinese propolis and its component, chrysin, against neuronal cell death via inhibition of mitochondrial apoptosis pathway in SH-SY5Y cells. J Agric Food Chem. 2008;56:8944-8953.  [RCA]  [PubMed]  [DOI]  [Full Text]  [Cited by in Crossref: 64]  [Cited by in RCA: 72]  [Article Influence: 4.0]  [Reference Citation Analysis (0)]
70.  Jaganathan SK, Mandal M. Antiproliferative effects of honey and of its polyphenols: a review. J Biomed Biotechnol. 2009;2009:830616.  [RCA]  [PubMed]  [DOI]  [Full Text]  [Full Text (PDF)]  [Cited by in Crossref: 166]  [Cited by in RCA: 165]  [Article Influence: 9.7]  [Reference Citation Analysis (0)]
71.  Kumar N, Shrungeswara AH, Mallik SB, Biswas S, Mathew J, Nandakumar K, Mathew J, Lobo R. Pinocembrin-Enriched Fractions of Elytranthe parasitica (L.) Danser Modulates Apoptotic and MAPK Cellular Signaling in HepG2 Cells. Anticancer Agents Med Chem. 2018;18:1563-1572.  [RCA]  [PubMed]  [DOI]  [Full Text]  [Cited by in Crossref: 5]  [Cited by in RCA: 5]  [Article Influence: 0.7]  [Reference Citation Analysis (0)]
72.  Liao CL, Chen CM, Chang YZ, Liu GY, Hung HC, Hsieh TY, Lin CL. Pine (Pinus morrisonicola Hayata) needle extracts sensitize GBM8901 human glioblastoma cells to temozolomide by downregulating autophagy and O(6)-methylguanine-DNA methyltransferase expression. J Agric Food Chem. 2014;62:10458-10467.  [RCA]  [PubMed]  [DOI]  [Full Text]  [Cited by in Crossref: 21]  [Cited by in RCA: 30]  [Article Influence: 2.5]  [Reference Citation Analysis (0)]
73.  Tao JJ, Castel P, Radosevic-Robin N, Elkabets M, Auricchio N, Aceto N, Weitsman G, Barber P, Vojnovic B, Ellis H, Morse N, Viola-Villegas NT, Bosch A, Juric D, Hazra S, Singh S, Kim P, Bergamaschi A, Maheswaran S, Ng T, Penault-Llorca F, Lewis JS, Carey LA, Perou CM, Baselga J, Scaltriti M. Antagonism of EGFR and HER3 enhances the response to inhibitors of the PI3K-Akt pathway in triple-negative breast cancer. Sci Signal. 2014;7:ra29.  [RCA]  [PubMed]  [DOI]  [Full Text]  [Cited by in Crossref: 111]  [Cited by in RCA: 125]  [Article Influence: 10.4]  [Reference Citation Analysis (0)]
74.  Murukesh N, Dive C, Jayson GC. Biomarkers of angiogenesis and their role in the development of VEGF inhibitors. Br J Cancer. 2010;102:8-18.  [RCA]  [PubMed]  [DOI]  [Full Text]  [Full Text (PDF)]  [Cited by in Crossref: 185]  [Cited by in RCA: 186]  [Article Influence: 11.6]  [Reference Citation Analysis (0)]
75.  Lu Q, Jiang MH, Jiang JG, Zhang RF, Zhang MW. Isolation and identification of compounds from Penthorum chinense Pursh with antioxidant and antihepatocarcinoma properties. J Agric Food Chem. 2012;60:11097-11103.  [RCA]  [PubMed]  [DOI]  [Full Text]  [Cited by in Crossref: 51]  [Cited by in RCA: 50]  [Article Influence: 3.6]  [Reference Citation Analysis (0)]
