BPG is committed to discovery and dissemination of knowledge
Retrospective Study Open Access
©The Author(s) 2025. Published by Baishideng Publishing Group Inc. All rights reserved.
World J Gastrointest Surg. Oct 27, 2025; 17(10): 106685
Published online Oct 27, 2025. doi: 10.4240/wjgs.v17.i10.106685
Retrospective investigation of risk factors for pancreatic fistula development after pancreaticoduodenectomy
Lei Yao, Kai Zhu, Jian Yuan, Zhao-Xia Luo, Wen-Guang Huang, Department of General Surgery, CR&WISCO General Hospital, Wuhan 430080, Hubei Province, China
ORCID number: Lei Yao (0009-0006-5923-2430).
Author contributions: Yao L contributed to the conceptualization, writing - original draft, and project administration; Yao L and Luo ZX contributed to the methodology; Yao L and Zhu K contributed to the formal analysis; Yao L, Zhu K, Yuan J, Luo ZX, and Huang WG contributed to the writing - review & editing; Yao L and Huang WG contributed to supervision; Zhu K contributed to data curation and statistical analysis; Yuan J and Luo ZX contributed to data collection and validation; Yuan J contributed to investigation; Luo ZX contributed to resources; Huang WG approved the final version to be published. All authors contributed to the study conception and design, read and approved the final manuscript, and agree to be accountable for all aspects of the work.
Institutional review board statement: This study was approved by the Medical Ethics Committee of CR&WISCO General Hospital (Approval No. CRWG2023R033J; Protocol Version: 23V1.0; Version Date: June 1, 2023. All procedures performed were in accordance with the ethical standards of the institutional research committee and the 1964 Helsinki Declaration and its later amendments.
Informed consent statement: Informed written consent was obtained from the patient for publication of this report and any accompanying images.
Conflict-of-interest statement: All the authors report no relevant conflicts of interest for this article.
Data sharing statement: The datasets generated and/or analyzed during the current study are available from the corresponding author upon reasonable request.
Corresponding author: Lei Yao, Department of General Surgery, CR&WISCO General Hospital, No. 209 Metallurgical Avenue, Qingshan District, Wuhan 430080, Hubei Province, China. 15871707870@163.com
Received: April 22, 2025
Revised: June 4, 2025
Accepted: September 3, 2025
Published online: October 27, 2025
Processing time: 184 Days and 22.8 Hours

Abstract
BACKGROUND

This study aimed to compare and analyze risk factors for pancreatic fistula following pancreaticoduodenectomy (PD) using different definition criteria, and to develop a predictive model for standardized pancreatic fistula risk assessment.

AIM

To identify and compare risk factors for postoperative pancreatic fistula (POPF) following PD using both the 2005 International Study Group of Pancreatic Fistula and updated 2016 International Study Group on Pancreatic Surgery diagnostic criteria, and to develop a clinically applicable predictive model based on objective preoperative parameters for standardized pancreatic fistula risk assessment and perioperative management optimization.

METHODS

We conducted a retrospective analysis of 303 patients who underwent PD at CR&WISCO General Hospital between January 2017 and May 2023. POPF cases were classified according to both previous and updated diagnostic standards. For statistical analysis, we employed t-tests or Mann-Whitney U tests for continuous variables and χ2 tests for categorical data. To identify risk factors associated with POPF under both classification systems, we performed univariate and multivariate logistic regression analyses.

RESULTS

Univariate analysis identified several factors associated with POPF: Main pancreatic duct diameter (χ2 = 31.641, P < 0.001), main pancreatic duct index (χ2 = 52.777, P < 0.001), portal vein invasion (χ2 = 6.259, P = 0.012), intra-abdominal fat thickness (χ2 = 7.665, P = 0.006), preoperative biliary drainage (χ2 = 5.999, P = 0.014), pancreatic characteristics (χ2 = 5.544, P = 0.019), pancreatic resection margin thickness (t = 2.055, P = 0.032), pancreatic computed tomography (CT) value (t = -3.224,P = 0.002), and preoperative blood amylase level (Z = -2.099, P = 0.036). Multivariate logistic regression identified three independent risk factors: Main pancreatic duct index [odds ratio (OR) = 0.000, 95% confidence interval (CI): 0.000-0.011], pancreatic cancer [OR = 4.843, 95%CI: 1.285-18.254], and pancreatic CT value [OR = 0.869, 95%CI: 0.806-0.937] (all P < 0.05).

CONCLUSION

The main pancreatic duct index and pancreatic CT value are strongly correlated with pancreatic fistula development after PD.

Key Words: Risk prediction model; Risk factor; Pancreatic fistula; Pancreaticoduodenectomy; Predictive model

Core Tip: Postoperative pancreatic fistula remains a significant challenge after pancreaticoduodenectomy, impacting patient outcomes and healthcare costs. Recent advancements in diagnostic criteria have refined our understanding of risk factors, including the main pancreatic duct index, pancreatic computed tomography value, and tumor characteristics. Integrating these factors into predictive models helps identify high-risk patients early, allowing for targeted interventions and improved surgical outcomes. Adopting standardized grading systems ensures consistent reporting and enhances clinical decision-making. This study underscores the importance of combining clinical, radiological, and pathological data in postoperative pancreatic fistula risk assessment, ultimately guiding more personalized perioperative care strategies and reducing complication rates.



