BPG is committed to discovery and dissemination of knowledge
Retrospective Study Open Access
©The Author(s) 2025. Published by Baishideng Publishing Group Inc. All rights reserved.
World J Gastrointest Surg. May 27, 2025; 17(5): 103151
Published online May 27, 2025. doi: 10.4240/wjgs.v17.i5.103151
Risk factors for recurrence after open neonatal hernia repair: A single-center, retrospective study
Yue-Zhi Zhao, Department of Surgical Anesthesia, Shijiazhuang Maternal and Child Health Hospital, Shijiazhuang 050000, Hebei Province, China
Hui-Ling Kang, Department of Neonatology, Shijiazhuang Maternal and Child Health Hospital, Shijiazhuang 050000, Hebei Province, China
ORCID number: Yue-Zhi Zhao (0009-0009-5398-7068); Hui-Ling Kang (0009-0003-0250-6590).
Author contributions: Kang HL designed research and analyzed data; Zhao YZ performed research, contributed new reagents or analytic tools, and wrote the paper.
Institutional review board statement: The study was reviewed and approved by the Shiazhuang Maternal and child Health Hospital Institutional Review Board (No. 202123).
Informed consent statement: All study participants, or their legal guardian, provided informed written consent prior to study enrollment.
Conflict-of-interest statement: All the authors report no relevant conflicts of interest for this article.
Data sharing statement: The data supporting the findings of this study are available from the corresponding author upon reasonable request.
Corresponding author: Hui-Ling Kang, Department of Neonatology, Shijiazhuang Maternal and Child Health Hospital, No. 396 Youyi Street, Qiaoxi District, Shijiazhuang 050000, Hebei Province, China. khl1391366132@163.com
Received: January 10, 2025
Revised: February 26, 2025
Accepted: April 8, 2025
Published online: May 27, 2025
Processing time: 132 Days and 24 Hours

Abstract
BACKGROUND

Inguinal and umbilical hernias are common neonatal conditions. Open hernia repair is currently the primary surgical treatment, but postoperative recurrence remains a significant risk.

AIM

To identify the risk factors for recurrence following open neonatal hernia repair.

METHODS

We retrospectively reviewed the data of 56 neonates who underwent open hernia repair at Shijiazhuang Maternal and Child Health Hospital between March 2021 and December 2023. The patients were categorized into recurrence and non-recurrence groups based on their experience of postoperative recurrence. Univariate analysis was performed to examine various factors, and those with P < 0.1 in univariate analysis were included in multivariate logistic regression. Nomogram models were constructed, and their performance was evaluated using receiver operating characteristic curves.

RESULTS

Of the 56 children, 11 (19.64%) experienced postoperative recurrence, whereas the remaining 45 (80.36%) did not. Univariate analysis identified anemia (P = 0.079), persistent postoperative pain (P = 0.049), and low birth weight (P = 0.017) as factors associated with recurrence. Multivariate logistic regression analysis revealed that anemia (P = 0.029), persistent postoperative pain (P = 0.008), and low birth weight (P = 0.009) were independent risk factors for recurrence after open hernia repair in neonates.

CONCLUSION

The risk of recurrence after open hernia repair should be closely monitored in neonates with low birth weight, anemia, and persistent postoperative pain.

Key Words: Hernia repair; Umbilical hernia; Inguinal hernia; Recurrence; Risk factors

Core Tip: This retrospective study investigated recurrence after open neonatal hernia repair and identified low birth weight, anemia, and persistent postoperative pain as independent risk factors. Notably, persistent postoperative pain - a previously overlooked factor - was revealed as a novel predictor of recurrence. A nomogram integrating these variables demonstrated excellent predictive power (area under the curve = 0.875), offering clinicians an accessible tool to identify high-risk neonates and tailor postoperative care to reduce recurrence and improve prognosis.



INTRODUCTION

Hernias are common in pediatrics and gastroenterology, affecting approximately 1%-5% of newborns. The prevalence of hernias in preterm and low-birth weight infants can be as high as 20%[1]. Hernias are classified into various types according to their location, with inguinal and umbilical hernias being more prevalent in neonates[2]. Although a large proportion of hernias in infants heal spontaneously, prompt treatment is necessary if they persist. Early surgical intervention is usually not required for neonatal hernias unless serious complications like intestinal obstruction or strangulation occur[3-6]. Repair is the most effective treatment for these hernias. In pediatric patients, the two main types of hernia repair are open and laparoscopic surgeries[2]. Previous studies have shown that although children with inguinal hernias experience less pain after laparoscopic hernia repair, they are at an increased risk of postoperative wound infection, recurrence, and complications[2,7]. Therefore, open hernia repair has received increasing attention, and is currently the most commonly used procedure[8].