76.  Ma B, Liu X, Lu Y, Ma X, Wu X, Wang X, Jia M, Su P, Tong Y, Guan H, Jiang Z, Gao J, Huang L, Gao W. A specific UDP-glucosyltransferase catalyzes the formation of triptophenolide glucoside from Tripterygium wilfordii Hook. f. Phytochemistry. 2019;166:112062.  [RCA]  [PubMed]  [DOI]  [Full Text]  [Cited by in Crossref: 8]  [Cited by in RCA: 12]  [Article Influence: 1.7]  [Reference Citation Analysis (0)]
77.  Mamadalieva NZ, Herrmann F, El-Readi MZ, Tahrani A, Hamoud R, Egamberdieva DR, Azimova SS, Wink M. Flavonoids in Scutellaria immaculata and S. ramosissima (Lamiaceae) and their biological activity. J Pharm Pharmacol. 2011;63:1346-1357.  [RCA]  [PubMed]  [DOI]  [Full Text]  [Cited by in Crossref: 65]  [Cited by in RCA: 69]  [Article Influence: 4.6]  [Reference Citation Analysis (0)]
78.  Pradnyana IGNA, Putri KYK, Susanti NMP, Laksmiani NPL. The potency of pinostrobin and pinocembrin as antiphotoaging agents: In silico study. Pharm Rep. 2022;2:58.  [PubMed]  [DOI]  [Full Text]
79.  Navarro M, Moreira I, Arnaez E, Quesada S, Azofeifa G, Vargas F, Alvarado D, Chen P. Flavonoids and Ellagitannins Characterization, Antioxidant and Cytotoxic Activities of Phyllanthus acuminatus Vahl. Plants (Basel). 2017;6:62.  [RCA]  [PubMed]  [DOI]  [Full Text]  [Full Text (PDF)]  [Cited by in Crossref: 19]  [Cited by in RCA: 23]  [Article Influence: 2.6]  [Reference Citation Analysis (0)]
80.  Noureddine H, Hage-Sleiman R, Wehbi B, Fayyad-Kazan H, Hayar S, Traboulssi M, Alyamani OA, Faour WH, ElMakhour Y. Chemical characterization and cytotoxic activity evaluation of Lebanese propolis. Biomed Pharmacother. 2017;95:298-307.  [RCA]  [PubMed]  [DOI]  [Full Text]  [Cited by in Crossref: 22]  [Cited by in RCA: 31]  [Article Influence: 3.4]  [Reference Citation Analysis (0)]
81.  Melekoğlu A, Ceviz AB, Eronat AP, Öztürk T, Pehlevan F, Yilmaz-Aydoğan H, Öztürk O. Synergistic and dose-dependent effects of pinostrobin, pinocembrin and pinobanksin on different breast cancer cell lines. Kafkas Univ Vet Fak Derg. 2024;30:23-30.  [PubMed]  [DOI]  [Full Text]
82.  Pei B, Sun J. Pinocembrin alleviates cognition deficits by inhibiting inflammation in diabetic mice. J Neuroimmunol. 2018;314:42-49.  [RCA]  [PubMed]  [DOI]  [Full Text]  [Cited by in Crossref: 27]  [Cited by in RCA: 45]  [Article Influence: 5.0]  [Reference Citation Analysis (0)]
83.  Sharma N, Sharma M, Shakeel E, Jamal QMS, Kamal MA, Sayeed U, Khan MKA, Siddiqui MH, Arif JM, Akhtar S. Molecular Interaction and Computational Analytical Studies of Pinocembrin for its Antiangiogenic Potential Targeting VEGFR-2: A Persuader of Metastasis. Med Chem. 2018;14:626-640.  [RCA]  [PubMed]  [DOI]  [Full Text]  [Cited by in Crossref: 8]  [Cited by in RCA: 12]  [Article Influence: 1.5]  [Reference Citation Analysis (0)]
84.  Sun LP, Xu X, Hwang HH, Wang X, Su KY, Chen YL. Dichloromethane extracts of propolis protect cell from oxygen-glucose deprivation-induced oxidative stress via reducing apoptosis. Food Nutr Res. 2016;60:30081.  [RCA]  [PubMed]  [DOI]  [Full Text]  [Full Text (PDF)]  [Cited by in Crossref: 9]  [Cited by in RCA: 11]  [Article Influence: 1.1]  [Reference Citation Analysis (0)]