INTRODUCTION

Pancreaticoduodenectomy (PD) complications are dominated by postoperative pancreatic fistula (POPF), which persists in 3%-45% of cases at major medical centers despite a decade of surgical and care advancements[1-3]. The International Study Group of Pancreatic Fistula (ISGPF) established standardized diagnostic and grading criteria for POPF in 2005, which became widely implemented in both research and clinical settings[4]. In 2023, the International Study Group on Pancreatic Surgery (ISGPS) updated these criteria, emphasizing clinical relevance and reclassifying grade A pancreatic fistula as biochemical leakage rather than true fistula[5]. Our retrospective analysis examines POPF risk factors and develops a predictive model aligned with these revised criteria.

While PD remains essential for treating pancreatic head and duodenal malignancies and chronic pancreatitis, POPF continues to present significant clinical challenges[6-8]. Beyond extending hospitalization and increasing costs, pancreatic fistulas can trigger cascading complications that potentially threaten patient survival. Consequently, developing precise POPF risk prediction tools hold tremendous value for prevention strategies and postoperative management[9]. The pathophysiology of POPF involves the leakage of enzyme-rich pancreatic fluid from the pancreaticojejunostomy anastomosis site, leading to local inflammation, autodigestion of surrounding tissues, and potential vascular erosion. This process is influenced by multiple factors including the texture of the pancreatic remnant, main pancreatic duct diameter, anastomotic technique, intraoperative blood loss, and patient-specific risk factors such as nutritional status, comorbidities, and preoperative biliary obstruction. The complex interplay of these elements underscores the need for comprehensive risk assessment models that incorporate both patient characteristics and surgical variables. Furthermore, recent advances in imaging technology have enabled more precise preoperative assessment of pancreatic parenchyma density, ductal anatomy, and peripancreatic fat distribution, offering new parameters for risk stratification that previous models may not have fully utilized.

Through comprehensive analysis of preoperative clinical variables and intraoperative factors, our research aims to create a predictive model enabling clinicians to promptly identify high-risk patients and implement targeted preventive measures, ultimately reducing POPF incidence and improving surgical outcomes[10-12]. While previous domestic and international studies have proposed various risk assessment frameworks, limitations persist in sample size adequacy and predictive capability[13]. Furthermore, postoperative management approaches vary widely across clinical settings without standardized guidelines. The pressing need exists for individualized risk assessment tools that facilitate personalized postoperative management strategies based on patient-specific clinical characteristics. This investigation leverages comprehensive clinical datasets and advanced analytics to develop a machine learning-based POPF risk prediction model. Our goal is to provide clinicians with robust decision support tools that minimize postoperative complications and enhance both the safety and efficacy of surgical interventions.

MATERIALS AND METHODS
Research subjects

The study incorporated 303 patients diagnosed with PD who were admitted to the Department of Hepatobiliary Surgery at CR&WISCO General Hospital between January 2017 and May 2023. Based on admission timing, patients were categorized into modeling and validation groups. For inclusion in the study, patients needed to have undergone standard contrast-enhanced computed tomography (CT) examination within 14 days before PD procedure and have no prior history of radio or chemotherapy. Patients were excluded from the study if they underwent PD in combination with surgery on other organs, lacked complete clinical information, had additional malignant neoplasms, or received emergency surgical intervention due to trauma. The Medical Ethics Committee of CR&WISCO General Hospital approved this research (Approval No. CRWG2023R033J), and all patients provided signed informed consent for their treatment.

Surgical methods

All surgical procedures for patients in this cohort were conducted by multiple surgeons possessing substantial experience in pancreatic operations. Each patient underwent open radical PD, with digestive tract reconstruction implemented using the classical child methodology.

Diagnostic and grading criteria for POPF

The original ISGPF diagnostic criteria from 2005 defined pancreatic fistula as “drainage amylase content exceeding 3 times the normal upper limit of serum amylase for ≥ 3 days following surgery”, with severity classifications of A, B, and C. The updated ISGPS diagnostic standard maintains the requirement for drainage amylase content surpassing 3 times the normal serum amylase upper limit for ≥ 3 days post-operation, but now associates this with clinical treatment approaches and prognosis outcomes. In the revised standards, what was previously termed “Grade A pancreatic fistula” in the 2005 definition has been reclassified as “biochemical leakage”. This change emphasizes that pancreatic fistula is not considered present when drainage tube amylase content meets diagnostic criteria but does not impact the clinical treatment process or patient prognosis. Table 1 presents the detailed classification system.

Table 1 Comparison of definition and grading system for postoperative pancreatic fistula.