However, postoperative recurrence is a challenge for hernia repair. Previous studies have shown that the recurrence rate of laparoscopic inguinal hernia repair is approximately 13%, whereas the recurrence rate 5 years after abdominal wall hernia surgery is as high as 40%-70%[9,10]. Research has indicated that recurrence after hernia surgery is closely related to patient characteristics[2]. A higher body mass index (BMI), postoperative infections, and complications have been associated with a higher risk of recurrent abdominal wall hernias[10]. A weak internal inguinal opening is a major risk factor for recurrence after laparoscopic inguinal hernia repair in children[11]. In addition, the recurrence rate after laparoscopic inguinal hernia repair has been reported to be significantly higher in preterm than in full-term babies[12]. Notably, most of these early studies focused on exploring the risk factors for recurrence after laparoscopic hernia repair, whereas studies on the risk factors for recurrence after open neonatal hernia repair remain scarce.

Therefore, in this retrospective study, we aimed to elucidate the risk factors for postoperative recurrence after open hernia repair in neonates with hernia. Clinical data were collected from 56 infants who underwent open hernia repair. Univariate and multivariate analyses were performed for age, sex, parental education, family income, gestational age, hernia type, family history of hernia, anemia, persistent pain, birth weight, white blood cell (WBC) count, and high-sensitivity C-reactive protein (hsCRP) levels. Additionally, a nomogram model was developed and evaluated using receiver operating characteristic (ROC) curves. The study findings can inform clinical practice by identifying the factors affecting postoperative recurrence in neonates undergoing open hernia repair.

MATERIALS AND METHODS
Study design and setting

In this retrospective study, we analyzed the clinical data of 56 neonates with hernia who underwent open hernia repair between March 2021 and December 2023 at Shijiazhuang Maternal and Child Health Hospital. The inclusion criteria were as follows: Diagnosis of neonatal inguinal hernia or umbilical hernia; age < 2 years with complications such as intestinal obstruction, strangulation, or other surgical indications for open hernia repair; age ≥ 2 years with unresolved hernia requiring open repair; good compliance; and complete preoperative and postoperative clinical data. The exclusion criteria were cognitive dysfunction or serious organ injury.

Clinical data

The follow-up records of each child, maintained in the case system until June 2024, allowed categorization into recurrence and non-recurrence groups based on hernia recurrence status. Recurrence was diagnosed based on the following criteria: (1) Appearance of inguinal or abdominal protrusion and pain in patients after surgery; (2) Worsening symptoms or an increase in protrusion size with coughing; and (3) Confirmed diagnosis of a recurrent hernia through abdominal ultrasonography, computed tomography, and other imaging methods. The collected data included sex, age, gestational age, birth weight, type of hernia, family history, anemia, postoperative WBC count, postoperative hsCRP level, type of surgery, parental education, and family income. To facilitate further statistical analysis, we collated the selected clinical data of all of the children. According to established guidelines, 37 weeks is the cut-off for assessing whether a fetus is preterm; therefore, we categorized the children as < 37 weeks and ≥ 37 weeks according to their gestational age[13]. Family history was defined as the presence of a hernia in a first-degree relative. Anemia was determined based on established criteria rather than on specific red blood cell or hemoglobin levels. Postoperative pain was classified as persistent if it exceeded 2 months of age. For children who were unable to verbalize pain, we used a combination of the face, legs, activity, cry, consolability scale (score ≥ 3) and parent report to monitor persistent pain. For children who were able to verbalize pain, we used a combination of the visual analog scale (score ≥ 3), parent report, and child self-report to assess pain intensity and persistence. Continuous variables (age, birth weight, WBC count, and hsCRP levels) were analyzed as raw measured values without additional processing.

Statistical analysis

SPSS (version 26.0) was used for univariate analysis. Normality tests were conducted on the measured data. For normally distributed data, values are expressed as mean ± SD, and independent samples t-test was used to compare groups. Non-normally distributed data are expressed as median and quartile, and Mann-Whitney U test was used for comparison between groups. Categorical data are described as numbers and percentages and were statistically calculated using the χ2-test. Variables included at P < 0.1 were further analyzed by multivariate logistic regression. Nomogram models were constructed using R software (version 4.4.0) and evaluated using ROC curves[14].

RESULTS
Results of univariate analyses for all patients

As shown in Table 1, 11 of the 56 children (19.64%) experienced postoperative recurrence. Recurrence status served as the dependent variable (non-recurrence = 0, recurrence = 1), while various clinical characteristics were analyzed as independent variables (female = 0, male = 1; family history: Yes = 0, no = 1; anemia: Yes = 0, no = 1; gestational age: < 37 weeks = 0, ≥ 37 weeks = 1; hernia type: Inguinal hernia = 1, umbilical hernia = 2; persistent pain: Yes = 0, no = 1; parental education: Primary school = 0, middle school = 1, high school = 2, college and above = 3; family income: Low = 0, high = 1). The results are summarized in Table 1. The analysis identified anemia (P = 0.079), persistent postoperative pain (P = 0.049), and birth weight (P = 0.017) as factors associated with recurrence after open hernia repair.