85.  Tan KW, Li Y, Paxton JW, Birch NP, Scheepens A. Identification of novel dietary phytochemicals inhibiting the efflux transporter breast cancer resistance protein (BCRP/ABCG2). Food Chem. 2013;138:2267-2274.  [RCA]  [PubMed]  [DOI]  [Full Text]  [Cited by in Crossref: 68]  [Cited by in RCA: 86]  [Article Influence: 6.6]  [Reference Citation Analysis (0)]
86.  Utispan K, Chitkul B, Koontongkaew S. Cytotoxic Activity of Propolis Extracts from the Stingless Bee Trigona Sirindhornae Against Primary and Metastatic Head and Neck Cancer Cell Lines. Asian Pac J Cancer Prev. 2017;18:1051-1055.  [RCA]  [PubMed]  [DOI]  [Full Text]  [Full Text (PDF)]  [Cited by in RCA: 12]  [Reference Citation Analysis (0)]
87.  Wang Y, Miao Y, Mir AZ, Cheng L, Wang L, Zhao L, Cui Q, Zhao W, Wang H. Inhibition of beta-amyloid-induced neurotoxicity by pinocembrin through Nrf2/HO-1 pathway in SH-SY5Y cells. J Neurol Sci. 2016;368:223-230.  [RCA]  [PubMed]  [DOI]  [Full Text]  [Cited by in Crossref: 78]  [Cited by in RCA: 77]  [Article Influence: 7.7]  [Reference Citation Analysis (0)]
88.  Charoensin S, Punvittayagul C, Pompimon W, Mevatee U, Wongpoomchai R. Toxicological and clastogenic evaluation of pinocembrin and pinostrobin isolated from Boesenbergia pandurata in Wistar rats. Thai J Toxicol. 2010;25:29-40.  [PubMed]  [DOI]
89.  Wang W, Zheng L, Xu L, Tu J, Gu X. Pinocembrin mitigates depressive-like behaviors induced by chronic unpredictable mild stress through ameliorating neuroinflammation and apoptosis. Mol Med. 2020;26:53.  [RCA]  [PubMed]  [DOI]  [Full Text]  [Full Text (PDF)]  [Cited by in Crossref: 12]  [Cited by in RCA: 43]  [Article Influence: 7.2]  [Reference Citation Analysis (0)]
90.  Sun H, Li W, Lu L, Jin B, Liu D, Li Z, He L, Wu Y. An integrated transcriptomic and metabolomic analysis of black spot disease in Jinggang honey pomelo reveals underlying resistance mechanisms. Front Microbiol. 2025;16:1495804.  [RCA]  [PubMed]  [DOI]  [Full Text]  [Full Text (PDF)]  [Cited by in RCA: 2]  [Reference Citation Analysis (0)]
91.  Tang D, Quan J, Gao Z, He B, Hou Y, Fan P, Pan M, Yang J. Prenylation of Flavanones by an Aromatic Prenyltransferase from Fusarium globosum. Molecules. 2025;30:1558.  [RCA]  [PubMed]  [DOI]  [Full Text]  [Cited by in RCA: 1]  [Reference Citation Analysis (0)]
92.  Villamizar-Mantilla DA, Stashenko EE, Fuentes Lorenzo JL. Plant compounds inhibit UV radiation-induced erythema in mice skin. Nat Prod Res. 2025;1-8.  [RCA]  [PubMed]  [DOI]  [Full Text]  [Cited by in RCA: 4]  [Reference Citation Analysis (0)]
93.  Qian G, Yang J, Wang M, Li L. Identification of the Dof Gene Family in Quinoa and Its Potential Role in Regulating Flavonoid Synthesis Under Different Stress Conditions. Biology (Basel). 2025;14:446.  [RCA]  [PubMed]  [DOI]  [Full Text]  [Cited by in RCA: 2]  [Reference Citation Analysis (0)]
