BPG is committed to discovery and dissemination of knowledge
Case Control Study Open Access
Copyright: ©Author(s) 2026. This article is an open access article distributed under the terms and conditions of the Creative Commons Attribution-NonCommercial (CC BY-NC 4.0) license. No commercial re-use. See permissions. Published by Baishideng Publishing Group Inc.
World J Cardiol. Mar 26, 2026; 18(3): 114077
Published online Mar 26, 2026. doi: 10.4330/wjc.v18.i3.114077
Valvular calcification in liver cirrhosis: A comparison with non-cirrhotic cardiovascular controls
Maja Vuckovic, Department of Internal Medicine, Division of Cardiology and Intensive Care Unit, Clinical Hospital Merkur, Zagreb 10000, Croatia
Jasenka Grgurić, Frane Paic, Laboratory for Epigenetic and Molecular Medicine, Department of Medical Biology, School of Medicine, University of Zagreb, Zagreb 10000, Croatia
Vedran Radonic, Ivana Jurin, Tajana Filipec Kanizaj, Tomislav Letilovic, School of Medicine, University of Zagreb, Zagreb 10000, Croatia
ORCID number: Maja Vuckovic (0000-0003-4356-2161); Frane Paic (0000-0001-9688-8582); Tajana Filipec Kanizaj (0000-0002-7025-0932).
Author contributions: Vuckovic M, Paic F, and Letilovic T designed the research study; Paic F, Radonic V, Grgurić J, Jurin I, and Filipec Kanizaj T performed the investigation and were responsible for the methodology and data curation; Filipec Kanizaj T performed the data validation; Vuckovic M drafted the original manuscript; Grgurić J and Paic F reviewed and edited the manuscript; Letilovic T supervised the study; and all authors have read and approved the final manuscript.
Institutional review board statement: This study was approved by the Medical Ethics Committee of Clinical Hospital Merkur, approval No. 03/1-4558/2.
Informed consent statement: All study participants, or their legal guardian, provided informed written consent prior to study enrollment.
Conflict-of-interest statement: All the authors report no relevant conflicts of interest for this article.
STROBE statement: The authors have read the STROBE Statement-checklist of items, and the manuscript was prepared and revised according to the STROBE Statement-checklist of items.
Data sharing statement: Technical appendix, statistical code, and dataset available from the corresponding author at fpaic@mef.hr. Consent for data sharing was not obtained but the presented data are anonymized, and risk of identification is low.
Corresponding author: Frane Paic, Associate Professor, Laboratory for Epigenetic and Molecular Medicine, Department of Medical Biology, School of Medicine, University of Zagreb, Šalata 3, Zagreb 10000, Croatia. fpaic@mef.hr
Received: September 11, 2025
Revised: November 14, 2025
Accepted: January 9, 2026
Published online: March 26, 2026
Processing time: 193 Days and 19 Hours

Abstract
BACKGROUND

Liver cirrhosis (LC) is associated with excess cardiovascular mortality; however, its relationship with ectopic valvular calcification remains unclear. Calcific aortic valve disease and mitral annular calcification (MAC) share common cardiometabolic drivers, such as age, obesity, diabetes, and dyslipidemia, yet their burden and determinants in cirrhosis particularly fatty LC are insufficiently defined. Clarifying these associations could inform screening and peri-transplant cardiovascular risk assessment. We hypothesized that fatty LC is independently associated with aortic valve calcification (AVC), that cirrhosis of any etiology is independently associated with MAC, and that multivariable models would demonstrate strong discrimination and calibration.

AIM

To determine the associations between cirrhosis etiologies and AVC and MAC, and to evaluate the performance of predictive models.

METHODS

In this single-center cross-sectional study, we enrolled 123 consecutive LC transplant candidates and 123 age- and sex-matched cardiovascular controls without LC or indications for valvular surgery. Semiquantitative echocardiographic calcium scores were obtained for the aortic valve and mitral annulus. Associations with AVC and MAC were assessed using univariate and multivariable logistic regression with Bonferroni correction. Model performance was evaluated using receiver operating characteristic area under the curve, precision-recall, and Hosmer-Lemeshow calibration.

RESULTS

The cohort [71.5% male; median age: 64 (interquartile range: 58-70) years] showed higher prevalence of AVC in patients with LC than in controls (P < 0.001) but lower prevalence of MAC (P < 0.001). Hypertension was less frequent in patients with cirrhosis (P < 0.001). Fatty LC was independently associated with AVC [model IIIa odds ratio (OR) = 3.873; 95% confidence interval (CI): 1.529-9.807; P = 0.004]. For MAC, LC of any etiology remained strongly associated (model IIIb: Fatty liver OR = 16.693; 95%CI: 3.843-72.512; P < 0.001; other etiologies OR = 12.719; 95%CI: 3.068-52.736; P < 0.001). Model discrimination and calibration were strong (area under the curve 0.834 and 0.917; Hosmer-Lemeshow P = 0.70 and 0.187, respectively).

CONCLUSION

LC especially of fatty etiology is independently associated with AVC, and cirrhosis of any cause is associated with MAC. The strong model performance supports their potential for cardiovascular risk stratification.

Key Words: Liver cirrhosis; Aortic valve calcification; Mitral annular calcification; Metabolic-associated fatty liver disease; Alcohol-related liver disease; Echocardiographic calcium scoring; Logistic regression; Risk stratification; Receiver operating characteristic analysis; Model calibration

Core Tip: In a single center observational study of 123 patients with liver cirrhosis (LC) and 123 age- and sex-matched cardiovascular controls, echocardiographic calcium scoring showed that LC - particularly metabolic associated fatty liver disease and alcohol related fatty liver disease - was independently linked to aortic valve calcification, while LC of any etiology strongly predicted mitral annular calcification. Fully adjusted models demonstrated strong discrimination and acceptable calibration, supporting their potential use for risk stratification in LC clinics. These models may help flag high-risk patients who warrant closer echocardiographic surveillance, pending external validation.



INTRODUCTION

Liver cirrhosis (LC) is a major global health burden, accounting for approximately 2.4% of all deaths worldwide[1]. The most common etiologies are metabolic associated fatty liver disease [MAFLD; previously termed nonalcoholic fatty liver disease (NAFLD)], alcohol-related liver disease (AFLD), and chronic viral hepatitis[2-4]. Less frequent causes include autoimmune hepatitis, primary sclerosing cholangitis, primary biliary cholangitis, and certain medications. In many patients, overlapping etiologies further complicate disease progression[2-4], and in some cases, the underlying cause remains unidentified (cryptogenic cirrhosis)[5].

Regardless of etiology, progressive hepatic fibrosis leads to systemic metabolic dysfunction and a hyperdynamic circulatory state. These hemodynamic alterations affect multiple organ systems and contribute to complications such as hepatopulmonary and hepatorenal syndromes - both associated with poor prognosis[6-8]. Another increasingly recognized cardiovascular complication is cirrhotic cardiomyopathy, characterized by impaired systolic and diastolic function and electrophysiological abnormalities in the absence of primary cardiac disease[6,9,10].

This bidirectional link between hepatic and cardiac dysfunction - often termed cardiohepatic interactions - underscores the need for multidisciplinary care[11]. Emerging evidence suggests that patients with LC, particularly those with advanced fibrosis, may be at increased risk of coronary artery disease (CAD), coronary artery calcification, and adverse cardiovascular outcomes, including myocardial infarction (MI)[12-15]. However, a recent meta-analysis reported no significant association between cirrhosis and incident CAD or MI[16]. Traditional cardiovascular risk factors, such as age, sex, diabetes mellitus (DM), hypertension, hyperlipidemia, and smoking, remain independently linked to CAD in patients with cirrhosis[16]. These same factors are also associated with calcific aortic valve disease and mitral annular calcification (MAC) in the general population[17]. Despite this overlap, data on the prevalence and clinical implications of valvular calcification - specifically calcific aortic valve disease and MAC - in LC are limited.

We sought to determine the prevalence and clinical significance of aortic valve calcification (AVC) and MAC in patients with LC, with particular focus on those with end-stage MAFLD and AFLD, and to compare these findings with those from an age and sex matched cardiovascular control group without LC or a prior indication for heart valve surgery.

MATERIALS AND METHODS
Study population and design

This observational study included 123 consecutive patients with LC evaluated for liver transplantation at the Department of Internal Medicine, Division of Gastroenterology, Clinical Hospital Merkur (CHM), Zagreb, Croatia, between July 2019 and October 2021. Of these, 61 had fatty LC (alcohol or non-alcohol-related), and 62 had LC from other etiologies (autoimmune, viral, hepatocellular carcinoma-related, polycystic liver disease, or cryptogenic causes).

Cardiac evaluation

All participants underwent standard transthoracic echocardiography at enrollment at the Division of Cardiology and Intensive Care, CHM, to assess myocardial function and the aortic and mitral valve structures. None of the patients with cirrhosis had hemodynamically significant valvular heart disease.

Echocardiographic calcium scoring

Aortic, mitral, and total (combined) valve calcium scores were assessed using the semiquantitative echocardiographic algorithm described by Pressman et al[18], which grades calcification of the aortic valve and root, mitral valve and annulus, and the subvalvular mitral apparatus (Table 1). Although less sensitive than computed tomography (CT) owing to lower spatial resolution and limited ability to distinguish calcium from fibrosis, this method correlates well with CT derived noncoronary cardiac calcium scores. Echocardiography is simple, inexpensive, widely available, avoids ionizing radiation, and provides prognostic information on the presence and severity of valvular calcification[19].

Table 1 Semiquantitative echocardiographic algorithm for total calcium scoring of the aortic valve and mitral annulus.
Calcium scoring variable
Score
Posterior mitral annular calcificationNone = 0
1/3 calcified = 1
2/3 calcified = 2
3/3 calcified = 3
Posterior mitral leaflet restrictionNo = 0; yes = 1
Anterior mitral annular calcificationNo = 0; yes = 1
Anterior mitral leaflet restrictionNo = 0; yes = 1
Mitral valve calcificationNo = 0
Mild = 1
More than mild = 2
Subvalvular mitral apparatus calcificationNo = 0; yes = 1
Aortic valve calcificationNone = 0
Nodules in < 3 leaflets = 1
Nodules in 3 leaflets = 2
Leaflet restriction = 3
Aortic root calcificationNo = 0; yes = 1
Total13
Control group

An age and sexmatched control cohort of 123 cardiovascular patients without LC and without an indication for heart valve surgery underwent the same echocardiographic calcium scoring. Potential controls with hemodynamically significant valvular disease were excluded.