The definition and grading system of postoperative pancreatic fistula in the 2005 ISGPF version
The ISGPS version of the definition and grading system for postoperative pancreatic fistula
ClassificationA-levelB-levelC-level
Clinical manifestationGoodGoodPoor
Special treatmentYesNoNo
Continuous ultrasound or CTNegativePositivePositive
Continuous drainage for > 3 weeksNoNoYes
Secondary surgeryNoNoYes
Pancreatic fistula related deathNoNoNo
Symptoms of infectionNoYesYes
SepsisNoNoYes
ReadmissionNoYesYes
Definition and classificationBiochemical leakageB-levelC-level
On the third day after surgery, the amylase value in the drainage fluid reached more than three times the normal upper limitYesYesYes
Peripancreatic continuous drainage > 3 weeksNoYesYes
Changes in clinically relevant treatment measures for pancreatic fistulaNoYesYes
Transcutaneous or intradermal microscopic puncture drainageNoYesYes
Angiographic intervention treatment of postoperative pancreatic fistula related bleedingNoYesYes
Secondary operationNoNoYes
Postoperative pancreatic fistula related symptoms of infectionNoWith (without organ failure)Yes
Postoperative pancreatic fistula related organs failureNoNoYes
Postoperative pancreas fistula related deathNoNoYes
Prediction system construction and analysis

The pancreatic fistula prediction system developed in this research encompasses two primary indicators: The main pancreatic duct index and the pancreatic CT value. The main pancreatic duct index represents the proportion between the pancreatic duct diameter and the pancreatic thickness at the incision surface. The measurement procedure involves selecting the cross-section where the superior mesenteric vein connects with the hepatic portal vein, then measuring the pancreatic duct diameter at this plane to determine the patient’s main pancreatic duct diameter. The longest anteroposterior diameter of the pancreas, measured perpendicular to the main pancreatic duct direction, was recorded as the patient’s pancreatic thickness. The pancreatic CT value refers to the measured CT value of the pancreatic amputation surface on plain CT scan images. Specifically, using the superior mesenteric artery crossing the left pancreatic side as the incision surface reference, a longitudinal oval region was selected while avoiding the splenic artery and pancreatic duct, and the CT values within this area were documented. Following this procedure, CT values from three distinct pancreatic layers were measured, and their average was calculated to determine the patient’s pancreatic CT value.

Pancreatic CT value measurement

Pancreatic CT values were measured on non-contrast CT images by two blinded radiologists at the level where the superior mesenteric artery crosses the pancreas. An oval region of interest (≥ 50 mm2) was placed in the pancreatic parenchyma, avoiding the main duct, vessels, and focal lesions. Three measurements were taken from different pancreatic sections (head, body, inferior margin) and averaged to obtain the final CT value in Hounsfield unit (HU). Inter-observer agreement was excellent (intraclass correlation coefficient = 0.89), with consensus reading for discrepancies > 5 HU. This standardized approach provides objective, reproducible assessment of pancreatic density as a marker for tissue quality and surgical risk stratification.

Statistical analysis

Statistical analysis was performed using SPSS 26.0 software. Data with normal distribution is expressed as mean ± SD, with group t tests employed for between-group comparisons. Non-normally distributed data is represented by M (P25-P75), with the Mann-Whitney U test utilized for comparisons between groups, while the χ2 test was applied for additional inter-group analyses. Statistically significant risk factors underwent multivariate logistic regression analysis to identify independent risk factors associated with pancreatic fistula and establish a POPF risk prediction model. Receiver operating characteristic (ROC) curves were employed to analyze the optimal sensitivity, specificity, and area under the curve (AUC) of this prediction model for POPF, and model verification was conducted. Statistical significance was defined as P < 0.05.

RESULTS
Analysis of general clinical data

The investigation included a total of 303 participants, with 253 patients receiving PD from January 2017 through July 2022 (constituting the modeling group) and 50 additional patients treated between August 2022 and May 2023 (forming the validation group). Among the participants, 197 were males and 106 were females, with ages spanning from 34 to 82 years and an average age of 62 ± 8 years. Concurrent medical conditions were documented, including diabetes mellitus (affecting 67 individuals) and cholangitis (present in 61 individuals), while 35 participants had undergone biliary drainage procedures prior to surgery. Histopathological evaluation revealed a spectrum of diagnoses: Cancer of the pancreatic head (identified in 72 individuals), malignancy of the lower common bile duct (documented in 63 individuals), ampullary carcinoma (diagnosed in 123 individuals), duodenal malignancy (found in 23 individuals), and various non-malignant conditions (present in 22 individuals, specifically including 2 cases of duodenal papillitis, 5 instances of pancreatitis, 4 cases of duodenal papilloma, 2 pancreatic head neuroendocrine tumors, 7 benign pancreatic cystic neoplasms, and 2 occurrences of cholangitis). With respect to operative approaches, 57 participants underwent pancreatic duct jejunal mucosal-to-mucosal anastomotic procedures, while end-to-side pancreaticojejunostomy was performed in 246 participants. Pancreatic duct drainage stents were implemented in all cases, whereas biliary duct stent tubes were not utilized in any patients (Table 2).