Table 1 Univariate analysis of patients, n (%).
Variables
Recurrence (n = 11)
Non-recurrence (n = 45)
Statistic
P value
Ages, M (Q1, Q3)2.00 (1.00, 3.00)3.00 (2.00, 4.00)Z = -1.5900.112
Genderχ2 = 0.0910.764
    Female3 (27.27)17 (37.78)
    Male8 (72.73)28 (62.22)
Parents education-0.880
    Primary school2 (18.18)7 (15.56)
    Middle school2 (18.18)13 (28.89)
    High school4 (36.36)16 (35.56)
    University3 (27.27)9 (20.00)
Family incomeχ2 = 0.3200.572
    Low3 (27.27)19 (42.22)
    High8 (72.73)26 (57.78)
Gestational ageχ2 = 2.0010.157
    < 37 weeks6 (54.55)12 (26.67)
    ≥ 37 weeks5 (45.45)33 (73.33)
Gestational age, M (Q1, Q3)36 (36, 38.5)38 (37, 39)Z = -1.2560.209
Hernias typesχ2 = 0.1150.735
    Inguinal hernia9 (81.82)32 (71.11)
    Umbilical hernia2 (18.18)13 (28.89)
Family historyχ2 = 1.2860.257
    Yes4 (36.36)7 (15.56)
    No7 (63.64)38 (84.44)
Anemiaχ2 = 3.0850.079
    Yes5 (45.45)7 (15.56)
    No6 (54.55)38 (84.44)
Persistent painχ2 = 3.8660.049
    Yes7 (63.64)12 (26.67)
    No4 (36.36)33 (73.33)
Birth weight3.15 ± 0.783.66 ± 0.58t = -2.4530.017
WBC9.39 ± 3.108.28 ± 2.64t = 1.2060.233
hsCRP, M (Q1, Q3)2.40 (0.10, 4.25)2.60 (0.10, 3.50)Z = -0.3240.746
Table 2 Multivariate logistic regression analysis of patients.
Variables
β
SE
Wald
P value
OR
95%CI
Anemic2.3201.0604.7940.02910.1811.275-81.265
Persistent pain2.8911.0976.9410.00818.0102.096-154.732
Birth weight-2.7211.0386.8760.0090.0660.009-0.5033
Constant5.8523.0153.7670.052347.915
Multivariate logistic regression analysis

To further explore independent risk factors for recurrence, variables (P < 0.1 from the univariate analysis were included in multivariate logistic regression. As shown in Table 2, anemia (P = 0.029), persistent pain (P = 0.008), and low birth weight (P = 0.009) were independent risk factors for postoperative recurrence following open hernia repair.

Nomogram prediction model construction

Multivariate logistic regression analysis identified anemia, persistent pain, and low birth weight as independent predictors of postoperative recurrence. A nomogram prediction model was constructed using R software (Figure 1), assigning scores to each predictor based on their influence on recurrence risk. The total score was used to estimate the likelihood of recurrence in patients with neonatal hernia.

Figure 1
Figure 1 The nomograph.
Nomogram prediction model validation

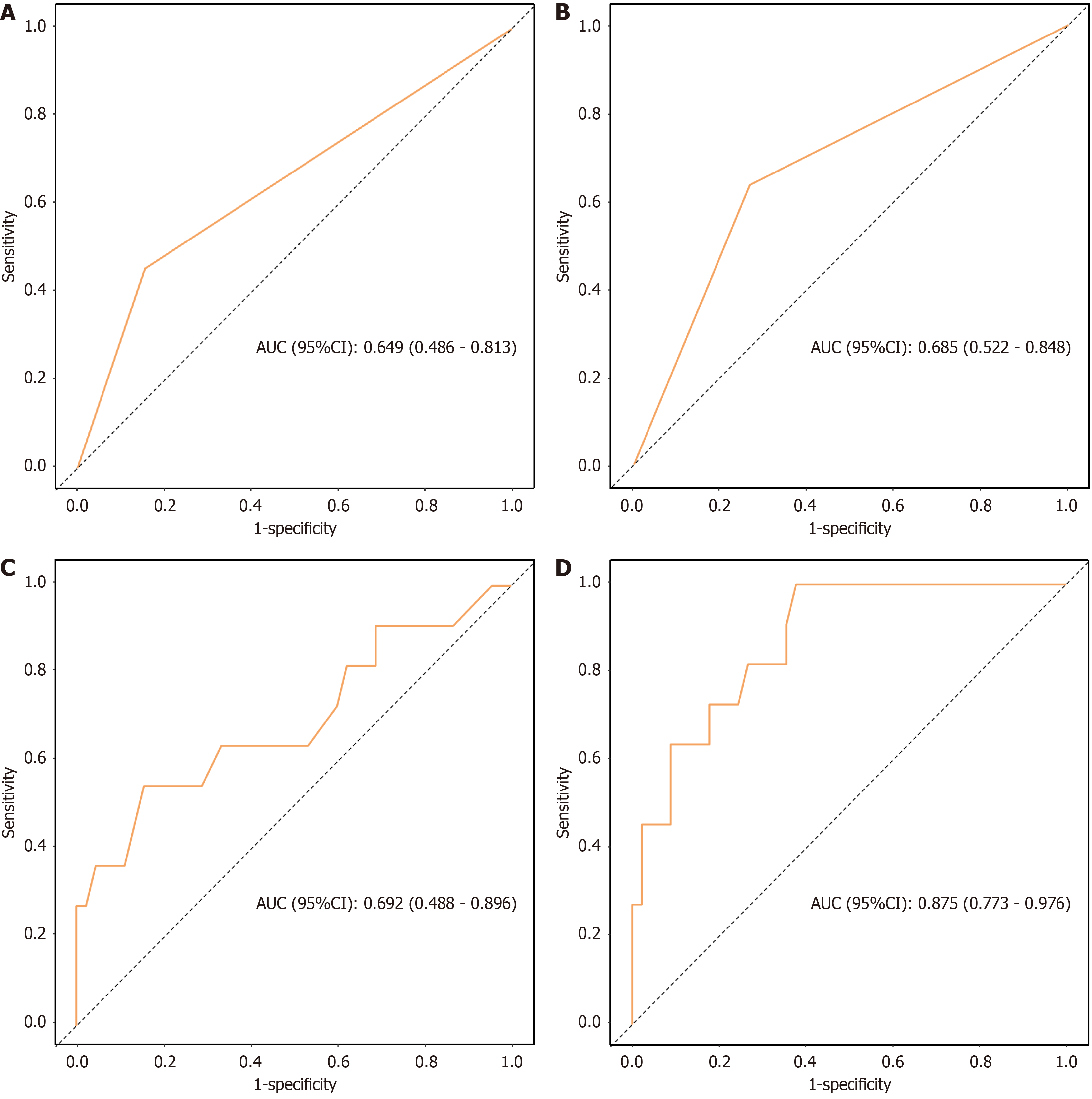
ROC curves were used to evaluate the discriminatory power of the nomogram. Figure 2A-C shows the predictive value of anemia, persistent postoperative pain, and birth weight alone for postoperative recurrence. The area under the curve of the nomogram prediction model was 0.875 (95% confidence interval: 0.773-0.976), indicating good discrimination and high diagnostic efficacy (Figure 2D). As shown in Figure 3, the Hosmer-Lemeshow goodness-of-fit test showed good model fit and calibration (χ2 = 3.705, P = 0.883).

