Copyright: ©Author(s) 2026.
World J Exp Med. Mar 20, 2026; 16(1): 116252
Published online Mar 20, 2026. doi: 10.5493/wjem.v16.i1.116252
Published online Mar 20, 2026. doi: 10.5493/wjem.v16.i1.116252
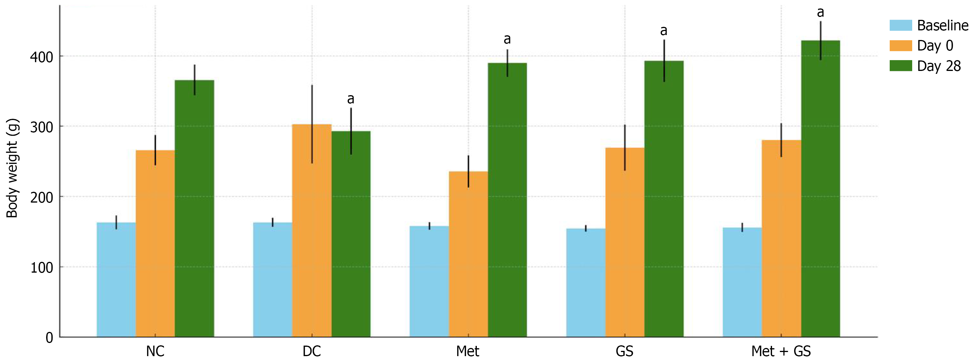
Figure 1 Body weight at baseline, day 0, and day 28.
aP < 0.05 vs normal control. NC: Normal control; DC: Diabetic control; Met: Metformin; GS: Gymnema sylvestre.
Figure 2 Fasting blood glucose (mg/dL) at day 0, day 7, and day 28.
aP < 0.05 vs normal control; bP < 0.05 vs metformin. FBG: Fasting blood glucose; NC: Normal control; DC: Diabetic control; Met: Metformin; GS: Gymnema sylvestre.
Figure 3 Cholesterol (g/L) at day 0 and day 28.
aP < 0.05 vs normal control; bP < 0.05 vs metformin. NC: Normal control; DC: Diabetic control; Met: Metformin; GS: Gymnema sylvestre.
Figure 4 Creatinine (mg/dL) at day 0 and day 28.
aP < 0.05 vs normal control; bP < 0.05 vs metformin. NC: Normal control; DC: Diabetic control; Met: Metformin; GS: Gymnema sylvestre.
Figure 5 Glycated hemoglobin (g/L) at day 0 and day 28.
aP < 0.05 vs normal control; bP < 0.05 vs metformin. NC: Normal control; DC: Diabetic control; Met: Metformin; GS: Gymnema sylvestre.
- Citation: Kodiyatar A, Mishra A, Dhakad MS, Roy V, Beg MMA, Rai N. Antidiabetic effects of Gymnema sylvestre and metformin co-therapy in a type 2 diabetic rat model. World J Exp Med 2026; 16(1): 116252
- URL: https://www.wjgnet.com/2220-315x/full/v16/i1/116252.htm
- DOI: https://dx.doi.org/10.5493/wjem.v16.i1.116252