Table 2 Clinical characteristics of the modeling and validation sets, n (%).
Index
Modeling group (n = 253)
Validation group (n = 50)
P value
Gender0.416
Male167 (66.0)30 (60.0)
Female86 (34.0)20 (40.0)
Age (years)61 ± 962 ± 70.686
BMI (kg/m2)23.1 ± 2.722.4 ± 3.30.312
Alcohol consumption0.246
Yes48 (19.0)13 (26.0)
No205 (81.0)37 (74.0)
Smoking0.846
Yes110 (43.5)21 (42.0)
No143 (56.5)29 (58.0)
Diabetes0.983
Yes56 (22.1)11 (22.0)
No197 (77.9)39 (78.0)
Main pancreatic duct diameter (mm)3.8 ± 2.13.7 ± 2.20.606
Cutting edge pancreatic thickness (mm)15.3 ± 3.514.7 ± 3.10.220
Main pancreatic duct index0.3 ± 0.20.3 ± 0.20.885
Portal vein invasion0.901
Yes16 (6.3)4 (8.0)
No237 (93.7)46 (92.0)
Intra-abdominal fat thickness (mm)71.1 ± 27.268.3 ± 25.30.389
Pancreatic CT value (HU)38.6 ± 8.338.1 ± 8.80.693
Preoperative biliary drainage0.707
Yes30 (11.9)5 (10.0)
No223 (88.1)45 (90.0)
Preoperative laboratory examination
White blood cells6.1 ± 1.75.9 ± 1.60.397
Platelets232.5 ± 68.5240.3 ± 62.80.316
Albumin (g/L)39.3 ± 4.138.7 ± 3.80.662
Total bilirubin (μmol/L)121.3 (34.1-231.4)130.5 (39.2-190.0)0.747
Serum amylase (IU/L)25.0 (16.0-42.0)26.0 (19.5-39.3)0.737
CA19-9 (U/mL)81.9 (34.2-273.1)94.0 (28.5-357.5)0.626
Pancreatic intestinal anastomosis method0.814
Pancreatic duct jejunal mucosa vs mucosa47 (18.6)10 (20.0)
Pancreatic intestinal end to side insertion206 (81.4)40 (80.0)
Pancreatic cancer0.684
Yes59 (23.3)13 (26.0)
No194 (76.7)37 (74.0)
Postoperative pancreatic dysfunction
ISGPF0.517
Yes124 (49.0)22 (44.0)
No129 (51.0)28 (56.0)
ISGPS0.987
Yes61 (24.1)12 (24.0)
No192 (75.9)38 (76.0)
Surgical related deaths0.658
Yes8 (3.2)1 (2.0)
No245 (96.8)49 (98.0)
Comparison of pancreatic fistula after PD in the modeling group

Within the modeling group consisting of 253 patients, postoperative interventions included percutaneous drainage procedures for 41 individuals who developed abdominal effusion, pleural effusion, or liver abscess. Additionally, 8 patients received angiogram interventional therapy to address hemorrhage related to pancreatic fistula, while secondary surgical interventions became necessary for 3 patients who experienced abdominal bleeding attributed to pancreatic fistula. Perioperative mortality occurred in 8 patients, with 6 of these deaths resulting from peritoneal infection and hemorrhagic complications associated with pancreatic fistula. When analyzed according to the original ISGPF POPF definition and grading criteria established in 2005, pancreatic fistula was identified in 124 of the 253 modeling group patients (distributed as 50 patients with grade A classification, 64 patients with grade B classification, and 10 patients with grade C classification), yielding an overall incidence rate of 49.0%. In contrast, application of the revised ISGPS POPF definition and classification system revealed pancreatic fistula in 61 of the 253 modeling group patients (comprising 53 individuals with grade B classification and 8 individuals with grade C classification), corresponding to an incidence rate of 24.1%. The implementation of the updated classification system resulted in downgrading certain cases previously categorized as C-grade pancreatic fistulas to B-grade designations, while some former B-grade pancreatic fistulas were reclassified as biochemical leakage. Consequently, within this identical patient population, the modification of diagnostic criteria produced a substantial reduction in the documented pancreatic fistula incidence, decreasing from 49.0% to 24.1%.

Single-factor analysis of pancreatic fistula risk after PD in the modeling group

Regarding the 2005 ISGPF POPF definition and classification system: Univariate analysis outcomes revealed that several factors demonstrated significant correlation with pancreatic fistula development following PD (P < 0.05), including the main pancreatic duct’s diameter, the calculated index of the main pancreatic duct, portal vein invasion status, the measured thickness of intra-abdominal adipose tissue, implementation of preoperative biliary drainage procedures, presence or absence of pancreatic malignancy, the measured thickness at the pancreatic resection margin, the quantified CT value of pancreatic tissue, and preoperative blood amylase concentration levels (Table 3).