Figure 2
Figure 2 Different receiver operating characteristic curves. A: Anemia; B: Persistent postoperative pain; C: Birth weight; D: Combined prediction model. AUC: Area under the curve; CI: Confidence interval.
Figure 3
Figure 3 The calibration curve.
DISCUSSION

Umbilical and inguinal hernias are common in both newborns and infants[7,15]. Neonatal umbilical hernias result from incomplete or weak closure of the umbilical ring, causing the abdominal organs to protrude outward, typically presenting as umbilical cord swelling[15]. Neonatal inguinal hernia, a common congenital abnormality of the abdominal wall, typically presents as a reproducible mass in the inguinal region shortly after birth, most often within the first 2-3 months of life[1]. Although inguinal hernias generally require early surgery, recent studies have suggested that moderately delayed surgery can be beneficial for neonates. In contrast, umbilical hernias can often be managed non-surgically until the child is 2 years old, except in cases of emergent complications[3,5,6,16]. Hernia repair is the definitive treatment for newborns with severe complications, where umbilical hernias that do not spontaneously resolve, and those who meet the surgical indications. However, there is still a high risk of recurrence after surgery[10,17].

Previous studies reported a wide range of postoperative recurrence rates after hernia repair. The 5-year recurrence rate after abdominal wall hernia repair without a mesh is reportedly > 70%[10]. In contrast, other studies have shown that the recurrence rate after inguinal hernia repair in pediatric patients is only 0.9%-9%[2,3]. Another study, which did not specify the surgical procedure, reported an inguinal hernia recurrence rate of 13%[9]. Currently, open repair is the most commonly recommended method for the treatment of hernias in children in many countries[18,19]. This study is the first to examine the recurrence of open hernia repair in neonates after surgery. The results showed that 11 of 56 infants (19.64%) experienced recurrence. This variability in recurrence rates across studies may be related to factors such as patient location, sample size, and sex[20,21].

Previous studies have examined the risk factors for postoperative recurrence of hernia repair in children. One study reported that recurrence after laparoscopic surgery for pediatric inguinal hernias was mainly due to uneven ligature tension, ligature loosening, and knot-tying reactions caused by improper ligation[22]. In addition, syringomyelia caused by repeated peritoneal punctures is a significant cause of recurrence after laparoscopic inguinal herniorrhaphy in children[11]. While these studies have focused on the surgical causes of recurrence, it is also important to assess the risk of postoperative recurrence based on patient characteristics. A previous study showed that higher BMI, use of immunosuppressive drugs, and surgical site infections were associated with a higher likelihood of hernia recurrence[10]. A cohort study of patients who underwent umbilical hernia repair found that liver disease, diabetes, and obesity were significantly associated with an increased rate of umbilical hernia recurrence[23]. In our study, anemia, persistent postoperative pain, and low birth weight were identified as independent risk factors for recurrence after open hernia repair in neonates. Therefore, clinical prediction models must be developed to improve disease prevention, diagnosis, and treatment[24]. Here, we constructed a nomogram prediction model using these three variables, and the ROC curve and Hosmer-Lemeshow tests confirmed the high discrimination and calibration of the model.