Clinical data collection

Demographic and clinical data were obtained from electronic medical records. Comorbidities recorded included hypertension, hyperlipidemia, DM, atrial fibrillation (AF), peripheral vascular disease (PVD), chronic obstructive pulmonary disease (COPD), cerebrovascular events, prior cardiac surgery, and prior MI. Chronic kidney disease (CKD) stage was determined using estimated glomerular filtration rate (mL/minute/1.73 m2)[20].

Ethics

All study participants, or their legal guardians, provided informed written consent before enrollment. The study protocol was approved by the Medical Ethics Committee of CHM, approval No. 03/1-4558/2.

Statistical analysis

Normality of continuous variables was assessed using the Shapiro-Wilk test. Data are presented as frequencies, medians with interquartile ranges, or means ± SD, as appropriate. Group comparisons were performed using independent samples t tests for normally distributed variables and the Mann-Whitney U test for non-normally distributed data. Categorical variables were compared using Pearson’s χ2 test or Fisher’s exact test, as appropriate.

Associations between clinical and demographic factors and the presence of aortic valve or MAC were evaluated using univariate and multivariable binary logistic regression. Five adjusted multivariable models were specified: Model Ia included age, sex, body mass index (BMI), and LC; model IIa included model Ia variables plus MAC; and model IIIa included model IIa variables plus previous cardiac surgery, smoking status, prior MI, PVD, prior cerebrovascular insult (CVI) or transitory ischemic attack (TIA), and aortic root calcification. Model Ib was identical to model Ia; model IIb included model Ib variables plus AVC, aortic root calcification, mitral valve calcification, and subvalvular mitral apparatus calcification; model IIIb included model IIb variables plus posterior mitral leaflet restriction, DM, hypertension, hyperlipidemia, AF, PVD, COPD, CKD stage, left ventricular ejection fraction (LVEF), and prior MI.

Results are expressed as odds ratios (ORs) with 95% confidence intervals (CIs). A two-tailed P < 0.05 was considered significant. For multiple comparisons, Bonferroni correction was applied [Bonferroni corrected P value (Pc) = 0.05/N].

Model performance was evaluated as follows: (1) Discrimination assessed using the receiver operating characteristic (ROC) area under the curve (AUC) with 95%CIs; (2) Precision-recall (PR) analysis (reporting precision and recall across probability thresholds and precision at the Youden-optimal cutoff); and (3) Calibration assessed using the Hosmer-Lemeshow goodness-of-fit test (10 risk deciles), supplemented by decile-wise calibration plots. Optimal classification thresholds were identified using Youden’s J index. All statistical analyses were performed using IBM SPSS Statistics, version 29.0 (IBM Corp., Armonk, NY, United States).

RESULTS
Patient characteristics

We enrolled 123 patients with LC and 123 age and sex matched cardiovascular controls. The median age in both groups was 64.0 (interquartile range: 58.0-70.0) years, and 71.5% of the participants were male. Key clinical and demographic characteristics are summarized in Table 2.

Table 2 Demographic and clinical characteristics of patients included in the study, n (%).
Variable
All patients (n = 246)
LC (n = 123)
Control group (n = 123)
P value
Fatty LC (n = 61)
Other causes of LC (n = 62)
P value
Age, years64.0 (58.0-70.0)64.0 (58.0-70.0)64.0 (58.0-70.0)> 0.99964.0 (58.0-70.0)64.5 (58.8-71.0)0.748
Male sex176 (71.5)88 (71.5)88 (71.5)> 0.99953 (86.9)35 (56.5)< 0.001a
BMI, kg/m²28.03 ± 4.6327.49 ± 5.3528.50 ± 3.850.10627.93 (25.26-32.32)25.78 (22.73-29.65)0.026
Previous cardiac surgery18 (7.3)1 (0.8)17 (13.8)< 0.0011 (1.7)0 (0.0)0.492
DM74 (30.1)44 (35.8)30 (24.4)0.07023 (37.7)21 (33.9)0.709
Hypertension149 (60.6)51 (41.5)98 (79.7)< 0.001a22 (36.1)29 (46.8)0.273
Hyperlipidemia103 (42.0)29 (23.8)74 (60.2)< 0.001a20 (33.3)9 (14.5)0.019
AF32 (13.1)6 (4.9)26 (21.1)< 0.001a1 (1.7)5 (8.1)0.207
PVD27 (11.0)6 (4.9)21 (17.1)0.0044 (6.7)2 (3.2)0.436
Previous CVI or TIA13 (5.3)3 (2.5)10 (8.1)0.0841 (1.7)2 (3.2)> 0.999
COPD18 (7.3)4 (3.3)14 (11.4)0.0252 (3.3)2 (3.2)> 0.999
Smoking history142 (60.4)53 (46.9)89 (73.0)< 0.001a28 (51.9)25 (42.4)0.349
Previous MI51 (20.8)5 (4.1)46 (37.4)< 0.001a3 (5.0)2 (3.2)0.677
CKD stage---0.812--0.648
I-II212 (86.5)104 (85.2)108 (87.8)-49 (81.7)55 (88.7)-
III21 (8.6)12 (9.8)9 (7.3)-8 (13.3)4 (6.5)-
IV9 (3.7)4 (3.3)5 (4.1)-2 (3.3)2 (3.2)-
V3 (1.2)2 (1.6)1 (0.8)-1 (1.7)1 (1.6)-
LVEF, %65.0 (55.5-65.0)65.0 (65.0-65.0)59.0 (50.0-65.0)< 0.001a65.0 (65.0-65.0)65.0 (65.0-65.0)0.394
LVEF < 50%25 (10.2)3 (2.5)22 (17.9)< 0.001a1 (1.7)2 (3.2)> 0.999
Aortic valve calcification125 (50.8)79 (64.2)46 (37.4)< 0.001a41 (67.2)38 (61.3)0.574
Aortic root calcification177 (72.0)84 (68.3)93 (75.6)0.25647 (77.0)37 (59.7)0.052
Total aortic valve Ca score1.0 (1.0-2.0)1.0 (1.0-2.0)1.0 (1.0-2.0)0.1042.0 (1.0-2.0)1.0 (0.75-2.0)0.083
Posterior mitral annulus calcification130 (52.8)71 (57.7)59 (48.0)0.16039 (63.9)32 (51.6)0.203
Posterior mitral leaflet restriction11 (4.5)4 (3.3)7 (5.7)0.5382 (3.3)2 (3.2)> 0.999
Anterior mitral annular calcification32 (13.0)17 (13.8)15 (12.2)0.85011 (18.0)6 (9.7)0.202
Anterior mitral leaflet restriction3 (1.2)1 (0.8)2 (1.6)> 0.9991 (1.6)0 (0.0)0.496
Mitral valve calcification131 (53.3)47 (38.2)84 (68.3)< 0.001a23 (37.7)24 (38.7)> 0.999
Subvalvular mitral apparatus calcification107 (43.5)51 (41.5)56 (45.5)0.60730 (49.2)21 (33.9)0.101
Total mitral valve Ca score2.0 (1.0-3.0)2.0 (0.0-3.0)2.0 (1.0-3.0)0.2532.0 (1.0-3.0)1.0 (0.0-3.0)0.086
Total Ca score3.0 (2.0-5.0)3.0 (1.0-5.0)3.0 (2.0-4.0)0.7993.0 (2.0-5.0)3.0 (1.0-5.0)0.043

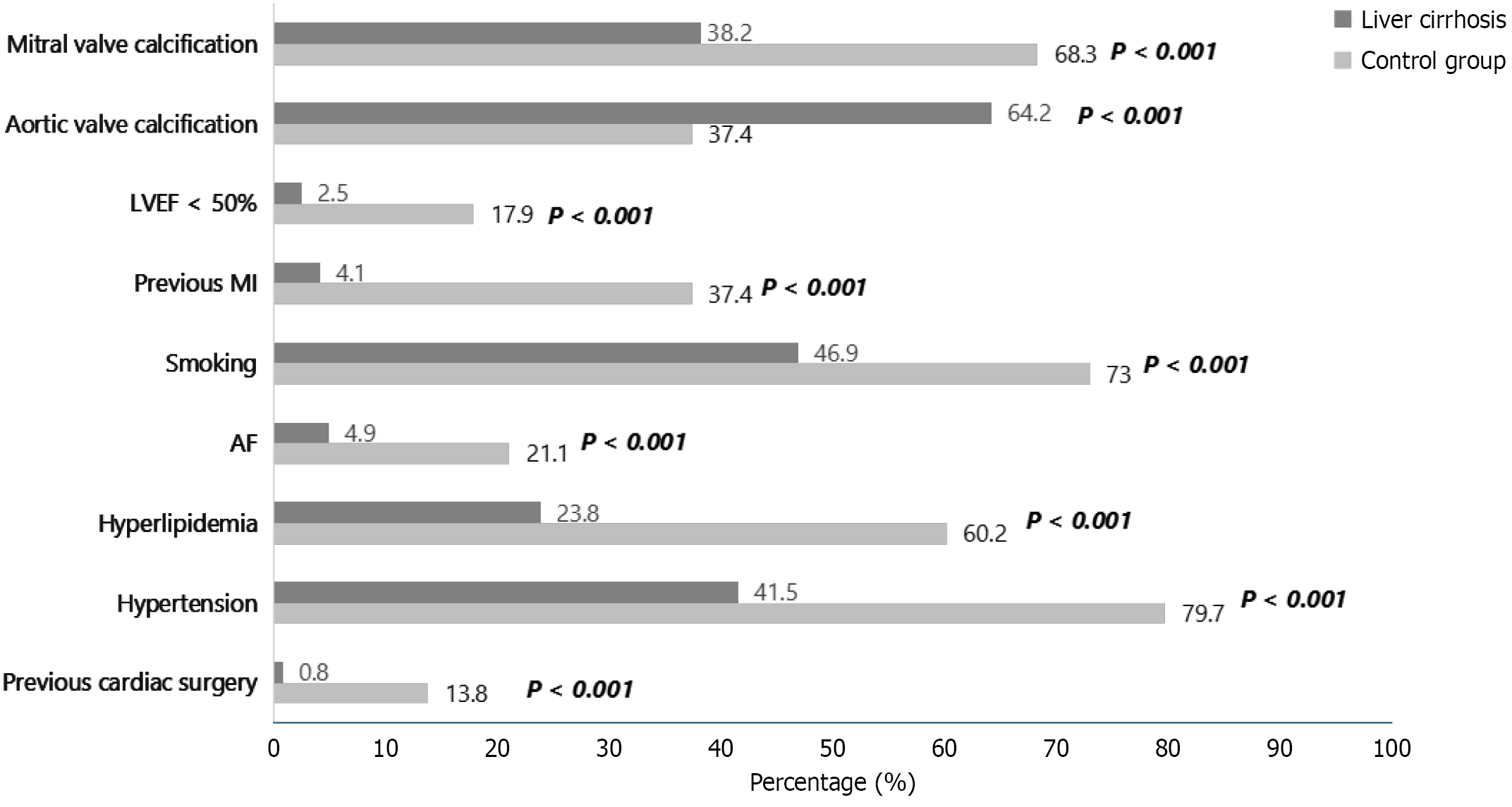
MAC was more prevalent in controls, whereas AVC was more frequent among patients with LC. No significant between group differences were observed in aortic, mitral, or total calcium scores. Compared with the LC group, participants in the control group had higher rates of smoking, previous cardiac surgery, hypertension, hyperlipidemia, AF, PVD, COPD, prior MI, lower LVEF, and a higher proportion of patients with LVEF < 50% (Table 2, Figure 1). After Bonferroni correction (Pc = 0.0018), the differences in PVD and COPD were no longer significant.