94.  Cao G, Ying P, Yan B, Xue W, Li K, Shi A, Sun T, Yan J, Hu X. Pharmacokinetics, safety, and tolerability of single and multiple-doses of pinocembrin injection administered intravenously in healthy subjects. J Ethnopharmacol. 2015;168:31-36.  [RCA]  [PubMed]  [DOI]  [Full Text]  [Cited by in Crossref: 30]  [Cited by in RCA: 39]  [Article Influence: 3.5]  [Reference Citation Analysis (0)]
95.  Park JK, Lee D, Rui L, Gao X, Furness MS, Wu C. Analysis of Regulatory Botanical Submission Profile for Cancer Management from the U.S. FDA Perspectives. Ther Innov Regul Sci. 2025;59:1129-1137.  [RCA]  [PubMed]  [DOI]  [Full Text]  [Full Text (PDF)]  [Cited by in Crossref: 1]  [Cited by in RCA: 1]  [Article Influence: 1.0]  [Reference Citation Analysis (0)]
96.  Tamilarasi W, Balamurugan BJ. New reverse sum Revan indices for physicochemical and pharmacokinetic properties of anti-filovirus drugs. Front Chem. 2024;12:1486933.  [RCA]  [PubMed]  [DOI]  [Full Text]  [Cited by in RCA: 3]  [Reference Citation Analysis (0)]
97.  Wang K, Yang J, Deng J, Wang A, Chen G, Lin D. Pinocembrin reduces pyroptosis to improve flap survival by modulating the TLR4/NF-κB/NLRP3 signaling pathway. Biochim Biophys Acta Mol Basis Dis. 2025;1871:167710.  [RCA]  [PubMed]  [DOI]  [Full Text]  [Cited by in RCA: 2]  [Reference Citation Analysis (0)]
98.  Ma HR, Zhan JT, Luo X, Zheng WY, Ye XC, Liu D. [Pharmacokinetics of 7 characteristic components from active fraction of Alpiniae Officinarum Rhizoma in rats with Helicobacter pylori gastritis based on HPLC-MS/MS]. Zhongguo Zhong Yao Za Zhi. 2025;50:1949-1958.  [RCA]  [PubMed]  [DOI]  [Full Text]  [Cited by in RCA: 1]  [Reference Citation Analysis (0)]
99.  Isacescu E, Chiroi P, Zanoaga O, Nutu A, Budisan L, Pirlog R, Atanasov AG, Berindan-Neagoe I. Melanoma Cellular Signaling Transduction Pathways Targeted by Polyphenols Action Mechanisms. Antioxidants (Basel). 2023;12:407.  [RCA]  [PubMed]  [DOI]  [Full Text]  [Cited by in RCA: 17]  [Reference Citation Analysis (0)]
100.  Wang Y, Chen X, Zhou F, Pan M, Huang Y, Tsunoda M, Zhang Y, Yang H, Li LS, Song Y. Bidirectional transport studies of flavonoids from Alpiniae oxyphyllae fructus by in vitro inflammatory blood-brain barrier model combined with UHPLC-MS/MS analysis. J Chromatogr B Analyt Technol Biomed Life Sci. 2025;1253:124471.  [RCA]  [PubMed]  [DOI]  [Full Text]  [Cited by in RCA: 1]  [Reference Citation Analysis (0)]
101.  Sanchez TW, Ronzetti MH, Owens AE, Antony M, Voss T, Wallgren E, Talley D, Balakrishnan K, Leyes Porello SE, Rai G, Marugan JJ, Michael SG, Baljinnyam B, Southall N, Simeonov A, Henderson MJ. Real-Time Cellular Thermal Shift Assay to Monitor Target Engagement. ACS Chem Biol. 2022;17:2471-2482.  [RCA]  [PubMed]  [DOI]  [Full Text]  [Full Text (PDF)]  [Cited by in RCA: 21]  [Reference Citation Analysis (0)]
102.  Ren YS, Li HL, Piao XH, Yang ZY, Wang SM, Ge YW. Drug affinity responsive target stability (DARTS) accelerated small molecules target discovery: Principles and application. Biochem Pharmacol. 2021;194:114798.  [RCA]  [PubMed]  [DOI]  [Full Text]  [Cited by in Crossref: 5]  [Cited by in RCA: 144]  [Article Influence: 28.8]  [Reference Citation Analysis (0)]