Low birth weight and preterm birth are major public health issues worldwide[13]. According to existing guidelines, including those from the World Health Organization, preterm infants (born before 37 weeks of gestation) and low-birth-weight infants (weighing less than 2500 g) are at a higher risk of disease due to their underdeveloped physiology than normal-birth-weight infants[13,25]. Indeed, previous research has confirmed an increased incidence of hernias in preterm and low-birth-weight infants[26]. Low birth weight has been identified as a risk factor for mortality and complications in children with congenital diaphragmatic hernia[27]. In our study, low birth weight was an independent risk factor for recurrence after open hernia repair. This may be due to a weaker abdominal wall and internal inguinal ring in low-birthweight infants, which are important causes of hernia[11,28]. Notably, we did not observe a significant effect of preterm birth, potentially because the preterm infants in our study had a relatively advanced gestational age of 34-36 weeks, while the median gestational age for children in the recurrence group was 36 weeks.

Pain is a common complication of hernia repair, typically resolving within 2 months, while persistent pain is defined as pain lasting longer than this[29-31]. Previous studies have focused on the impact of persistent pain on patient quality of life and adverse emotions[31,32]. Unexpectedly, we found that persistent pain was an independent risk factor for recurrence after open hernia repair. Although the exact relationship between persistent pain and postoperative recurrence remains unclear, this finding has important clinical implications, and highlights the importance of focusing on postoperative pain. Anemia is a prevalent form of malnutrition in preschool children and has become a global health burden[33]. It is strongly associated with a wide range of diseases, and its association with hernia has recently attracted increasing attention. A recent study showed that iron deficiency is an important risk factor for inguinal hernia in children[34]. Similarly, anemia was identified as an independent risk factor for recurrence after open hernia repair in neonates in our study. Iron deficiency-induced inguinal hernia in children may be associated with changes in collagen structure[34]. In addition, anemia in children has been strongly associated with low birth weight[33]. Therefore, the association between anemia and hernia recurrence may be related to low birth weight; however, further research is required to confirm this hypothesis.

In this study, we developed a clinical prediction model to assess the risk of recurrence after open hernia repair in infants and children. The model combines three factors, namely anemia, persistent postoperative pain, and low birth weight, to provide a powerful tool for postoperative management that can help physicians develop individualized follow-up and treatment plans that are effective in reducing recurrence rates and improving prognosis. However, this study has some limitations. This was a single-center retrospective study with a small sample size and limited number of variables. Additionally, the follow-up period was relatively short. Future multicenter, large-sample, randomized controlled trials with longer follow-up periods are required to validate these findings. In addition, the BMI criterion varies considerably among infants and children of different ages and months, making the statistical analysis of this indicator in this population more complex; therefore, we did not analyze this in the current study[35]. Future studies should explore the role of BMI in this population to develop more scientific and practical predictive models.

CONCLUSION

In conclusion, this study demonstrated that approximately 19.64% of the patients experienced recurrence after neonatal open hernia repair. Univariate and multivariate logistic regression analyses identified anemia, persistent postoperative pain, and low birth weight as independent risk factors for recurrence. Consequently, in clinical practice, the risk of recurrence after open hernia repair should be emphasized in children with low birth weight, anemia, and persistent postoperative pain.