Figure 1
Figure 1 Comparison of cardiovascular comorbidities and valvular calcification between patients with liver cirrhosis and control subjects. Horizontal bar chart presenting the prevalence (%) of key clinical characteristics in the liver cirrhosis group vs the control group. Variables include mitral valve calcification, aortic valve calcification, reduced left ventricular ejection fraction (< 50%), previous myocardial infarction, smoking, atrial fibrillation, hyperlipidemia, hypertension, and history of previous cardiac surgery. The chart illustrates markedly higher rates of mitral and aortic valve calcification, smoking, hypertension, and hyperlipidemia in the control group, while reduced left ventricular ejection fraction and atrial fibrillation were more common among patients with liver cirrhosis. P values are displayed to the right of each horizontal bar, adjacent to the corresponding group comparisons for every variable. Bold P values indicate statistical significance after Bonferroni correction. LVEF: Left ventricular ejection fraction; AF: Atrial fibrillation; MI: Myocardial infarction.
LC

Within the LC group, patients with fatty liver-related LC had slightly higher total calcium scores, higher BMI, and more hyperlipidemia compared with those with other etiologies (Table 2). After Bonferroni correction, only the higher proportion of males in the fatty liver group remained statistically significant (Figure 2). The prevalence of comorbidities (DM, hypertension, AF, PVD, COPD, prior MI) did not differ significantly between the groups. Aortic root calcification showed a nonsignificant trend toward higher prevalence in the fatty liver subgroup.

Figure 2
Figure 2 Comparison of demographic and clinical characteristics between patients with fatty liver cirrhosis and those with cirrhosis of other etiologies. Horizontal bar chart illustrating differences in key variables between patients with fatty liver-related cirrhosis and those with cirrhosis due to other non-fatty etiologies. Displayed characteristics include male sex (%), body mass index (kg/m²), prevalence of hyperlipidemia (%), aortic root calcification (%), and median total calcium score. Patients with fatty liver cirrhosis showed a higher prevalence of hyperlipidemia and aortic root calcification, as well as a greater proportion of males, compared with patients with other etiologies, while body mass index and total calcium scores were similar between groups. P values are displayed to the right of each horizontal bar, adjacent to the corresponding group comparisons for every variable. Bold P values indicate statistical significance after Bonferroni correction. BMI: Body mass index; Ca: Calcium.
AVC

In the overall cohort (n = 246), patients with AVC (n = 125) were older than those without AVC [66.0 (62.0-71.0) vs 62.0 (56.0-68.0) years; P < 0.001] and more often had a history of cardiac surgery (12.9% vs 1.7%; P < 0.001). Posterior MAC was more common in the AVC group (71.2% vs 33.9%; P < 0.001). Semiquantitative scoring showed significantly higher aortic, mitral, and total calcium scores in patients with AVC (all P < 0.001).

Within both the LC and control strata, AVC was associated with older age [LC: 65.0 vs 61.5 years, P = 0.002; controls: 68.0 (62.8-72.3) vs 62.0 (57.8-68.5) years, P = 0.002], although these differences did not remain statistically significant after Bonferroni correction (Pc = 0.0018). Among patients with LC, AVC was strongly correlated with posterior MAC (77.2% vs 22.7%; P < 0.001); overall MAC (49.4% vs 18.2%; P < 0.001); and higher aortic, mitral, and total calcium scores (all P < 0.001) (Figure 3). In controls, AVC was associated with prior cardiac surgery (32.6% vs 2.6%; P < 0.001) and higher aortic and total calcium scores (both P < 0.001). Associations with PVD, CVI/TIA, and posterior MAC did not remain statistically significant after Bonferroni correction.

Figure 3
Figure 3 Demographic, clinical, and calcification characteristics in patients with and without aortic valve calcification, stratified by liver cirrhosis status. Horizontal bar chart comparing key variables across four groups: Controls without aortic valve calcification (AVC), controls with AVC, patients with liver cirrhosis (LC) without AVC, and those with LC with AVC. Displayed parameters include age (years), prior cardiac surgery (%), peripheral vascular disease (%), cerebrovascular insult/transient ischemic attack (%), aortic root calcification (%), total aortic calcium score, posterior mitral annular calcium score, mitral valve calcification (%), total mitral calcium score, and total calcium score. The chart highlights substantial differences in both valvular and vascular calcification burden between groups, with patients exhibiting AVC - especially those with LC - showing markedly elevated calcium scores and higher prevalence of associated vascular comorbidities. P values are displayed to the right of each horizontal bar, adjacent to the corresponding group comparisons for every variable. Bold P values indicate statistical significance after Bonferroni correction. Ca: Calcium; PVD: Peripheral vascular disease; CVI: Cerebrovascular insult; TIA: Transient ischemic attack; AVC: Aortic valve calcification; LC: Liver cirrhosis.
Logistic regression for AVC

After Bonferroni correction, univariate analyses identified older age, fatty LC, other LC etiologies, and MAC as significant predictors of AVC. As expected, aortic valve, mitral valve, and total calcium scores were all strongly associated with the presence of AVC (Table 3).

Table 3 Univariate and multivariate binary logistic regression analyses of factors associated with aortic valve calcification.
Variable
Univariate OR
95%CI
P value
Variable
Model
Multivariate OR
95%CI
P value
Age1.0721.039-1.106< 0.001aAgeIa1.0751.038-1.113< 0.001a
IIa1.0431.004-1.0840.030
IIIa1.0400.996-1.0870.076
Male sex0.9660.555-1.6810.903Gender, maleIa1.0430.548-1.9820.899
IIa1.0830.554-2.1160.816
IIIa1.7340.785-3.8310.174
BMI (kg/m²)0.9700.917-1.0270.296BMI (kg/m²)Ia0.9580.899-1.0210.187
IIa0.9290.868-0.9950.036
IIIa0.9060.837-0.9810.014
Fatty LC3.4321.796-6.556< 0.001aFatty LCIa3.3231.611-6.8530.001a
IIa2.8351.334-6.0280.007a
IIIa3.8731.529-9.8070.004a
Other causes of LC2.6501.414-4.9670.002Other causes of LCIa2.6371.311-5.3020.007a
IIa2.5521.234-5.2790.011
IIIa2.7901.180-6.5980.019
Previous cardiac surgery8.8151.981-39.2250.004Previous cardiac surgeryIIIa26.3634.907-141.635< 0.001a
Smoking0.6370.376-1.0790.093SmokingIIIa0.6550.310-1.3840.267
MI0.5580.298-1.0470.069MIIIIa0.4640.177-1.2150.118
PVD2.1130.909-4.9100.082PVDIIIa2.5050.836-7.5020.101
CVI/TIA3.4500.926-12.8600.065CVI/TIAIIIa4.1410.744-23.0490.105
Aortic root calcification1.6350.932-2.8680.087Aortic root calcificationIIIa0.4200.171-1.0280.058
Mitral annular calcification4.3642.540-7.477< 0.001aMitral annulus calcificationIIa3.9642.035-7.721< 0.001a
IIIa6.2782.718-14.500< 0.001a
Aortic valve Ca score2.1131.736-2.572< 0.001a-----
Mitral valve Ca score1.4801.225-1.788< 0.001a-----
Total Ca score2.1131.736-2.572< 0.001a-----

In multivariable analyses, age remained a significant predictor in model Ia but lost significance in models IIa and IIIa. Fatty LC showed a consistent independent association with AVC across models Ia-IIIa. MAC was a robust predictor in models IIa and IIIa. In the fully adjusted model (model IIIa), previous cardiac surgery showed the strongest association with AVC (OR = 26.4; P < 0.001) (Table 3). Smoking status, prior MI, PVD, CVI/TIA, and aortic root calcification were not independently associated with AVC after full adjustment.

ROC analysis showed progressive improvement in model discrimination, with AUCs of 0.717 for model Ia, 0.775 for model IIa, and 0.834 for model IIIa (all P < 0.001) (Figure 4A). Youden-optimal cutoffs were approximately 0.47, 0.48, and 0.53, yielding sensitivities of 72%, 80%, and 74% and specificities of 62%, 68%, and 81%, respectively. PR curves confirmed robust predictive ability, with Model IIIa providing the best balance between precision and recall (Figure 4B and C). Calibration was satisfactory, as indicated by nonsignificant Hosmer-Lemeshow test results [e.g., Model IIIa χ2 (8) = 5.51, P = 0.7], and calibration plots showed close alignment with the 45° reference line.

