Copyright
©The Author(s) 2026.
World J Radiol. Jan 28, 2026; 18(1): 115504
Published online Jan 28, 2026. doi: 10.4329/wjr.v18.i1.115504
Published online Jan 28, 2026. doi: 10.4329/wjr.v18.i1.115504
Figure 1 A general flowchart of data analysis.
A: Radiological features from hemorrhage and perihematomal edema non-contrast computed tomography images were extracted by the deep learning analysis and handcrafted radiomics analysis, respectively; B: The prediction models in identification of early enlargement of spontaneous intracerebral hemorrhage were approached via machine learning methods using radiological features; C: The prognostic model in prediction of hospital death took radiological features and the effect of hematoma expansion into account, and was visualized by nomogram. ROC: Receiver operating characteristic; SVM: Support vector machine.
Figure 2 Feature heatmaps of representative patients on the deep learning ResNet50 algorithm via the guided grad-class activation mapping.
The original non-contrast computed tomography images and their corresponding feature heatmaps were shown from left to right. The red color highlighted the region of interest on the hemorrhage and perihematomal edema during the deep learning analysis. Four cases were shown with subregions of hemorrhage and perihematomal edema, respectively. The left two indicated hematoma enlargement cases, while the right two indicated non-hematoma enlargement cases.
Figure 3 Evaluation of predictive performances for the radiological and clinical-radiological models in prediction of early enlargement of spontaneous intracerebral hemorrhage.
A: Receiver operating characteristic curves for the predictive performance of the radiological model in the training and testing cohorts, respectively; B: Precision-recall plots for the predictive performance of the radiological model in the training and testing cohorts, respectively; C: Curves of the calibration analysis for the radiological model in the training and testing cohorts, respectively; D: Receiver operating characteristic curves for the predictive performance of the clinical-radiological model in the training and testing cohorts, respectively; E: Precision-recall plots for the predictive performance of the clinical-radiological model in the training and testing cohorts, respectively; F: Curves of the calibration analysis for the clinical-radiological model in the training and testing cohorts, respectively.
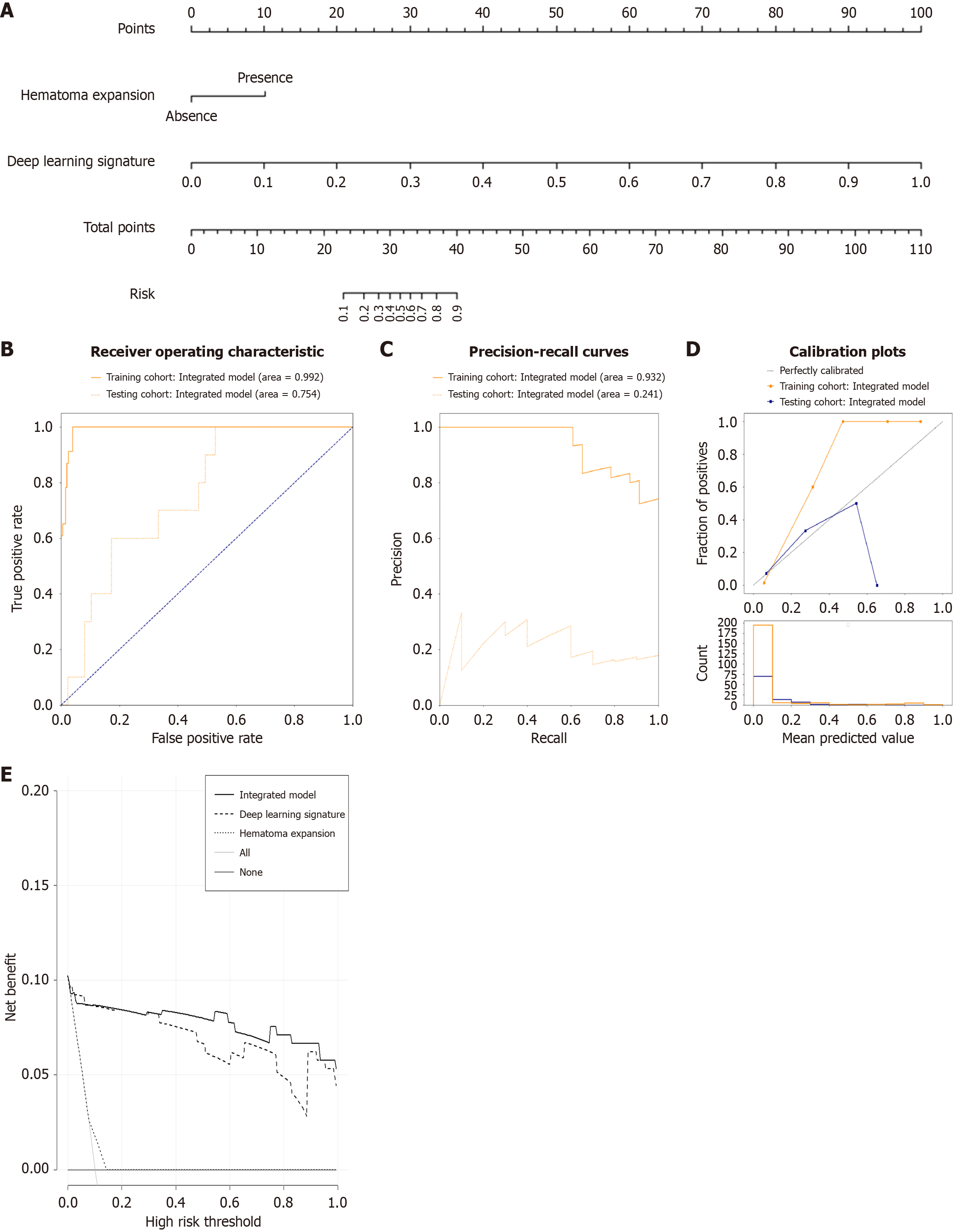
Figure 4 Evaluation of predictive performances for the integrated nomogram model on hematoma expansion and the deep learning signature in prediction of hospital death.
A: Nomogram model combining hematoma expansion and the deep learning signature generated from the best radiological model considering area under the receiver operating characteristic curve of the testing cohort; B: Receiver operating characteristic curves for the predictive performance of the integrated nomogram model in the training and testing cohorts, respectively; C: Precision-recall plots for the predictive performance of the integrated nomogram model in the training and testing cohorts, respectively; D: Curves of the calibration analysis for the integrated nomogram model in the training and testing cohorts, respectively; E: The decision curve analysis for the integrated nomogram model.
- Citation: Yang YH, Li Y. Deep learning-based imaging model to predict early hematoma enlargement and hospital mortality in spontaneous intracerebral hemorrhage. World J Radiol 2026; 18(1): 115504
- URL: https://www.wjgnet.com/1949-8470/full/v18/i1/115504.htm
- DOI: https://dx.doi.org/10.4329/wjr.v18.i1.115504