Table 3 Univariate analysis results of risk factors related to postoperative pancreatic fistula after pancreaticoduodenectomy (2005 International Study Group of Pancreatic Fistula edition).
Index
Postoperative pancreatic fistula in PD patients
Statistical value
P value
Yes
No
Main pancreatic duct diameterχ2 = 31.641< 0.001
≤ 3 mm8846
> 3 mm3683
Main pancreatic duct indexχ2 = 52.777< 0.001
≤ 0.2510147
> 0.252382
Portal vein invasionχ2 = 6.2590.012
Yes313
No121116
Intra-abdominal fat thicknessχ2 = 7.6650.006
≤ 65 mm4367
> 65 mm8162
Preoperative biliary drainageχ2 = 5.9990.014
Yes219
No103120
Pancreatic cancerχ2 = 5.5440.019
Yes2138
No10391
Cutting edge pancreatic thickness (mm)16.5 ± 3.715.0 ± 3.8t = 2.0550.032
Pancreatic CT value (HU)36.3 ± 6.441.1 ± 9.6t = -3.2240.002
Genderχ2 = 0.5720.449
Male7988
Female4541
Drinking alcoholχ2 = 1.2420.265
Yes2721
No97108
Smokingχ2 = 0.000.974
Yes5456
No7073
Diabetesχ2 = 0.5490.459
Yes2531
No9998
Pancreatic intestinal anastomosis methodχ2 = 1.7030.192
Pancreatic duct jejunal mucosa vs mucosa1928
Pancreatic intestinal end to side insertion105101
Age (years)61 ± 961 ± 7f = -0.2590.796
BMI (kg/m2)23.0 ± 3.123.2 ± 2.8t = -0.3720.626
Preoperative laboratory examination
White blood cells6.1 ± 1.96.0 ± 1.6t = 0.7730.441
Platelets230.4 ± 69.6235.0 ± 64.1t = -0.8920.374
Albumin (g/L)39.4 ± 4.238.9 ± 4.1t = 0.7570.450
Total bilirubin (μmol/L)124.8 (55.6-249.3)117.8 (37.0-219.1)U = -1.0930.275
CA19-9 (U/mL)73.3 (29.4-222.6)96.2 (42.0-370.1)U = -1.0690.285
Serum amylase (IU/L)23.0 (17.0-34.0)31.5 (17.3-60.0)U = -2.0990.036

When examining the revised ISGPS POPF definition and grading system: Findings from univariate analysis demonstrated that pancreatic fistula occurrence after PD showed significant association (P < 0.05) with five key parameters - specifically, the dimensional measurement of the main pancreatic duct, the calculated ratio known as the main pancreatic duct index, the quantified thickness of intra-abdominal fat deposits, the measured thickness of the pancreatic tissue at the surgical incision margin, and the numerically determined CT value of pancreatic parenchyma (Table 4).

Table 4 Univariate analysis results of risk factors related to postoperative pancreatic fistula after pancreaticoduodenectomy (International Study Group on Pancreatic Surgery).
Index
Postoperative pancreatic fistula after PD surgery
Statistical value
P value
Yes
No
Main pancreatic duct diameterχ2 = 5.3910.020
≤ 3 mm3990
> 3 mm22102
Main pancreatic duct indexχ2 = 11.390.001
≤ 0.2547101
> 0.251491
Intra-abdominal fat thicknessχ2 = 8.8990.003
≤ 65 mm1692
> 65 mm45100
Cutting edge pancreatic thickness (mm)17.0 ± 4.214.5 ± 3.6t = 2.6650.009
Pancreatic CT value (HU)36.2 ± 7.339.7 ± 8.8t = -2.8350.004
Portal vein invasionχ2 = 0.6720.412
Yes214
No59178
Preoperative biliary drainageχ2 = 2.9330.087
Yes1119
No50173
Pancreatic cancerχ2 = 1.7210.190
Yes1841
No43151
Genderχ2 = 0.7200.396
Male43124
Female1868
Drinking alcoholχ2 = 0.2860.593
Yes1335
No48157
Smokingχ2 = 0.0200.887
Yes2783
No34109
Diabetesχ2 = 0.2830.595
Yes1244
No49148
Pancreatic intestinal anastomosis methodχ2 = 2.6800.102
Pancreatic duct jejunal mucosa vs mucosa740
Pancreatic intestinal end to side insertion54152
Age (years)6 ± 860 ± 10t = 1.2460.215
BMI (kg/m2)22.9 ± 4.323.3 ± 2.1t = -0.7380.534
Preoperative laboratory examination
White blood cells6.2 ± 2.36.0 ± 1.7t = 0.4740.673
Platelets230.9 ± 67.9237.8 ± 73.2t = -0.5230.602
Albumin (g/L)39.2 ± 4.339.0 ± 4.0t = 0.3030.762
Total bilirubin (μmol/L)127.1 (50.0-231.4)121.5 (32.9-216.6)U = -0.8820.378
CA19-9 (U/mL)97.4 (34.5-314.4)80.9 (27.3-344.3)U = -0.4980.618
Serum amylase (IU/L)24.0 (17.0-33.8)30.0 (17.0-58.0)U = -1.8180.069
Multivariate logistic regression analysis of pancreatic fistula after PD

In relation to the 2005 edition of the ISGPF POPF definition and classification system: Those variables demonstrating statistical significance during univariate analysis underwent subsequent examination through multivariate logistic regression methodology. The analytical outcomes identified three parameters as independent risk factors contributing to pancreatic fistula formation following PD procedures (P < 0.05), specifically: The calculated principal pancreatic duct index, the histopathological confirmation of pancreatic malignancy, and the quantitative CT value measurement of pancreatic tissue.