Figure 4
Figure 4 Discriminative performance, calibration, and receiver operating characteristic analysis of prediction models for aortic valve calcification. aThe standard error of the area under the curve (AUC) was calculated under the non-parametric assumption; bStatistical significance of the AUC was assessed using an asymptotic test against the null hypothesis of an area equal to 0.5. A: Discriminative performance and calibration of models Ia and IIa for predicting aortic valve calcification (AVC). The receiver operating characteristic (ROC) curve on the left illustrates the discriminative ability of model Ia for identifying individuals with AVC, accompanied by the corresponding AUC statistics and Hosmer-Lemeshow (HL) goodness-of-fit results. The ROC curve on the right displays the performance of model IIa, an extended predictive model that includes additional covariates. AUC values with standard errors, significance levels, and 95% confidence intervals are shown directly beneath each ROC curve. Model calibration is summarized using the HL goodness-of-fit test, with nonsignificant P values indicating good agreement between predicted and observed outcomes; B: ROC curve for the fully adjusted multivariable prediction model (model IIIa) of AVC; C: Calibration plot for the fully adjusted multivariable prediction model (model IIIa) of AVC. The ROC curve shows good discrimination, with an AUC of 0.834 (standard error 0027; 95% confidence interval: 0.780-0.887; P < 0.001). The calibration plot compares observed and predicted probabilities of AVC across deciles of predicted risk, with the diagonal indicating perfect calibration. Model calibration was adequate, as indicated by the nonsignificant Hosmer-Lemeshow goodness-of-fit test (χ2 = 5.509, df = 8, P = 0.702). ROC: Receiver operating characteristic.
MAC

In the overall cohort, patients with MAC (n = 137) were older [68.0 (62.0-73.0) vs 60.0 (54.0-65.0) years; P < 0.001], had higher BMI (28.9 ± 4.5 kg/m2 vs 26.9 ± 4.6 kg/m2; P = 0.001), and lower LVEF [64.0% (53.0%-65.0%) vs 65.0% (60.0%-66.0%); P < 0.001] (Figure 5). MAC was associated with a higher prevalence of AVC, aortic root calcification, mitral valve calcification, and subvalvular mitral apparatus calcification (all P < 0.001), as well as with higher aortic, mitral, and total calcium scores (all P < 0.001). Several comorbidities were more prevalent among patients with MAC (all P < 0.05); however, none remained significant after Bonferroni correction (Pc = 0.0018).

Figure 5
Figure 5 Comparison of demographic, clinical, and echocardiographic characteristics among patients with liver cirrhosis and non-cirrhotic controls stratified by the presence or absence of mitral annular calcification. Horizontal bars show the proportion of subjects (categorical variables, %) or median values (continuous variables) for each group: Liver cirrhosis + mitral annular calcification (MAC; black), Liver cirrhosis - MAC (dark gray), control + MAC (light gray), and control - MAC (very light gray). Displayed variables include age; body mass index; hypertension; hyperlipidemia; smoking; peripheral vascular disease; chronic obstructive pulmonary disease; myocardial infarction; left ventricular ejection fraction; left ventricular ejection fraction < 50%; chronic kidney disease stages I-II; aortic valve calcification; aortic root calcification; mitral valve calcification; subvalvular mitral apparatus calcification; and total aortic, mitral, and combined calcium scores. P values for between-group comparisons are indicated next to each characteristic. Bold P values indicate statistical significance after Bonferroni correction. For total aortic, mitral, and combined calcium scores, P values were identical across comparisons and are therefore shown only once. BMI: Body mass index; PVD: Peripheral vascular disease; COPD: Chronic obstructive pulmonary disease; LVEF: Left ventricular ejection fraction; CKD: Chronic kidney disease; AVC: Aortic valve calcification; LC: Liver cirrhosis; MAC: Mitral annular calcification; MI: Myocardial infarction; Ca: Calcium.

Across both LC and control strata, patients with MAC were older (LC: P = 0.006; controls: P < 0.001), with these associations remaining significant after Bonferroni correction. BMI was higher in patients with MAC in both strata; however, these differences did not reach Bonferroni adjusted significance. In the control group, hypertension and hyperlipidemia were markedly more prevalent among patients with MAC (P < 0.001 for both). Smoking, AF, PVD, and MI were also more frequent, with some associations reaching Bonferroni significance. LVEF was significantly lower in controls with MAC. AVC, aortic root calcification, and mitral valve calcifications were consistently more prevalent and severe in patients with MAC in both strata.

Logistic regression for MAC

Univariate analyses showed that MAC was associated with older age, higher BMI, DM, hyperlipidemia, AF, PVD, COPD, CKD, MI, fatty LC, and several echocardiographic variables (AVC, aortic root calcification, mitral valve calcification, and subvalvular calcification). After Bonferroni correction, associations with age, BMI, AVC, aortic root calcification, mitral valve calcification, subvalvular calcification, and all calcium scores remained statistically significant.

In multivariable analyses, model I (age, sex, BMI, and LC) identified age and BMI as independent predictors of MAC. Model IIb, which additionally incorporated aortic and mitral structural variables, confirmed age, BMI, fatty LC, AVC, and aortic root calcification as independent predictors (Table 4). In the fully adjusted model IIIb, fatty LC, other LC etiologies, BMI, AVC, and aortic root calcification remained strong independent predictors of MAC. Fatty LC displayed the strongest association (OR = 16.693; P < 0.001), followed by other LC etiologies (OR = 12.719; P < 0.001) and aortic root calcification (OR = 15.987; P < 0.001). Age was no longer significant in the fully adjusted model. Calcium scores were not included in the multivariable models.

Table 4 Univariate and multivariate binary logistic regression analysis of variables related to mitral annular calcification.
Variable
Univariate binary logistic regression
Variable
Multivariate binary logistic regression
OR
95 %CI
P value
Model
OR
95%CI
P value
Age1.1401.094-1.187< 0.001aAgeIb1.1411.092-1.193< 0.001a
IIb1.1021.041-1.167< 0.001a
IIIb1.0671.000-1.1370.050
Gender, male0.9990.572-1.7440.996Gender, maleIb0.8680.428-1.7590.694
IIb0.7150.303-1.6840.442
IIIb0.4390.157-1.2280.117
BMI, kg/m21.1041.038-1.1730.002BMI, kg/m2Ib1.1021.026-1.1830.008a
IIb1.1661.067-1.273< 0.001a
IIIb1.1691.061-1.2880.002a
DM2.0351.150-3.6030.015DMIIIb1.0490.425-2.5870.917
Hypertension1.6230.969-2.7190.066HypertensionIIIb1.2140.457-3.2210.697
Hyperlipidemia2.0551.217-3.4710.007HyperlipidemiaIIIb2.4230.900-6.5210.080
AF2.6551.141-6.1750.023AFIIIb3.1810.811-12.4730.097
PVD3.9411.440-10.7850.008PVDIIIb1.7080.352-8.2860.506
COPD4.3031.212-15.2740.024COPDIIIb5.1630.861-30.9660.072
CKD III2.8571.010-8.0820.048CKD IIIIIIb0.7260.130-4.0680.716
LVEF (%)0.9570.928-0.9870.006LVEF (%)IIIb0.9690.923-1.0160.194
MI2.4841.263-4.8860.008MIIIIb3.0601.014-9.2370.047
Fatty LC (NAFLD and AFLD)2.0171.063-3.8280.032Fatty LC (NAFLD and AFLD)Ib2.6771.204-5.9540.016
IIb4.4611.573-12.6560.005a
IIIb16.6933.843-72.512< 0.001a
Other causes of LC1.1950.648-2.2040.569Other causes of LCIb1.4750.692-3.1480.314
IIb3.1731.135-8.8710.028
IIIb12.7193.068-52.736< 0.001a
AVC4.3642.547-7.477< 0.001aAVCIIb5.3072.444-11.522< 0.001a
IIIb8.0793.263-20.004< 0.001a
Aortic root calcification8.9484.587-17.457< 0.001aAortic root calcificationIIb7.1852.827-18.257< 0.001a
IIIb15.9874.630-55.203< 0.001a
Mitral valve calcification3.6702.161-6.232< 0.001aMitral valve calcificationIIb4.7902.077-11.044< 0.001a
IIIb4.2291.634-10.9470.003
Posterior mitral leaflet restriction3.7620.796-17.7860.095Posterior mitral leaflet restrictionIIIb17.8621.036-307.8710.047
Subvalvular mitral apparatus calcification2.9111.710-4.956< 0.001aSubvalvular mitral apparatus calcificationIIb1.9010.910-3.9720.087
IIIb1.4580.640-3.3210.369
Aortic valve Ca score2.7611.980-3.850< 0.001a-----
Mitral valve Ca score13.8957.248-26.638< 0.001a-----
Total Ca score4.8003.233-7.128< 0.001a-----

ROC analyses demonstrated progressive improvement in discrimination across models: Model IB AUC = 0.790 (95%CI: 0.731-0.849; P < 0.001); model IIb AUC = 0.889 (95%CI: 0.848-0.929; P < 0.001) (Figure 6A and B); model IIIb AUC = 0.917 (95%CI: 0.883-0.952; P < 0.001) (Figure 6C and D). Youden-optimal thresholds were 0.52 (sensitivity 78%, specificity 66%), 0.54 (sensitivity 84%, specificity 80%), and 0.52 (sensitivity 89%, specificity 82%) for models IB, IIb, and IIIb, respectively. PR curves showed high precision at the optimal cutoffs (0.74, 0.84, and 0.86, respectively) and sustained performance across a broad range of recall values. Calibration was satisfactory, as the decile-based calibration plot closely followed the 45° reference line, and the Hosmer-Lemeshow test for Model IIIb was nonsignificant [χ2 (8) = 11.27, df = 8, P = 0.187], supporting adequate model calibration (Figure 6C and D).