103.  Wang P, Pan L, Liu Q, Huang Y, Tang Y, Lin B, Liao Y, Luo H, Meng X. Pinocembrin activation of DPP9 inhibits NLRP1 inflammasome activation to alleviate cerebral ischemia/reperfusion-induced lung and intestinal injury. Immunol Res. 2024;73:13.  [RCA]  [PubMed]  [DOI]  [Full Text]  [Cited by in Crossref: 6]  [Cited by in RCA: 4]  [Article Influence: 2.0]  [Reference Citation Analysis (0)]
104.  Tumbarski Y, Ivanov I, Todorova M, Apostolova S, Tzoneva R, Nikolova K. Phenolic Content, Antioxidant Activity and In Vitro Anti-Inflammatory and Antitumor Potential of Selected Bulgarian Propolis Samples. Biomedicines. 2025;13:334.  [RCA]  [PubMed]  [DOI]  [Full Text]  [Cited by in RCA: 2]  [Reference Citation Analysis (0)]
105.  Jiang Z, Piao L, Ren C, Zhang W, Zhu Y, Kong R. Identifying Natural Products as Feline Coronavirus M(pro) Inhibitors by Structural-Based Virtual Screening and Enzyme-Based Assays. ACS Omega. 2025;10:2092-2101.  [RCA]  [PubMed]  [DOI]  [Full Text]  [Full Text (PDF)]  [Cited by in RCA: 3]  [Reference Citation Analysis (0)]
106.  Yen HK, Thanh NQC, Tran TTT, Tuan NT. Anti-inflammatory Activity and Chemical Composition of Sphaerocoryne affinis Fruit in Phu Quoc Island. Chem Biodivers. 2025;22:e202500267.  [RCA]  [PubMed]  [DOI]  [Full Text]  [Cited by in RCA: 2]  [Reference Citation Analysis (0)]
107.  Rabelo RL, Nunes GP, Peres GR, Rios RA, de Souza ME, Braga GPA, Duque C. Comparison of dose and time effects of flavonoids, alone or in combination, on the induction of mineralization markers in human osteoblast-like cells. Arch Oral Biol. 2025;175:106285.  [RCA]  [PubMed]  [DOI]  [Full Text]  [Cited by in RCA: 2]  [Reference Citation Analysis (0)]
Footnotes

Provenance and peer review: Invited article; Externally peer reviewed.

Peer-review model: Single blind

Specialty type: Medicine, research and experimental

Country of origin: India

Peer-review report’s classification

Scientific Quality: Grade A, Grade B, Grade B

Novelty: Grade A, Grade A, Grade A

Creativity or Innovation: Grade B, Grade B, Grade B

Scientific Significance: Grade A, Grade A, Grade A

Open Access: This article is an open-access article that was selected by an in-house editor and fully peer-reviewed by external reviewers. It is distributed in accordance with the Creative Commons Attribution NonCommercial (CC BY-NC 4.0) license, which permits others to distribute, remix, adapt, build upon this work non-commercially, and license their derivative works on different terms, provided the original work is properly cited and the use is non-commercial. See: https://creativecommons.org/Licenses/by-nc/4.0/

P-Reviewer: Almalki WH, Deputy Director, Saudi Arabia; Kazmi I, Additional Professor, Saudi Arabia S-Editor: Luo ML L-Editor: A P-Editor: Zheng XM