With respect to the updated ISGPS POPF definition and classification framework: Variables exhibiting statistical significance in preliminary univariate analysis were subjected to comprehensive multivariate logistic regression evaluation. This advanced statistical assessment determined that two specific parameters functioned as independent risk factors for the development of pancreatic fistula complications after PD interventions (P < 0.05): The mathematically derived principal pancreatic duct index and the radiologically determined pancreatic CT value measurement.

Pancreatic fistula risk prediction model after PD surgery

According to the multivariate logistic analysis results of the new ISGPS definition of pancreatic fistula and the grading standard, the logistic regression probability equation, that is, the risk probability model of pancreatic fistula after PD, can be obtained: P = 1/[1 + e-(2.667 - 6.995 × principal pancreatic duct index - 0.059 × pancreatic CT value)].

The predictive value of the pancreatic fistula prediction model for POPF with PD

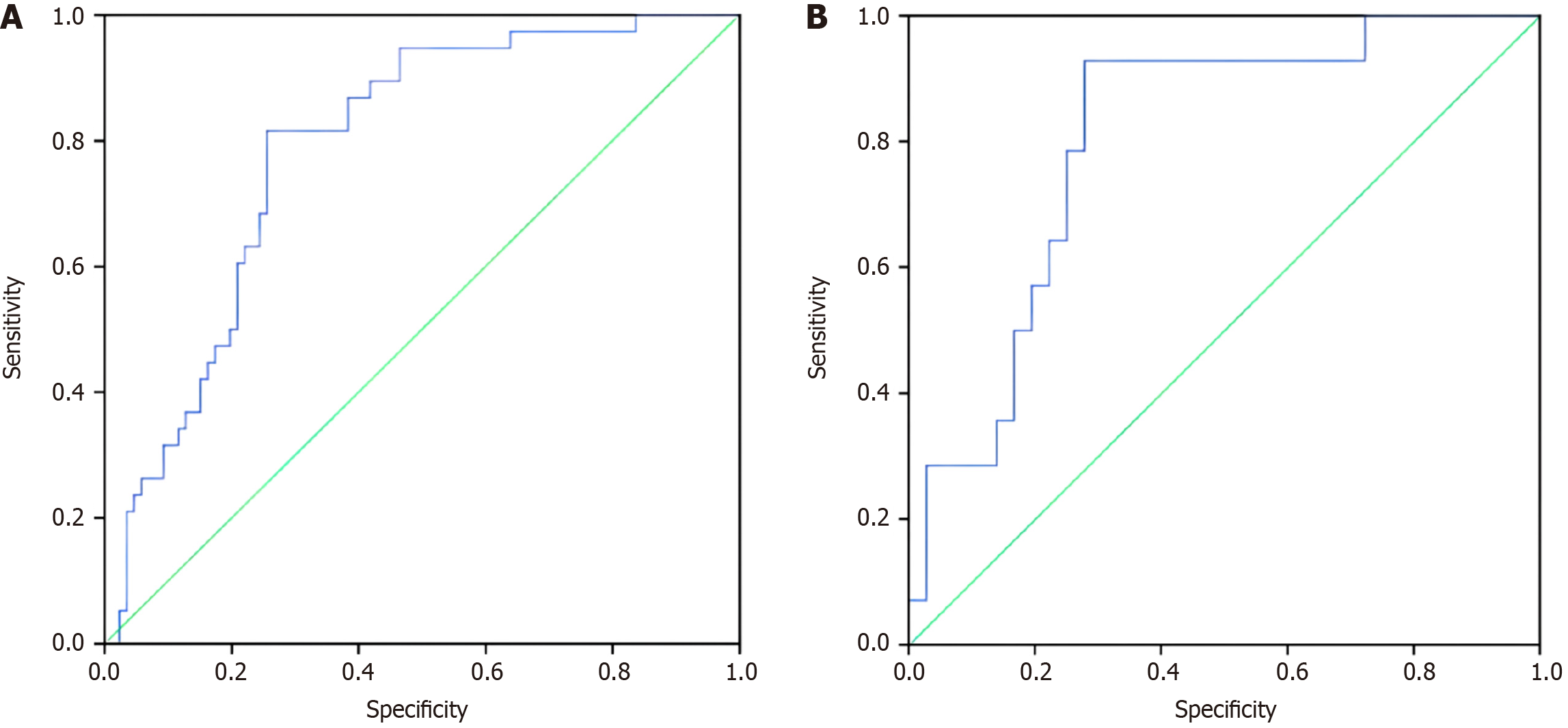
ROC curve analysis of the prediction model revealed that when the diagnostic threshold of the P-value was 0.32, the sensitivity of the ROC curve was 81.6%, the specificity was 74.4%, and the AUC was 0.788 (95% confidence interval: 0.77-0.870) (Figure 1A).