Figure 6
Figure 6 Receiver operating characteristic curves and calibration analysis of logistic regression models for predicting mitral annular calcification. aThe standard error of the area under the curve (AUC) was calculated under the non-parametric assumption; bStatistical significance of the AUC was assessed using an asymptotic test against the null hypothesis of an area equal to 0.5. A: Receiver operating characteristic (ROC) curves for multivariable logistic regression models Ib; B: ROC curves for multivariable logistic regression model IIb. Model Ib demonstrated moderate discrimination [AUC 0.790; 95% confidence interval (CI): 0.731-0.849, P < 0.001; Hosmer-Lemeshow (HL) χ2 = 8.767, df = 8, P = 0.362]. Model IIb showed improved discrimination (AUC 0.889; 95%CI: 0.848-0.929; P < 0.001) and good calibration (HL χ2 = 4.991, df = 8, P = 0.759). The diagonal line indicates the reference line (AUC = 0.5); C: The ROC curve for the fully adjusted multivariable prediction model (model IIIb) shows excellent discriminative performance, with an AUC of 0.917 (95%CI: 0.883-0.952; P < 0.001); D: The calibration plot compares observed event rates with predicted probabilities across deciles of predicted risk, with the diagonal line indicating perfect calibration. Model calibration was adequate, as indicated by the HL goodness-of-fit test: χ2 = 11.267, df = 8, P = 0.187. ROC: Receiver operating characteristic.
DISCUSSION

We examined the relationship between LC and valvular calcification, focusing on AVC and MAC. Multivariate analyses showed that fatty LC (NAFLD/MAFLD and AFLD) was significantly associated with AVC, while LC of any cause was independently associated with MAC. In the overall cohort, AVC was also related to previous cardiac surgery (typically for atherosclerotic ischemic heart disease) and to MAC. MAC was associated with higher BMI, AVC, aortic root calcification, mitral valve calcification, and subvalvular calcification.

Controls - selected to be free of cirrhosis and without indications for valve surgery -had a higher burden of traditional cardiovascular risk factors and disease, including hyperlipidemia, smoking, hypertension, prior MI, and prior cardiac surgery. They also had lower LVEF, a higher prevalence of PVD/CVI/TIA, and a higher frequency of MAC, whereas AVC was more common in patients with LC. Despite these contrasts, aortic, mitral, and total calcium scores did not differ between the LC and control groups. Subgroup analyses showed that patients with AVC or MAC were older and had higher calcium scores; MAC was linked to higher BMI and lower LVEF, whereas AVC was associated with posterior MAC and higher aortic/total calcium scores. Within the LC cohort, patients with MAC exhibited higher BMI and more diffuse valvular and annular calcification, while those with AVC showed a higher prevalence of posterior MAC/MAC and higher calcium scores. In controls, MAC clustered with multiple cardiovascular risk factors and reduced LVEF, whereas AVC was primarily associated with higher calcium scores and a history of cardiac surgery.

These findings support the concept of adverse cardiovascular remodeling in cirrhosis - particularly in metabolic liver disease - and are consistent with prior studies linking NAFLD with aortic or mitral valve calcification and sclerosis[21-31]. In parallel, additional studies have reported associations between NAFLD and coronary artery disease, abdominal aortic calcification, and other forms of arterial calcification[32-46], supporting the concept of a systemic pro-calcific cardiovascular phenotype in advanced metabolic liver disease. Mechanistically, systemic inflammation, insulin resistance, oxidative stress, dyslipidemia, and CKD - central to NAFLD and AFLD - may promote endothelial dysfunction and osteogenic transformation of valvular interstitial cells, driving fibrocalcific remodeling[28,47-56]. Emerging data implicate ferroptosis as an additional pathway[57,58]. Further studies are needed to elucidate key hepatic-cardiovascular signaling pathways and identify potential therapeutic targets.

Patients with concomitant LC and valvular disease are a complex and high-risk population. Targeted medical therapy aimed at reducing systemic inflammation, improving endothelial function, and managing metabolic comorbidities may help slow the progression of both hepatic and valvular disease. Evidence suggests potential benefits of renin-angiotensin-aldosterone system inhibitors in compensated cirrhosis and in aortic stenosis/valvular calcification, possibly via modulation of intrahepatic resistance and attenuation of inflammatory/osteogenic signaling[59-64]. These strategies warrant prospective evaluation in this overlap population.

Clinical applicability for risk stratification

As ROC and calibration analyses demonstrated good model performance for both endpoints, the proposed models appear suitable for risk stratification in patients with cirrhosis. For AVC, the fully adjusted Model IIIa demonstrated strong discrimination (AUC = 0.834; 95%CI: 0.780-0.887) and good calibration [Hosmer-Lemeshow χ2 (8) = 5.51, P = 0.70]; application of the Youden-optimal probability threshold (approximately 0.53) yielded 74% sensitivity and 81% specificity. For MAC, the fully adjusted Model IIIb achieved excellent discrimination (AUC 0.917; 95%CI: 0.883-0.952) with adequate calibration [χ2 (8) = 11.27, P = 0.187]; at its optimal cutoff (0.52), sensitivity and specificity were 89% and 82%, respectively, with precision and NPV approximating 0.86 in this cohort.

These operating characteristics support the incorporation of these models into pragmatic risk-stratification workflows in hepatology and transplant evaluation clinics. Patients with predicted probabilities at or above the model-specific cutoffs (≥ 0.53 for AVC; ≥ 0.52 for MAC) can be flagged as high risk for closer echocardiographic follow-up, targeted adjunct imaging (e.g., CT when clinically indicated), and intensified management of modifiable cardiometabolic risk factors. Patients with predicted probabilities well below these thresholds may continue routine surveillance, while those in an intermediate-risk range may benefit from short interval reassessment and targeted risk factor optimization. As optimal thresholds and predictive values depend on local prevalence and the relative consequences of false-positive and false-negative classifications, external validation, site-level recalibration, and decision curve analysis are recommended before clinical implementation, including potential embedding of these models as electronic health record-based point-of-care risk tools.

Implications for clinical practice

The validated performance of the fully adjusted models: Model IIIa for AVC [AUC 0.834; well calibrated at χ2 (8) = 5.51, P = 0.70] and model IIIb for MAC [AUC 0.917; well calibrated at χ2 (8) = 11.27, P = 0.187] - supports their potential clinical applicability for risk stratification in patients with cirrhosis. Probability thresholds near the Youden-optimal values (0.53 for AVC; 0.52 for MAC) can help identify high-risk patients who warrant intensified surveillance and targeted cardiovascular management within multidisciplinary care pathways. Future studies should focus on external validation, local recalibration, and net benefit evaluation to facilitate safe clinical implementation, including potential integration into electronic health record-based decision-support tools, and to tailor thresholds to institutional disease prevalence and clinical priorities.

Limitations

This study has several limitations. Its single center design, modest sample size, and inclusion of a Croatian cohort may limit generalizability. The cross-sectional design precludes causal inference. Despite multivariable adjustment, residual confounding cannot be excluded. Finally, while echocardiographic calcium scoring is validated and practical, it is less sensitive than CT for detecting subclinical calcification.

CONCLUSION

LC is significantly associated with valvular calcification. Fatty liver-related cirrhosis (NAFLD/MAFLD and AFLD) is independently linked to AVC, while cirrhosis of any cause is associated with MAC. Despite fewer traditional cardiovascular risk factors, patients with cirrhosis exhibited substantial calcific burden with patterns distinct from those of cardiovascular controls. Subgroup analyses demonstrated higher calcium scores and broader structural involvement in both AVC and MAC, suggesting shared pathophysiologic pathways linking hepatic dysfunction to ectopic valvular calcification. These results support the need for cardiovascular screening in patients with LC -especially those with fatty liver disease - and underscore the importance of a multidisciplinary approach that includes systematic surveillance for valvular pathology. Future studies should elucidate liver-valve crosstalk and evaluate therapies, including renin-angiotensin-aldosterone system inhibition, aimed at delaying the progression of both hepatic fibrosis and valvular calcification. Early identification and management of valvular involvement in LC may be critical for improving long-term outcomes in this growing patient population.