References
1.  Khan FA, Jancelewicz T, Kieran K, Islam S; Committee on Fetus and Newborn;  Section on Surgery;  Section on Urology. Assessment and Management of Inguinal Hernias in Children. Pediatrics. 2023;152:e2023062510.  [RCA]  [PubMed]  [DOI]  [Full Text]  [Cited by in Crossref: 25]  [Cited by in RCA: 19]  [Article Influence: 6.3]  [Reference Citation Analysis (0)]
2.  Safa N, Le-Nguyen A, Gaffar R, Habti M, Bensakeur I, Li O, Piché N, Emil S. Open and laparoscopic inguinal hernia repair in children: A regional experience. J Pediatr Surg. 2023;58:146-152.  [RCA]  [PubMed]  [DOI]  [Full Text]  [Reference Citation Analysis (0)]
3.  HIP Trial Investigators; Blakely ML, Krzyzaniak A, Dassinger MS, Pedroza C, Weitkamp JH, Gosain A, Cotten M, Hintz SR, Rice H, Courtney SE, Lally KP, Ambalavanan N, Bendel CM, Bui KCT, Calkins C, Chandler NM, Dasgupta R, Davis JM, Deans K, DeUgarte DA, Gander J, Jackson CA, Keszler M, Kling K, Fenton SJ, Fisher KA, Hartman T, Huang EY, Islam S, Koch F, Lainwala S, Lesher A, Lopez M, Misra M, Overbey J, Poindexter B, Russell R, Stylianos S, Tamura DY, Yoder BA, Lucas D, Shaul D, Ham PB 3rd, Fitzpatrick C, Calkins K, Garrison A, de la Cruz D, Abdessalam S, Kvasnovsky C, Segura BJ, Shilyansky J, Smith LM, Tyson JE. Effect of Early vs Late Inguinal Hernia Repair on Serious Adverse Event Rates in Preterm Infants: A Randomized Clinical Trial. JAMA. 2024;331:1035-1044.  [RCA]  [PubMed]  [DOI]  [Full Text]  [Cited by in Crossref: 4]  [Cited by in RCA: 17]  [Article Influence: 8.5]  [Reference Citation Analysis (0)]
4.  Choo CS, Chen Y, McHoney M. Delayed versus early repair of inguinal hernia in preterm infants: A systematic review and meta-analysis. J Pediatr Surg. 2022;57:527-533.  [RCA]  [PubMed]  [DOI]  [Full Text]  [Cited by in RCA: 13]  [Reference Citation Analysis (0)]
5.  Benítez TM, Kim YJ, Kong L, Wang L, Chung KC. Impact of consensus guideline publication on the timing of elective pediatric umbilical hernia repair. Surgery. 2023;174:1281-1289.  [RCA]  [PubMed]  [DOI]  [Full Text]  [Cited by in Crossref: 3]  [Cited by in RCA: 4]  [Article Influence: 1.3]  [Reference Citation Analysis (0)]
6.  Cirocchi R, Burini G, Avenia S, Tebala G, Palumbo P, Cianci MC, Morabito A, Bruzzone P. Asymptomatic inguinal hernia: does it need surgical repair? A systematic review and meta-analysis. ANZ J Surg. 2022;92:2433-2441.  [RCA]  [PubMed]  [DOI]  [Full Text]  [Cited by in Crossref: 2]  [Cited by in RCA: 9]  [Article Influence: 2.3]  [Reference Citation Analysis (0)]
7.  Kantor N, Travis N, Wayne C, Nasr A. Laparoscopic versus open inguinal hernia repair in children: which is the true gold-standard? A systematic review and meta-analysis. Pediatr Surg Int. 2019;35:1013-1026.  [RCA]  [PubMed]  [DOI]  [Full Text]  [Cited by in Crossref: 38]  [Cited by in RCA: 50]  [Article Influence: 7.1]  [Reference Citation Analysis (1)]
8.  Olesen CS, Andresen K, Öberg S, Rosenberg J. Laparoscopic versus open repair of groin hernias in children: a systematic review and meta-analysis. Surg Endosc. 2019;33:2050-2060.  [RCA]  [PubMed]  [DOI]  [Full Text]  [Cited by in Crossref: 11]  [Cited by in RCA: 21]  [Article Influence: 3.0]  [Reference Citation Analysis (0)]
9.  Siddaiah-Subramanya M, Ashrafi D, Memon B, Memon MA. Causes of recurrence in laparoscopic inguinal hernia repair. Hernia. 2018;22:975-986.  [RCA]  [PubMed]  [DOI]  [Full Text]  [Cited by in Crossref: 27]  [Cited by in RCA: 57]  [Article Influence: 7.1]  [Reference Citation Analysis (2)]
10.  Bhardwaj P, Huayllani MT, Olson MA, Janis JE. Year-Over-Year Ventral Hernia Recurrence Rates and Risk Factors. JAMA Surg. 2024;159:651-658.  [RCA]  [PubMed]  [DOI]  [Full Text]  [Full Text (PDF)]  [Cited by in Crossref: 92]  [Cited by in RCA: 89]  [Article Influence: 44.5]  [Reference Citation Analysis (0)]
11.  Xiang B, Jin S, Zhong L, Li F, Jiang X, Xu Z. Reasons for Recurrence After the Laparoscopic Repair of Indirect Inguinal Hernia in Children. J Laparoendosc Adv Surg Tech A. 2015;25:681-683.  [RCA]  [PubMed]  [DOI]  [Full Text]  [Cited by in Crossref: 17]  [Cited by in RCA: 25]  [Article Influence: 2.3]  [Reference Citation Analysis (0)]
12.  Pogorelić Z, Anand S, Križanac Z, Singh A. Comparison of Recurrence and Complication Rates Following Laparoscopic Inguinal Hernia Repair among Preterm versus Full-Term Newborns: A Systematic Review and Meta-Analysis. Children (Basel). 2021;8:853.  [RCA]  [PubMed]  [DOI]  [Full Text]  [Full Text (PDF)]  [Cited by in Crossref: 2]  [Cited by in RCA: 11]  [Article Influence: 2.2]  [Reference Citation Analysis (1)]