Figure 1
Figure 1 Receiver operating characteristic curve of the prediction model for pancreatic fistula after pancreaticoduodenectomy and pancreaticoduodenectomy in validation set. A: Receiver operating characteristic curve of the prediction model for pancreatic fistula after pancreaticoduodenectomy; B: Receiver operating characteristic curve of the prediction model for pancreatic fistula after pancreaticoduodenectomy in validation set.
Validation of the pancreatic fistula prediction model

To further verify this model, 50 patients who underwent PD surgery between August 2022 and May 2023 were selected as the verification group. The predictive model was applied to this group of patients, and ROC curve analysis revealed that the AUC of POPF in PD patients predicted by this model was 0.804 (95% confidence interval: 0.675-0.932) (Figure 1B).

DISCUSSION

The ISGPF pioneered the initial POPF definition and classification system for PD, which gained widespread adoption in both clinical practice and research settings[14-16]. By December 2015, this framework had received over 1700 citations and been applied to analyze more than 320000 patients clinically. However, with time, increasing problems and limitations emerged within the grading system[17]. The ISGPF revised its definition and grading criteria in 2016, reclassifying “Grade A pancreatic fistula” from the 2005 definition as “bioleakage”, which no longer constitutes a true pancreatic fistula[18-20]. Clinical relevance drives the necessity for diagnosing grade B fistulas, which impact postoperative management. Beyond “biochemical leakage”, grade B fistula diagnosis requires any of these conditions: Persistent abdominal drainage exceeding 3 weeks, modification of clinically relevant pancreatic fistula treatment approaches, percutaneous or endoscopic drainage, angiographic intervention for bleeding, without infection signs or organ failure (the updated criteria note that discharged patients with tubes who maintain good condition, oral intake, and tube observation beyond 3 weeks still represent biochemical leakage)[21-23]. Grade B pancreatic fistula escalates to grade C when reoperation becomes necessary, when one or more organs fail, or when death occurs. The 2016 revision emphasizes clinical relevance with clearer definitions, classifications, and enhanced practical applicability[24].

Numerous investigations have explored various risk factors associated with POPF development in patients undergoing PD, encompassing parameters from preoperative, intraoperative, and postoperative phases[25-28]. Scientists worldwide have consolidated multiple risk determinants to establish prediction systems for pancreatic fistula with enhanced predictive capability[29]. The diameter of the main pancreatic duct and pancreatic tissue consistency are presently recognized as established risk determinants. Supplementary factors identified include patient age, gender, main pancreatic duct index, body mass index (BMI), intra-abdominal adipose tissue thickness, histopathological diagnosis, volume of intraoperative blood loss, preoperative amylase concentration in blood, inflammatory markers following surgery, invasion of the portal vein, along with additional variables documented throughout scientific literature[30-32]. This current research endeavor screened potential risk determinants according to both previous and updated definitional criteria, producing outcomes that align with findings from earlier research efforts[33-35]. The index of the main pancreatic duct and the CT value of pancreatic tissue emerged as independent factors associated with risk under both grading methodologies. The main pancreatic duct index - representing the proportional relationship between ductal diameter and pancreatic thickness[36-38]. The present investigation substituted pancreatic texture evaluation with pancreatic CT value measurement based on two fundamental considerations: (1) Pancreatic texture assessment lacks standardized evaluative criteria, predominantly relying on subjective tactile assessment during surgical procedures, which resists precise quantification; and (2) Pancreatic textural characteristics demonstrate correlation with measured CT values. Elevated pancreatic CT values indicate increased tissue density, more pronounced fibrotic changes, and consequently reduced risk of fistula formation. Among the 253 patients comprising the modeling cohort, cases developing pancreatic fistula demonstrated CT values measuring 36.3 ± 6.4 HU (according to 2005 edition criteria) and 36.2 ± 7.3 HU (according to 2016 edition criteria), whereas cases without fistula development exhibited measurements of 41.1 ± 9.6 HU (according to 2005 edition criteria) and 39.7 ± 8.8 HU (according to 2016 edition criteria), revealing statistically meaningful differences across both classification systems (P = 0.002 and P = 0.004, respectively)[36-38]. In this research investigation, conventional soft vs hard pancreatic texture classification was supplanted by pancreatic CT value measurement based on dual rationales: (1) The absence of universally acknowledged standards for pancreatic texture assessment, which traditionally relies on intraoperative tactile evaluation by the operating surgeon, introducing significant subjective variation that defies reliable quantification; and (2) The established correlation between pancreatic textural properties and pancreatic CT value measurements. One may reasonably conclude that increased pancreatic CT values correspond to greater pancreatic tissue density, more advanced pancreatic fibrosis, and consequently diminished risk of pancreatic fistula development. Within the modeling group comprising 253 patients in this investigation, patients developing pancreatic fistula demonstrated pancreatic CT values of 36.3 ± 6.4 HU (according to 2005 edition criteria) and 36.2 ± 7.3 HU (according to 2016 edition criteria). Conversely, patients without pancreatic fistula exhibited pancreatic CT values of 41.1 ± 9.6 HU (according to 2005 edition criteria) and 39.7 ± 8.8 HU (according to 2016 edition criteria). Statistically significant distinctions were observed between pancreatic CT values in patients with vs without pancreatic fistula according to different edition grading methodologies (P = 0.002 and P = 0.004). Our findings align with histopathological studies demonstrating that pancreatic fibrosis and fat infiltration significantly influence POPF risk. Strong correlation between CT density values and histological fibrosis scores (r = 0.72, P < 0.001). Compared to existing models, our AUC values of 0.788-0.804 are comparable to the widely-used Fistula Risk Score (FRS) which reports AUCs of 0.763-0.821 in validation studies. Based on our ROC analysis, we recommend the following risk-stratified management approach: Patients with predicted POPF probability > 32% should be considered high-risk, warranting prophylactic measures including somatostatin analog administration, extended drainage tube placement, and consideration of modified anastomotic techniques (duct-to-mucosa rather than end-to-side).