References
1.  GBD 2017 Cirrhosis Collaborators. The global, regional, and national burden of cirrhosis by cause in 195 countries and territories, 1990-2017: a systematic analysis for the Global Burden of Disease Study 2017. Lancet Gastroenterol Hepatol. 2020;5:245-266.  [RCA]  [PubMed]  [DOI]  [Full Text]  [Cited by in Crossref: 1329]  [Cited by in RCA: 1155]  [Article Influence: 192.5]  [Reference Citation Analysis (4)]
2.  Ginès P, Krag A, Abraldes JG, Solà E, Fabrellas N, Kamath PS. Liver cirrhosis. Lancet. 2021;398:1359-1376.  [RCA]  [PubMed]  [DOI]  [Full Text]  [Cited by in Crossref: 1345]  [Cited by in RCA: 1141]  [Article Influence: 228.2]  [Reference Citation Analysis (1)]
3.  Crabb DW, Im GY, Szabo G, Mellinger JL, Lucey MR. Diagnosis and Treatment of Alcohol-Associated Liver Diseases: 2019 Practice Guidance From the American Association for the Study of Liver Diseases. Hepatology. 2020;71:306-333.  [RCA]  [PubMed]  [DOI]  [Full Text]  [Cited by in Crossref: 769]  [Cited by in RCA: 663]  [Article Influence: 110.5]  [Reference Citation Analysis (1)]
4.  Eslam M, Sanyal AJ, George J; International Consensus Panel. MAFLD: A Consensus-Driven Proposed Nomenclature for Metabolic Associated Fatty Liver Disease. Gastroenterology. 2020;158:1999-2014.e1.  [RCA]  [PubMed]  [DOI]  [Full Text]  [Cited by in Crossref: 2794]  [Cited by in RCA: 2484]  [Article Influence: 414.0]  [Reference Citation Analysis (1)]
5.  Nalbantoglu I, Jain D. Cryptogenic cirrhosis: Old and new perspectives in the era of molecular and genomic medicine. Semin Diagn Pathol. 2019;36:389-394.  [RCA]  [PubMed]  [DOI]  [Full Text]  [Cited by in Crossref: 11]  [Cited by in RCA: 10]  [Article Influence: 1.4]  [Reference Citation Analysis (0)]
6.  Møller S, Henriksen JH, Bendtsen F. Extrahepatic complications to cirrhosis and portal hypertension: haemodynamic and homeostatic aspects. World J Gastroenterol. 2014;20:15499-15517.  [PubMed]  [DOI]  [Full Text]
7.  Møller S, Bendtsen F. Cirrhotic Multiorgan Syndrome. Dig Dis Sci. 2015;60:3209-3225.  [RCA]  [PubMed]  [DOI]  [Full Text]  [Cited by in Crossref: 49]  [Cited by in RCA: 42]  [Article Influence: 3.8]  [Reference Citation Analysis (3)]
8.  Henriksen JH, Møller S. Cardiac and systemic haemodynamic complications of liver cirrhosis. Scand Cardiovasc J. 2009;43:218-225.  [RCA]  [PubMed]  [DOI]  [Full Text]  [Cited by in Crossref: 45]  [Cited by in RCA: 37]  [Article Influence: 2.2]  [Reference Citation Analysis (0)]
9.  Dourakis SP, Geladari E, Geladari C, Vallianou N. Cirrhotic Cardiomyopathy: The Interplay Between Liver and Cardiac Muscle. How Does the Cardiovascular System React When the Liver is Diseased? Curr Cardiol Rev. 2021;17:78-84.  [RCA]  [PubMed]  [DOI]  [Full Text]  [Cited by in Crossref: 27]  [Cited by in RCA: 20]  [Article Influence: 4.0]  [Reference Citation Analysis (0)]
10.  Scalzo N, Canastar M, Lebovics E. Part 1: Disease of the Heart and Liver: A Relationship That Cuts Both Ways. Cardiol Rev. 2022;30:111-122.  [RCA]  [PubMed]  [DOI]  [Full Text]  [Cited by in Crossref: 6]  [Cited by in RCA: 4]  [Article Influence: 1.0]  [Reference Citation Analysis (4)]
11.  El Hadi H, Di Vincenzo A, Vettor R, Rossato M. Relationship between Heart Disease and Liver Disease: A Two-Way Street. Cells. 2020;9:567.  [RCA]  [PubMed]  [DOI]  [Full Text]  [Full Text (PDF)]  [Cited by in Crossref: 147]  [Cited by in RCA: 115]  [Article Influence: 19.2]  [Reference Citation Analysis (1)]
12.  Deleuran T, Schmidt M, Vilstrup H, Jepsen P. Time-dependent incidence and risk for myocardial infarction in patients with alcoholic cirrhosis. Eur J Clin Invest. 2020;50:e13205.  [RCA]  [PubMed]  [DOI]  [Full Text]  [Cited by in Crossref: 5]  [Cited by in RCA: 7]  [Article Influence: 1.2]  [Reference Citation Analysis (0)]
13.  Kazankov K, Munk K, Øvrehus KA, Jensen JM, Siggaard CB, Grønbaek H, Nørgaard BL, Vilstrup H. High burden of coronary atherosclerosis in patients with cirrhosis. Eur J Clin Invest. 2017;47:565-573.  [RCA]  [PubMed]  [DOI]  [Full Text]  [Cited by in Crossref: 19]  [Cited by in RCA: 19]  [Article Influence: 2.1]  [Reference Citation Analysis (0)]
14.  Xiao J, Yong JN, Ng CH, Syn N, Lim WH, Tan DJH, Tan EY, Huang D, Wong RC, Chew NWS, Tan EXX, Noureddin M, Siddiqui MS, Muthiah MD. A Meta-Analysis and Systematic Review on the Global Prevalence, Risk Factors, and Outcomes of Coronary Artery Disease in Liver Transplantation Recipients. Liver Transpl. 2022;28:689-699.  [RCA]  [PubMed]  [DOI]  [Full Text]  [Cited by in Crossref: 25]  [Cited by in RCA: 25]  [Article Influence: 6.3]  [Reference Citation Analysis (0)]
15.  Jin JL, Zhang HW, Cao YX, Liu HH, Hua Q, Li YF, Zhang Y, Guo YL, Wu NQ, Zhu CG, Xu RX, Gao Y, Cui CJ, Liu G, Sun J, Dong Q, Li JJ. Liver fibrosis scores and coronary atherosclerosis: novel findings in patients with stable coronary artery disease. Hepatol Int. 2021;15:413-423.  [RCA]  [PubMed]  [DOI]  [Full Text]  [Cited by in Crossref: 50]  [Cited by in RCA: 43]  [Article Influence: 8.6]  [Reference Citation Analysis (0)]
16.  Gu C, Dong L, Chai L, Tong Z, Gao F, Ageno W, Romeiro FG, Qi X. Risk of Coronary Artery Disease in Patients with Liver Cirrhosis: A Systematic Review and Meta-analysis. J Clin Transl Hepatol. 2025;13:93-104.  [RCA]  [PubMed]  [DOI]  [Full Text]  [Cited by in Crossref: 6]  [Cited by in RCA: 4]  [Article Influence: 4.0]  [Reference Citation Analysis (1)]
17.  Chen HY, Engert JC, Thanassoulis G. Risk factors for valvular calcification. Curr Opin Endocrinol Diabetes Obes. 2019;26:96-102.  [RCA]  [PubMed]  [DOI]  [Full Text]  [Cited by in Crossref: 55]  [Cited by in RCA: 46]  [Article Influence: 6.6]  [Reference Citation Analysis (0)]
18.  Pressman GS, Crudu V, Parameswaran-Chandrika A, Romero-Corral A, Purushottam B, Figueredo VM. Can total cardiac calcium predict the coronary calcium score? Int J Cardiol. 2011;146:202-206.  [RCA]  [PubMed]  [DOI]  [Full Text]  [Cited by in Crossref: 45]  [Cited by in RCA: 39]  [Article Influence: 2.6]  [Reference Citation Analysis (0)]
19.  Sheng SP, Howell LA, Caughey MC, Yeung M, Vavalle JP. Relation of an Echocardiographic-Based Cardiac Calcium Score to Mitral Stenosis Severity and Coronary Artery Disease in Patients with Severe Aortic Stenosis. Am J Cardiol. 2018;121:249-255.  [RCA]  [PubMed]  [DOI]  [Full Text]  [Cited by in Crossref: 4]  [Cited by in RCA: 3]  [Article Influence: 0.4]  [Reference Citation Analysis (0)]
20.  Pethő ÁG, Tapolyai M, Csongrádi É, Orosz P. Management of chronic kidney disease: The current novel and forgotten therapies. J Clin Transl Endocrinol. 2024;36:100354.  [RCA]  [PubMed]  [DOI]  [Full Text]  [Full Text (PDF)]  [Cited by in Crossref: 18]  [Cited by in RCA: 12]  [Article Influence: 6.0]  [Reference Citation Analysis (0)]
21.  Rossi A, Targher G, Zoppini G, Cicoira M, Bonapace S, Negri C, Stoico V, Faggiano P, Vassanelli C, Bonora E. Aortic and mitral annular calcifications are predictive of all-cause and cardiovascular mortality in patients with type 2 diabetes. Diabetes Care. 2012;35:1781-1786.  [RCA]  [PubMed]  [DOI]  [Full Text]  [Full Text (PDF)]  [Cited by in Crossref: 64]  [Cited by in RCA: 59]  [Article Influence: 4.2]  [Reference Citation Analysis (0)]
22.  Fukui M, Cavalcante JL, Ahmed A, Bae R, Bapat VN, Gössl M, Garcia S, Enriquez-Sarano M, Sorajja P. Clinical Outcomes of Mitral Valve Disease With Mitral Annular Calcification. Am J Cardiol. 2022;174:107-113.  [RCA]  [PubMed]  [DOI]  [Full Text]  [Cited by in Crossref: 17]  [Cited by in RCA: 13]  [Article Influence: 3.3]  [Reference Citation Analysis (0)]
23.  Yadgir S, Johnson CO, Aboyans V, Adebayo OM, Adedoyin RA, Afarideh M, Alahdab F, Alashi A, Alipour V, Arabloo J, Azari S, Barthelemy CM, Benziger CP, Berman AE, Bijani A, Carrero JJ, Carvalho F, Daryani A, Durães AR, Esteghamati A, Farid TA, Farzadfar F, Fernandes E, Filip I, Gad MM, Hamidi S, Hay SI, Ilesanmi OS, Naghibi Irvani SS, Jürisson M, Kasaeian A, Kengne AP, Khan AR, Kisa A, Kisa S, Kolte D, Manafi N, Manafi A, Mensah GA, Mirrakhimov EM, Mohammad Y, Mokdad AH, Negoi RI, Thi Nguyen HL, Nguyen TH, Nixon MR, Otto CM, Patel S, Pilgrim T, Radfar A, Rawaf DL, Rawaf S, Rawasia WF, Rezapour A, Roever L, Saad AM, Saadatagah S, Senthilkumaran S, Sliwa K, Tesfay BE, Tran BX, Ullah I, Vaduganathan M, Vasankari TJ, Wolfe CDA, Yonemoto N, Roth GA; Global Burden of Disease Study 2017 Nonrheumatic Valve Disease Collaborators. Global, Regional, and National Burden of Calcific Aortic Valve and Degenerative Mitral Valve Diseases, 1990-2017. Circulation. 2020;141:1670-1680.  [RCA]  [PubMed]  [DOI]  [Full Text]  [Cited by in Crossref: 397]  [Cited by in RCA: 365]  [Article Influence: 60.8]  [Reference Citation Analysis (0)]