13.  Pusdekar YV, Patel AB, Kurhe KG, Bhargav SR, Thorsten V, Garces A, Goldenberg RL, Goudar SS, Saleem S, Esamai F, Chomba E, Bauserman M, Bose CL, Liechty EA, Krebs NF, Derman RJ, Carlo WA, Koso-Thomas M, Nolen TL, McClure EM, Hibberd PL. Rates and risk factors for preterm birth and low birthweight in the global network sites in six low- and low middle-income countries. Reprod Health. 2020;17:187.  [RCA]  [PubMed]  [DOI]  [Full Text]  [Full Text (PDF)]  [Cited by in Crossref: 10]  [Cited by in RCA: 81]  [Article Influence: 13.5]  [Reference Citation Analysis (0)]
14.  Golder AM, McMillan DC, Park JH, Mansouri D, Horgan PG, Roxburgh CS. The prognostic value of combined measures of the systemic inflammatory response in patients with colon cancer: an analysis of 1700 patients. Br J Cancer. 2021;124:1828-1835.  [RCA]  [PubMed]  [DOI]  [Full Text]  [Cited by in Crossref: 4]  [Cited by in RCA: 34]  [Article Influence: 6.8]  [Reference Citation Analysis (4)]
15.  Cohen SP, Vase L, Hooten WM. Chronic pain: an update on burden, best practices, and new advances. Lancet. 2021;397:2082-2097.  [RCA]  [PubMed]  [DOI]  [Full Text]  [Cited by in Crossref: 274]  [Cited by in RCA: 1655]  [Article Influence: 331.0]  [Reference Citation Analysis (0)]
16.  Cho YJ, Kwon H, Ha S, Kim SC, Kim DY, Namgoong JM, Nam SH, Lee JY, Jung E, Cho MJ. Optimal timing for inguinal hernia repair in premature infants: surgical issues for inguinal hernia in premature infants. Ann Surg Treat Res. 2023;104:296-301.  [RCA]  [PubMed]  [DOI]  [Full Text]  [Full Text (PDF)]  [Cited by in RCA: 10]  [Reference Citation Analysis (0)]
17.  Olanrewaju OA, Saleem A, Ansah Owusu F, Pavani P, Ram R, Varrassi G. Contemporary Approaches to Hernia Repair: A Narrative Review in General Surgery. Cureus. 2023;15:e51421.  [RCA]  [PubMed]  [DOI]  [Full Text]  [Cited by in Crossref: 1]  [Cited by in RCA: 9]  [Article Influence: 3.0]  [Reference Citation Analysis (0)]
18.  Heydweiller A, Kurz R, Schröder A, Oetzmann von Sochaczewski C. Inguinal hernia repair in inpatient children: a nationwide analysis of German administrative data. BMC Surg. 2021;21:372.  [RCA]  [PubMed]  [DOI]  [Full Text]  [Full Text (PDF)]  [Cited by in Crossref: 2]  [Cited by in RCA: 8]  [Article Influence: 1.6]  [Reference Citation Analysis (0)]
19.  Fillingim RB, Loeser JD, Baron R, Edwards RR. Assessment of Chronic Pain: Domains, Methods, and Mechanisms. J Pain. 2016;17:T10-T20.  [RCA]  [PubMed]  [DOI]  [Full Text]  [Cited by in Crossref: 251]  [Cited by in RCA: 260]  [Article Influence: 26.0]  [Reference Citation Analysis (2)]
20.  Wang F, Ma B, Ma Q, Liu X. Global, regional, and national burden of inguinal, femoral, and abdominal hernias: a systematic analysis of prevalence, incidence, deaths, and DALYs with projections to 2030. Int J Surg. 2024;110:1951-1967.  [RCA]  [PubMed]  [DOI]  [Full Text]  [Full Text (PDF)]  [Cited by in Crossref: 65]  [Cited by in RCA: 120]  [Article Influence: 60.0]  [Reference Citation Analysis (0)]
21.  Schmidt L, Öberg S, Andresen K, Rosenberg J. Recurrence Rates After Repair of Inguinal Hernia in Women: A Systematic Review. JAMA Surg. 2018;153:1135-1142.  [RCA]  [PubMed]  [DOI]  [Full Text]  [Cited by in Crossref: 7]  [Cited by in RCA: 19]  [Article Influence: 2.4]  [Reference Citation Analysis (1)]
22.  He CS, Su Y, Liu MX, Qin YB, Ji YH, Huang WQ, Huang GZ, Yang GZ, Hu ZL, Li SL. Causes of recurrence of paediatric inguinal hernia after single-port laparoscopic closure. Pediatr Surg Int. 2024;40:49.  [RCA]  [PubMed]  [DOI]  [Full Text]  [Full Text (PDF)]  [Cited by in Crossref: 11]  [Cited by in RCA: 8]  [Article Influence: 4.0]  [Reference Citation Analysis (0)]
23.  Shankar DA, Itani KMF, O'Brien WJ, Sanchez VM. Factors Associated With Long-term Outcomes of Umbilical Hernia Repair. JAMA Surg. 2017;152:461-466.  [RCA]  [PubMed]  [DOI]  [Full Text]  [Cited by in Crossref: 48]  [Cited by in RCA: 61]  [Article Influence: 6.8]  [Reference Citation Analysis (0)]
24.  Au EH, Francis A, Bernier-Jean A, Teixeira-Pinto A. Prediction modeling-part 1: regression modeling. Kidney Int. 2020;97:877-884.  [RCA]  [PubMed]  [DOI]  [Full Text]  [Cited by in Crossref: 8]  [Cited by in RCA: 34]  [Article Influence: 5.7]  [Reference Citation Analysis (0)]
