Copyright
©The Author(s) 2025.
World J Clin Pediatr. Dec 9, 2025; 14(4): 111069
Published online Dec 9, 2025. doi: 10.5409/wjcp.v14.i4.111069
Published online Dec 9, 2025. doi: 10.5409/wjcp.v14.i4.111069
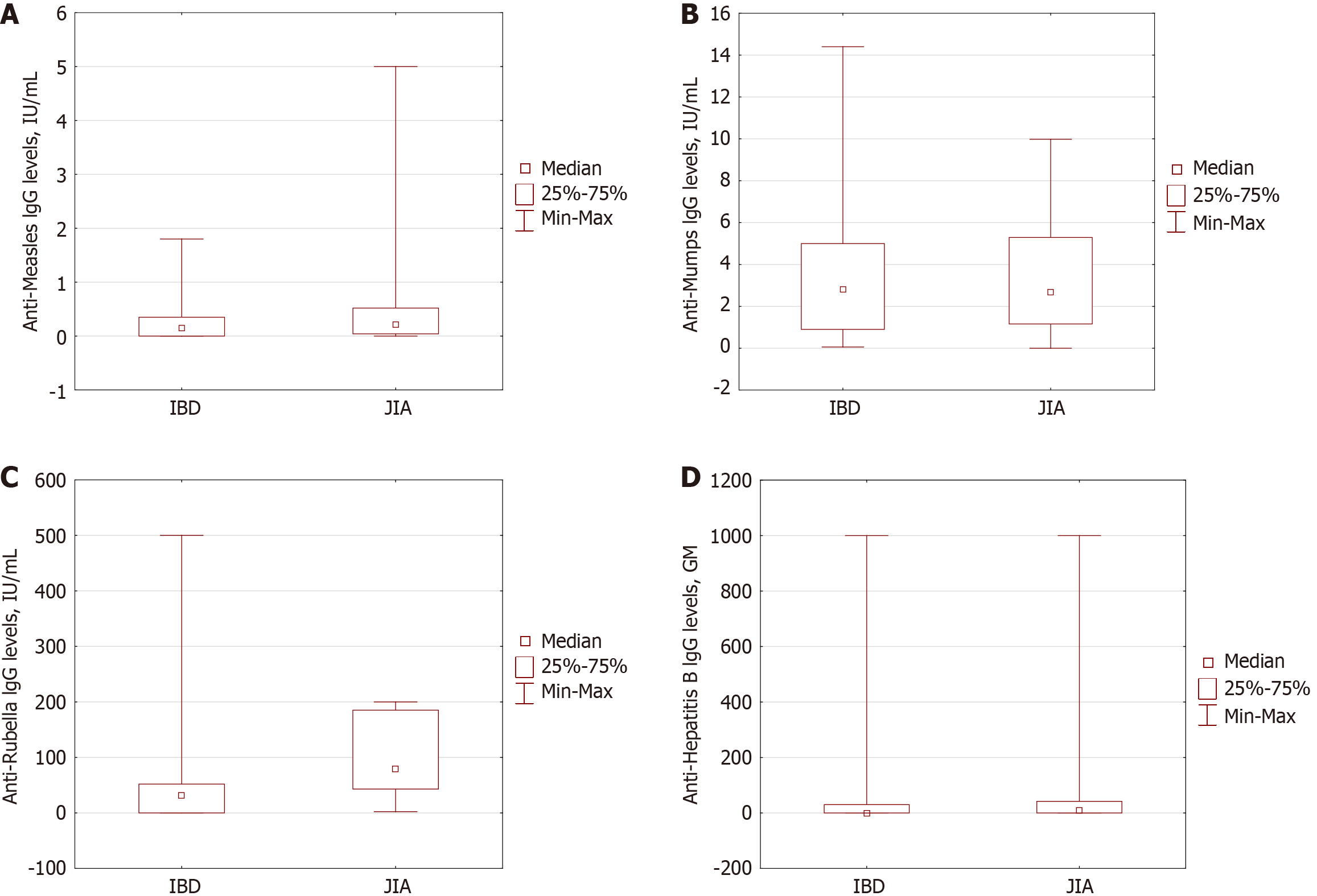
Figure 1 The levels of antibodies against measles, mumps, rubella, and hepatitis B in children with inflammatory bowel diseases and juvenile idiopathic arthritis.
A: Levels of antibodies against measles; B: Levels of antibodies against mumps; C: Levels of antibodies against rubella; D: Levels of antibodies against hepatitis B. IBD: Inflammatory bowel disease; JIA: Juvenile idiopathic arthritis.
- Citation: Makarova E, Goleva O, Gabrusskaya T, Lubimova N, Ulanova N, Volkova N, Shilova E, Revnova M, Kharit S, Kostik M. Vaccine coverage, antibodies against measles, mumps, rubella, hepatitis B in inflammatory bowel disease and juvenile idiopathic arthritis children. World J Clin Pediatr 2025; 14(4): 111069
- URL: https://www.wjgnet.com/2219-2808/full/v14/i4/111069.htm
- DOI: https://dx.doi.org/10.5409/wjcp.v14.i4.111069