24.  Ahmed T, Misumida N, Grigorian A, Tarantini G, Messerli AW. Transcatheter interventions for valvular heart diseases in liver cirrhosis patients. Trends Cardiovasc Med. 2023;33:242-249.  [RCA]  [PubMed]  [DOI]  [Full Text]  [Cited by in Crossref: 13]  [Cited by in RCA: 15]  [Article Influence: 5.0]  [Reference Citation Analysis (0)]
25.  Markus MR, Baumeister SE, Stritzke J, Dörr M, Wallaschofski H, Völzke H, Lieb W. Hepatic steatosis is associated with aortic valve sclerosis in the general population: the Study of Health in Pomerania (SHIP). Arterioscler Thromb Vasc Biol. 2013;33:1690-1695.  [RCA]  [PubMed]  [DOI]  [Full Text]  [Cited by in Crossref: 55]  [Cited by in RCA: 54]  [Article Influence: 4.2]  [Reference Citation Analysis (1)]
26.  Bonapace S, Valbusa F, Bertolini L, Pichiri I, Mantovani A, Rossi A, Zenari L, Barbieri E, Targher G. Nonalcoholic fatty liver disease is associated with aortic valve sclerosis in patients with type 2 diabetes mellitus. PLoS One. 2014;9:e88371.  [RCA]  [PubMed]  [DOI]  [Full Text]  [Full Text (PDF)]  [Cited by in Crossref: 52]  [Cited by in RCA: 52]  [Article Influence: 4.3]  [Reference Citation Analysis (0)]
27.  Mantovani A, Pernigo M, Bergamini C, Bonapace S, Lipari P, Valbusa F, Bertolini L, Zenari L, Pichiri I, Dauriz M, Zoppini G, Barbieri E, Byrne CD, Bonora E, Targher G. Heart valve calcification in patients with type 2 diabetes and nonalcoholic fatty liver disease. Metabolism. 2015;64:879-887.  [RCA]  [PubMed]  [DOI]  [Full Text]  [Cited by in Crossref: 95]  [Cited by in RCA: 83]  [Article Influence: 7.5]  [Reference Citation Analysis (0)]
28.  Hao QY, Zeng YH, Lin Y, Guo JB, Li SC, Yang PZ, Gao JW, Li ZH. Observational and genetic association of non-alcoholic fatty liver disease and calcific aortic valve disease. Front Endocrinol (Lausanne). 2024;15:1421642.  [RCA]  [PubMed]  [DOI]  [Full Text]  [Full Text (PDF)]  [Cited by in Crossref: 5]  [Cited by in RCA: 5]  [Article Influence: 2.5]  [Reference Citation Analysis (0)]
29.  Cozzolino D, Nevola R, Ruggiero A, Romano C, Umano GR, Aitella E, Sardu C, Marrone A, Gentile S. The Cross-Talk Between the Heart and the Liver: The Involvement of the Mitral Valve as a Novel Actor upon the Ancient Scene of Liver Cirrhosis. J Cardiovasc Dev Dis. 2025;12:76.  [RCA]  [PubMed]  [DOI]  [Full Text]  [Full Text (PDF)]  [Cited by in Crossref: 1]  [Cited by in RCA: 1]  [Article Influence: 1.0]  [Reference Citation Analysis (0)]
30.  Fukazawa K, Quinlan CA, Pretto EA Jr, Fong CT, Reyes JD, Gologorsky E. Chronic Moderate Aortic Regurgitation in Liver Transplantation: Prevalence, Perioperative Management, and Short-Term Outcomes. J Cardiothorac Vasc Anesth. 2019;33:584-587.  [RCA]  [PubMed]  [DOI]  [Full Text]  [Cited by in Crossref: 7]  [Cited by in RCA: 7]  [Article Influence: 1.0]  [Reference Citation Analysis (0)]
31.  Arman HE, Ali SA, Zenisek J, Patidar KR, Orman E, Elsner N, Ofner S, Li X, Kubal C, Frick K. Assessment of Vascular and Valvular Calcification Improves Screening for Coronary Artery Disease Before Liver Transplantation. Am J Cardiol. 2023;191:23-31.  [RCA]  [PubMed]  [DOI]  [Full Text]  [Cited by in Crossref: 4]  [Cited by in RCA: 4]  [Article Influence: 1.3]  [Reference Citation Analysis (0)]
32.  Ergül E, Emlek N, Yılmaz AS, Öztürk M, Aydın C, Durak H, Çetin M. Non-alcoholic faty liver disease and liver fibrosis score have an independent relationship with the presence of mitral annular calcification. Int J Cardiovasc Imaging. 2023;39:1431-1436.  [RCA]  [PubMed]  [DOI]  [Full Text]  [Cited by in Crossref: 2]  [Cited by in RCA: 2]  [Article Influence: 0.7]  [Reference Citation Analysis (0)]
33.  Chang Y, Ryu S, Sung KC, Cho YK, Sung E, Kim HN, Jung HS, Yun KE, Ahn J, Shin H, Wild SH, Byrne CD. Alcoholic and non-alcoholic fatty liver disease and associations with coronary artery calcification: evidence from the Kangbuk Samsung Health Study. Gut. 2019;68:1667-1675.  [RCA]  [PubMed]  [DOI]  [Full Text]  [Cited by in Crossref: 134]  [Cited by in RCA: 130]  [Article Influence: 18.6]  [Reference Citation Analysis (0)]
34.  Jaruvongvanich V, Wirunsawanya K, Sanguankeo A, Upala S. Nonalcoholic fatty liver disease is associated with coronary artery calcification: A systematic review and meta-analysis. Dig Liver Dis. 2016;48:1410-1417.  [RCA]  [PubMed]  [DOI]  [Full Text]  [Cited by in Crossref: 70]  [Cited by in RCA: 68]  [Article Influence: 6.8]  [Reference Citation Analysis (0)]
35.  Cho YK, Kang YM, Yoo JH, Lee J, Lee SE, Yang DH, Kang JW, Park JY, Jung CH, Kim HK, Lee WJ. The impact of non-alcoholic fatty liver disease and metabolic syndrome on the progression of coronary artery calcification. Sci Rep. 2018;8:12004.  [RCA]  [PubMed]  [DOI]  [Full Text]  [Full Text (PDF)]  [Cited by in Crossref: 27]  [Cited by in RCA: 25]  [Article Influence: 3.1]  [Reference Citation Analysis (0)]
36.  Kang YM, Jung CH, Cho YK, Lee SE, Lee MJ, Hwang JY, Kim EH, Park JY, Lee WJ, Kim HK. Fatty liver disease determines the progression of coronary artery calcification in a metabolically healthy obese population. PLoS One. 2017;12:e0175762.  [RCA]  [PubMed]  [DOI]  [Full Text]  [Full Text (PDF)]  [Cited by in Crossref: 12]  [Cited by in RCA: 7]  [Article Influence: 0.8]  [Reference Citation Analysis (0)]
37.  Lee J, Kim HS, Cho YK, Kim EH, Lee MJ, Bae IY, Jung CH, Park JY, Kim HK, Lee WJ. Association between noninvasive assessment of liver fibrosis and coronary artery calcification progression in patients with nonalcoholic fatty liver disease. Sci Rep. 2020;10:18323.  [RCA]  [PubMed]  [DOI]  [Full Text]  [Full Text (PDF)]  [Cited by in Crossref: 30]  [Cited by in RCA: 30]  [Article Influence: 5.0]  [Reference Citation Analysis (0)]
38.  Song DS, Chang UI, Kang SG, Song SW, Yang JM. Noninvasive Serum Fibrosis Markers are Associated with Coronary Artery Calcification in Patients with Nonalcoholic Fatty Liver Disease. Gut Liver. 2019;13:658-668.  [RCA]  [PubMed]  [DOI]  [Full Text]  [Full Text (PDF)]  [Cited by in Crossref: 43]  [Cited by in RCA: 39]  [Article Influence: 5.6]  [Reference Citation Analysis (0)]
39.  Park HE, Kwak MS, Kim D, Kim MK, Cha MJ, Choi SY. Nonalcoholic Fatty Liver Disease Is Associated With Coronary Artery Calcification Development: A Longitudinal Study. J Clin Endocrinol Metab. 2016;101:3134-3143.  [RCA]  [PubMed]  [DOI]  [Full Text]  [Cited by in Crossref: 57]  [Cited by in RCA: 54]  [Article Influence: 5.4]  [Reference Citation Analysis (0)]
40.  Sinn DH, Kang D, Chang Y, Ryu S, Gu S, Kim H, Seong D, Cho SJ, Yi BK, Park HD, Paik SW, Song YB, Lazo M, Lima JA, Guallar E, Cho J, Gwak GY. Non-alcoholic fatty liver disease and progression of coronary artery calcium score: a retrospective cohort study. Gut. 2017;66:323-329.  [RCA]  [PubMed]  [DOI]  [Full Text]  [Cited by in Crossref: 143]  [Cited by in RCA: 138]  [Article Influence: 15.3]  [Reference Citation Analysis (0)]
41.  Abosheaishaa H, Hussein M, Ghallab M, Abdelhamid M, Balassiano N, Ahammed MR, Baig MA, Khan J, Elshair M, Soliman MY, Abdelwahed M, Ali A, Alzamzamy A, Nassar M. Association between non-alcoholic fatty liver disease and coronary artery disease outcomes: A systematic review and meta-analysis. Diabetes Metab Syndr. 2024;18:102938.  [RCA]  [PubMed]  [DOI]  [Full Text]  [Cited by in Crossref: 25]  [Cited by in RCA: 19]  [Article Influence: 9.5]  [Reference Citation Analysis (0)]
42.  Lee SB, Park GM, Lee JY, Lee BU, Park JH, Kim BG, Jung SW, Jeong ID, Bang SJ, Shin JW, Park NH, Yang DH, Kang JW, Lim TH, Kim HK, Choe J, Lee HC. Association between non-alcoholic fatty liver disease and subclinical coronary atherosclerosis: An observational cohort study. J Hepatol. 2018;68:1018-1024.  [RCA]  [PubMed]  [DOI]  [Full Text]  [Cited by in Crossref: 128]  [Cited by in RCA: 123]  [Article Influence: 15.4]  [Reference Citation Analysis (1)]
43.  Oni E, Budoff MJ, Zeb I, Li D, Veledar E, Polak JF, Blankstein R, Wong ND, Blaha MJ, Agatston A, Blumenthal RS, Nasir K. Nonalcoholic Fatty Liver Disease Is Associated With Arterial Distensibility and Carotid Intima-Media Thickness: (from the Multi-Ethnic Study of Atherosclerosis). Am J Cardiol. 2019;124:534-538.  [RCA]  [PubMed]  [DOI]  [Full Text]  [Cited by in Crossref: 35]  [Cited by in RCA: 33]  [Article Influence: 4.7]  [Reference Citation Analysis (0)]
