Copyright
©The Author(s) 2026.
World J Hematol. Jan 21, 2026; 12(1): 115355
Published online Jan 21, 2026. doi: 10.5315/wjh.v12.i1.115355
Published online Jan 21, 2026. doi: 10.5315/wjh.v12.i1.115355
Figure 1 Receiver operating characteristic curves comparing the nomogram and single predictors.
Receiver operating characteristic analysis comparing the predictive performance of the nomogram model with individual predictors for postoperative thrombocytosis. The nomogram achieved the highest discriminative ability [area under the curve (AUC) = 0.92, 95% confidence interval (CI): 0.87-0.96], outperforming all single parameters. Among single factors, the reticulocyte percentage (AUC = 0.79) showed moderate predictive power, followed by preoperative platelet count (AUC = 0.76), transfusion volume (AUC = 0.78), and mean platelet volume (AUC = 0.73). The diagonal dashed line represents the reference line of no discrimination (AUC = 0.5). AUC: Area under the curve; PLT: Platelet.
Figure 2 Nomogram for predicting postoperative thrombocytosis after splenectomy.
Nomogram developed from multivariate logistic regression integrating reticulocyte percentage, preoperative platelet count, transfusion volume, and mean platelet volume to estimate the individual risk of postoperative thrombocytosis in children with hereditary spherocytosis after splenectomy. Each predictor corresponds to a point value on the top axis. The total score, obtained by summing all variable points, projects onto the bottom scale to determine the predicted probability. The model demonstrated excellent discrimination (C-index = 0.85, 95% confidence interval: 0.81-0.89) and robust internal calibration. PLT: Platelet; PST: Postoperative thrombocytosis.
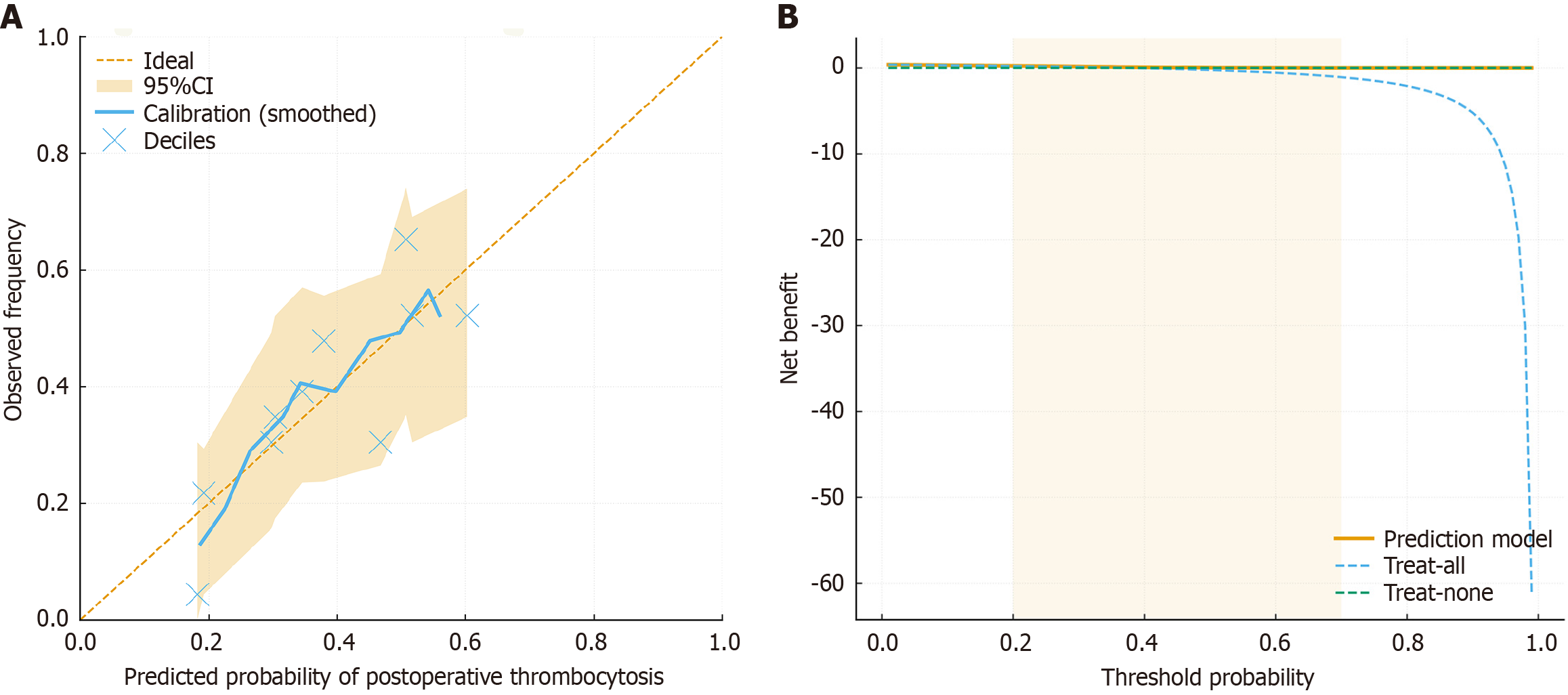
Figure 3 Curve for the prediction model.
A: Calibration curve for the prediction model. Calibration plot evaluating the agreement between predicted and observed probabilities of postoperative thrombocytosis. The solid line represents the model’s LOESS-smoothed calibration, while the dashed line indicates perfect prediction. The shaded band denotes the bootstrap-estimated 95% confidence interval across 800 resamples. Each bubble represents a decile of predicted probability, with bubble size proportional to sample density. The close alignment between the calibration curve and the ideal line indicates excellent model calibration; B: Decision curve analysis for the prediction model. Decision curve analysis assessing the net clinical benefit of the predictive model across a range of threshold probabilities. The orange curve (nomogram) demonstrates a consistently higher net benefit compared with the “treat-all” and “treat-none” strategies over thresholds between 0.2 and 0.7. This indicates that applying the model to guide postoperative risk management yields meaningful clinical benefit by identifying high-risk patients who may require closer monitoring or prophylactic intervention. CI: Confidence interval.
- Citation: Zhang T, Li ZC, Pan ZB, Qi SQ, Tang R. Nomogram-based prediction of post-splenectomy thrombocytosis in children with hereditary spherocytosis. World J Hematol 2026; 12(1): 115355
- URL: https://www.wjgnet.com/2218-6204/full/v12/i1/115355.htm
- DOI: https://dx.doi.org/10.5315/wjh.v12.i1.115355