25.  Care of Preterm or Low Birthweight Infants Group. New WHO recommendations for the care of preterm or low birthweight infants have the potential to transform maternal and newborn health-care delivery. Lancet. 2022;400:1828-1831.  [RCA]  [PubMed]  [DOI]  [Full Text]  [Cited by in Crossref: 2]  [Cited by in RCA: 19]  [Article Influence: 4.8]  [Reference Citation Analysis (1)]
26.  Fu YW, Pan ML, Hsu YJ, Chin TW. A nationwide survey of incidence rates and risk factors of inguinal hernia in preterm children. Pediatr Surg Int. 2018;34:91-95.  [RCA]  [PubMed]  [DOI]  [Full Text]  [Cited by in Crossref: 20]  [Cited by in RCA: 28]  [Article Influence: 3.5]  [Reference Citation Analysis (1)]
27.  Gupta VS, Ferguson DM, Lally PA, Garcia EI, Mitchell KG, Tsao K, Lally KP, Harting MT; Congenital Diaphragmatic Hernia Study Group. Birth weight predicts patient outcomes in infants who undergo congenital diaphragmatic hernia repair. J Matern Fetal Neonatal Med. 2022;35:6823-6829.  [RCA]  [PubMed]  [DOI]  [Full Text]  [Cited by in RCA: 10]  [Reference Citation Analysis (0)]
28.  Meints SM, Edwards RR. Evaluating psychosocial contributions to chronic pain outcomes. Prog Neuropsychopharmacol Biol Psychiatry. 2018;87:168-182.  [RCA]  [PubMed]  [DOI]  [Full Text]  [Cited by in Crossref: 304]  [Cited by in RCA: 416]  [Article Influence: 52.0]  [Reference Citation Analysis (0)]
29.  Alaverdyan H, Maeng J, Park PK, Reddy KN, Gaume MP, Yaeger L, Awad MM, Haroutounian S. Perioperative Risk Factors for Persistent Postsurgical Pain After Inguinal Hernia Repair: Systematic Review and Meta-Analysis. J Pain. 2024;25:104532.  [RCA]  [PubMed]  [DOI]  [Full Text]  [Cited by in Crossref: 2]  [Cited by in RCA: 14]  [Article Influence: 7.0]  [Reference Citation Analysis (0)]
30.  Andresen K, Rosenberg J. Management of chronic pain after hernia repair. J Pain Res. 2018;11:675-681.  [RCA]  [PubMed]  [DOI]  [Full Text]  [Full Text (PDF)]  [Cited by in Crossref: 29]  [Cited by in RCA: 62]  [Article Influence: 7.8]  [Reference Citation Analysis (0)]
31.  Chu Z, Zheng B, Yan L. Incidence and predictors of chronic pain after inguinal hernia surgery: a systematic review and meta-analysis. Hernia. 2024;28:967-987.  [RCA]  [PubMed]  [DOI]  [Full Text]  [Cited by in Crossref: 1]  [Cited by in RCA: 16]  [Article Influence: 8.0]  [Reference Citation Analysis (0)]
32.  Bande D, Moltó L, Pereira JA, Montes A. Chronic pain after groin hernia repair: pain characteristics and impact on quality of life. BMC Surg. 2020;20:147.  [RCA]  [PubMed]  [DOI]  [Full Text]  [Full Text (PDF)]  [Cited by in Crossref: 4]  [Cited by in RCA: 26]  [Article Influence: 4.3]  [Reference Citation Analysis (0)]
33.  Gallagher PG. Anemia in the pediatric patient. Blood. 2022;140:571-593.  [RCA]  [PubMed]  [DOI]  [Full Text]  [Cited by in Crossref: 24]  [Cited by in RCA: 61]  [Article Influence: 15.3]  [Reference Citation Analysis (0)]
34.  Harma B, Kiran TR, Inceoglu F. Iron Deficiency may be a Risk Factor for Inguinal Hernia Development in Children. Sisli Etfal Hastan Tip Bul. 2023;57:105-110.  [RCA]  [PubMed]  [DOI]  [Full Text]  [Reference Citation Analysis (0)]
35.  Dang JJ, Yan XJ, Ma N, Liu YF, Zhong PL, Zhang JS, Song Y. [Methods for evaluating overweight and obesity among children and adolescents and application in SPSS and SAS]. Zhonghua Yu Fang Yi Xue Za Zhi. 2022;56:75-81.  [RCA]  [PubMed]  [DOI]  [Full Text]  [Reference Citation Analysis (0)]
Footnotes

Provenance and peer review: Unsolicited article; Externally peer reviewed.

Peer-review model: Single blind

Specialty type: Gastroenterology and hepatology

Country of origin: China

Peer-review report’s classification

Scientific Quality: Grade B, Grade C

Novelty: Grade B, Grade B

Creativity or Innovation: Grade B, Grade C

Scientific Significance: Grade C, Grade C

Open Access: This article is an open-access article that was selected by an in-house editor and fully peer-reviewed by external reviewers. It is distributed in accordance with the Creative Commons Attribution NonCommercial (CC BY-NC 4.0) license, which permits others to distribute, remix, adapt, build upon this work non-commercially, and license their derivative works on different terms, provided the original work is properly cited and the use is non-commercial. See: https://creativecommons.org/Licenses/by-nc/4.0/

P-Reviewer: Kim TH; Stampar M S-Editor: Wei YF L-Editor: A P-Editor: Xu ZH

Write to the Help Desk