44.  Remigio-Baker RA, Allison MA, Forbang NI, Loomba R, Anderson CAM, Budoff M, Schwimmer JB, Blumenthal RS, Ouyang P, Criqui MH. Race/ethnic and sex disparities in the non-alcoholic fatty liver disease-abdominal aortic calcification association: The Multi-Ethnic Study of Atherosclerosis. Atherosclerosis. 2017;258:89-96.  [RCA]  [PubMed]  [DOI]  [Full Text]  [Full Text (PDF)]  [Cited by in Crossref: 21]  [Cited by in RCA: 22]  [Article Influence: 2.4]  [Reference Citation Analysis (0)]
45.  Laurain A, Rubera I, Razzouk-Cadet M, Bonnafous S, Albuquerque M, Paradis V, Patouraux S, Duranton C, Lesaux O, Lefthériotis G, Tran A, Anty R, Gual P, Iannelli A, Favre G. Arterial Calcifications in Patients with Liver Cirrhosis Are Linked to Hepatic Deficiency of Pyrophosphate Production Restored by Liver Transplantation. Biomedicines. 2022;10:1496.  [RCA]  [PubMed]  [DOI]  [Full Text]  [Full Text (PDF)]  [Cited by in Crossref: 10]  [Cited by in RCA: 8]  [Article Influence: 2.0]  [Reference Citation Analysis (0)]
46.  Horbal SR, Belancourt PX, Zhang P, Holcombe SA, Saini S, Wang SC, Sales AE, Su GL. Independent Associations of Aortic Calcification with Cirrhosis and Liver Related Mortality in Veterans with Chronic Liver Disease. Dig Dis Sci. 2024;69:2681-2690.  [RCA]  [PubMed]  [DOI]  [Full Text]  [Full Text (PDF)]  [Cited by in Crossref: 2]  [Cited by in RCA: 2]  [Article Influence: 1.0]  [Reference Citation Analysis (0)]
47.  Johnston MP, Patel J, Byrne CD. Causes of Mortality in Non-Alcoholic Fatty Liver Disease (NAFLD) and Alcohol Related Fatty Liver Disease (AFLD). Curr Pharm Des. 2020;26:1079-1092.  [RCA]  [PubMed]  [DOI]  [Full Text]  [Cited by in Crossref: 46]  [Cited by in RCA: 45]  [Article Influence: 7.5]  [Reference Citation Analysis (0)]
48.  Zhang P, Wang W, Mao M, Gao R, Shi W, Li D, Calderone R, Sui B, Tian X, Meng X. Similarities and Differences: A Comparative Review of the Molecular Mechanisms and Effectors of NAFLD and AFLD. Front Physiol. 2021;12:710285.  [RCA]  [PubMed]  [DOI]  [Full Text]  [Full Text (PDF)]  [Cited by in Crossref: 24]  [Cited by in RCA: 23]  [Article Influence: 4.6]  [Reference Citation Analysis (0)]
49.  Targher G, Day CP, Bonora E. Risk of cardiovascular disease in patients with nonalcoholic fatty liver disease. N Engl J Med. 2010;363:1341-1350.  [RCA]  [PubMed]  [DOI]  [Full Text]  [Cited by in Crossref: 1609]  [Cited by in RCA: 1494]  [Article Influence: 93.4]  [Reference Citation Analysis (0)]
50.  Targher G, Byrne CD, Tilg H. NAFLD and increased risk of cardiovascular disease: clinical associations, pathophysiological mechanisms and pharmacological implications. Gut. 2020;69:1691-1705.  [RCA]  [PubMed]  [DOI]  [Full Text]  [Cited by in Crossref: 687]  [Cited by in RCA: 610]  [Article Influence: 101.7]  [Reference Citation Analysis (0)]
51.  Fricker ZP, Pedley A, Massaro JM, Vasan RS, Hoffmann U, Benjamin EJ, Long MT. Liver Fat Is Associated With Markers of Inflammation and Oxidative Stress in Analysis of Data From the Framingham Heart Study. Clin Gastroenterol Hepatol. 2019;17:1157-1164.e4.  [RCA]  [PubMed]  [DOI]  [Full Text]  [Full Text (PDF)]  [Cited by in Crossref: 81]  [Cited by in RCA: 81]  [Article Influence: 11.6]  [Reference Citation Analysis (0)]
52.  Kasper P, Martin A, Lang S, Kütting F, Goeser T, Demir M, Steffen HM. NAFLD and cardiovascular diseases: a clinical review. Clin Res Cardiol. 2021;110:921-937.  [RCA]  [PubMed]  [DOI]  [Full Text]  [Full Text (PDF)]  [Cited by in Crossref: 510]  [Cited by in RCA: 449]  [Article Influence: 89.8]  [Reference Citation Analysis (2)]
53.  Cai J, Zhang XJ, Ji YX, Zhang P, She ZG, Li H. Nonalcoholic Fatty Liver Disease Pandemic Fuels the Upsurge in Cardiovascular Diseases. Circ Res. 2020;126:679-704.  [RCA]  [PubMed]  [DOI]  [Full Text]  [Cited by in Crossref: 153]  [Cited by in RCA: 139]  [Article Influence: 23.2]  [Reference Citation Analysis (1)]
54.  Kraler S, Blaser MC, Aikawa E, Camici GG, Lüscher TF. Calcific aortic valve disease: from molecular and cellular mechanisms to medical therapy. Eur Heart J. 2022;43:683-697.  [RCA]  [PubMed]  [DOI]  [Full Text]  [Full Text (PDF)]  [Cited by in Crossref: 210]  [Cited by in RCA: 184]  [Article Influence: 46.0]  [Reference Citation Analysis (0)]
55.  Targher G, Corey KE, Byrne CD. NAFLD, and cardiovascular and cardiac diseases: Factors influencing risk, prediction and treatment. Diabetes Metab. 2021;47:101215.  [RCA]  [PubMed]  [DOI]  [Full Text]  [Cited by in Crossref: 149]  [Cited by in RCA: 126]  [Article Influence: 25.2]  [Reference Citation Analysis (0)]
56.  Morariu PC, Oancea AF, Gosav EM, Buliga-Finis ON, Cuciureanu M, Scripcariu DV, Sirbu O, Godun MM, Floria DE, Chiriac PC, Baroi LG, Ouatu A, Tanase DM, Rezus C, Floria M. Rethinking Mitral Annular Calcification and Its Clinical Significance: From Passive Process to Active Pathology. J Pers Med. 2024;14:900.  [RCA]  [PubMed]  [DOI]  [Full Text]  [Full Text (PDF)]  [Cited by in Crossref: 6]  [Cited by in RCA: 6]  [Article Influence: 3.0]  [Reference Citation Analysis (0)]
57.  Li XZ, Xiong ZC, Zhang SL, Hao QY, Gao M, Wang JF, Gao JW, Liu PM. Potential ferroptosis key genes in calcific aortic valve disease. Front Cardiovasc Med. 2022;9:916841.  [RCA]  [PubMed]  [DOI]  [Full Text]  [Full Text (PDF)]  [Cited by in Crossref: 8]  [Cited by in RCA: 9]  [Article Influence: 2.3]  [Reference Citation Analysis (0)]
58.  Yu Q, Song L. Unveiling the role of ferroptosis in the progression from NAFLD to NASH: recent advances in mechanistic understanding. Front Endocrinol (Lausanne). 2024;15:1431652.  [RCA]  [PubMed]  [DOI]  [Full Text]  [Full Text (PDF)]  [Cited by in Crossref: 17]  [Cited by in RCA: 16]  [Article Influence: 8.0]  [Reference Citation Analysis (0)]
59.  Töx U, Steffen HM. Impact of inhibitors of the Renin-Angiotensin-aldosterone system on liver fibrosis and portal hypertension. Curr Med Chem. 2006;13:3649-3661.  [RCA]  [PubMed]  [DOI]  [Full Text]  [Cited by in Crossref: 41]  [Cited by in RCA: 39]  [Article Influence: 2.0]  [Reference Citation Analysis (0)]
60.  Elhence H, Dodge JL, Lee BP. Association of Renin-Angiotensin System Inhibition With Liver-Related Events and Mortality in Compensated Cirrhosis. Clin Gastroenterol Hepatol. 2024;22:315-323.e17.  [RCA]  [PubMed]  [DOI]  [Full Text]  [Full Text (PDF)]  [Cited by in Crossref: 21]  [Cited by in RCA: 16]  [Article Influence: 8.0]  [Reference Citation Analysis (0)]
61.  Capoulade R, Clavel MA, Mathieu P, Côté N, Dumesnil JG, Arsenault M, Bédard E, Pibarot P. Impact of hypertension and renin-angiotensin system inhibitors in aortic stenosis. Eur J Clin Invest. 2013;43:1262-1272.  [RCA]  [PubMed]  [DOI]  [Full Text]  [Cited by in Crossref: 89]  [Cited by in RCA: 78]  [Article Influence: 6.0]  [Reference Citation Analysis (0)]
62.  Helske S, Lindstedt KA, Laine M, Mäyränpää M, Werkkala K, Lommi J, Turto H, Kupari M, Kovanen PT. Induction of local angiotensin II-producing systems in stenotic aortic valves. J Am Coll Cardiol. 2004;44:1859-1866.  [RCA]  [PubMed]  [DOI]  [Full Text]  [Cited by in Crossref: 172]  [Cited by in RCA: 160]  [Article Influence: 7.3]  [Reference Citation Analysis (0)]
63.  Moncla LM, Briend M, Bossé Y, Mathieu P. Calcific aortic valve disease: mechanisms, prevention and treatment. Nat Rev Cardiol. 2023;20:546-559.  [RCA]  [PubMed]  [DOI]  [Full Text]  [Cited by in Crossref: 214]  [Cited by in RCA: 175]  [Article Influence: 58.3]  [Reference Citation Analysis (0)]
64.  Basile C, Mancusi C, Franzone A, Avvedimento M, Bardi L, Angellotti D, Castiello DS, Mariani A, Manzo R, De Luca N, Cirillo P, De Simone G, Esposito G. Renin-angiotensin system inhibitors reduce cardiovascular mortality in hypertensive patients with severe aortic stenosis undergoing transcatheter aortic valve implantation: insights from the EffecTAVI registry. Front Cardiovasc Med. 2023;10:1234368.  [RCA]  [PubMed]  [DOI]  [Full Text]  [Full Text (PDF)]  [Cited by in Crossref: 13]  [Cited by in RCA: 12]  [Article Influence: 4.0]  [Reference Citation Analysis (0)]
Footnotes

Peer review: Externally peer reviewed.

Peer-review model: Single blind

Specialty type: Cardiac and cardiovascular systems

Country of origin: Croatia

Peer-review report’s classification

Scientific quality: Grade D

Novelty: Grade D

Creativity or innovation: Grade D

Scientific significance: Grade D

P-Reviewer: Zhu HJ, Director, DM, China S-Editor: Bai Y L-Editor: A P-Editor: Wang WB

Write to the Help Desk