Throughout the previous decade, researchers domestically and internationally have formulated systems for predicting post-PD pancreatic fistula by integrating multiple fistula-related risk determinants. Trudeau et al[39] developed the FRS prediction scoring methodology (ranging from 0-10 points) incorporating pancreatic textural assessment, main pancreatic duct dimensional measurement, pathological findings, and intraoperative blood transfusion volume, stratifying patients into negligible risk (0 points), low risk (1-2 points), moderate risk (3-6 points), and high risk (7-10 points) categories. There is a study incorporated pancreatic textural assessment, main pancreatic duct dimensional measurement, and BMI, calculating fistula occurrence probability through a specific mathematical formula - representing a simplified, user-oriented alternative to the comprehensive FRS methodology[39]. First postoperative day intraperitoneal amylase concentration exceeding 2615 U/L as independent risk determinants, establishing a model with 0.888 predictive value. A scoring methodology utilizing exclusively first postoperative day measurements including abdominal drainage amylase ≥ 1000 IU/L and serum C-reactive protein ≥ 90 mg/L, achieving comparable predictive accuracy[40-43]. The parameters comprising this model derive entirely from preoperative CT imaging assessment, offering straightforward, objective, quantitative clinical application with robust reproducibility[41-43]. This predictive model provides meaningful clinical utility for preoperative risk assessment regarding pancreatic fistula development. Nevertheless, as this represents a single-center retrospective investigation, subsequent research initiatives should examine relationships between preoperative CT indicators and pancreatic fistula occurrence through large-sample prospective studies to further validate this prediction methodology.

Limitations and future directions

This single-center retrospective study has limited generalizability and potential selection bias. Our prediction model relies only on preoperative CT parameters, which may not capture important intraoperative variables affecting POPF development. The substitution of pancreatic CT values for subjective gland texture assessment requires further validation across different imaging protocols. We are planning a multicenter prospective validation study to confirm our model’s generalizability across different institutions. Future research will integrate dynamic intraoperative factors including real-time gland texture assessment and blood flow measurements through standardized protocols. We also plan to explore machine learning approaches to incorporate additional variables such as serum biomarkers (carbohydrate antigen 19-9, albumin), operative time, and surgeon experience for personalized risk prediction. These advances may enable more precise POPF prediction and tailored perioperative management strategies to improve surgical outcomes.

CONCLUSION

The main pancreatic duct index and pancreatic CT value are significant independent risk factors for pancreatic fistula development following PD. Our prediction model based on these parameters demonstrates strong predictive capability with AUCs of 0.788 and 0.804 in the modeling and validation groups, respectively.

References
1.  Wu J, Tang Z, Zhao G, Zang L, Li Z, Zang W, Li Z, Qu J, Yan S, Zheng C, Ji G, Zhu L, Zhao Y, Zhang J, Huang H, Hao Y, Fan L, Xu H, Li Y, Yang L, Song W, Zhu J, Zhang W, Li M, Qin X, Liu F. Incidence and risk factors for postoperative pancreatic fistula in 2089 patients treated by radical gastrectomy: A prospective multicenter cohort study in China. Int J Surg. 2022;98:106219.  [RCA]  [PubMed]  [DOI]  [Full Text]  [Cited by in Crossref: 12]  [Cited by in RCA: 13]  [Article Influence: 3.3]  [Reference Citation Analysis (0)]
2.  Schuh F, Mihaljevic AL, Probst P, Trudeau MT, Müller PC, Marchegiani G, Besselink MG, Uzunoglu F, Izbicki JR, Falconi M, Castillo CF, Adham M, Z'graggen K, Friess H, Werner J, Weitz J, Strobel O, Hackert T, Radenkovic D, Kelemen D, Wolfgang C, Miao YI, Shrikhande SV, Lillemoe KD, Dervenis C, Bassi C, Neoptolemos JP, Diener MK, Vollmer CM Jr, Büchler MW. A Simple Classification of Pancreatic Duct Size and Texture Predicts Postoperative Pancreatic Fistula: A classification of the International Study Group of Pancreatic Surgery. Ann Surg. 2023;277:e597-e608.  [RCA]  [PubMed]  [DOI]  [Full Text]  [Cited by in Crossref: 186]  [Cited by in RCA: 187]  [Article Influence: 62.3]  [Reference Citation Analysis (1)]
3.  Stoop TF, Bergquist E, Theijse RT, Hempel S, van Dieren S, Sparrelid E, Distler M, Hackert T, Besselink MG, Del Chiaro M, Ghorbani P; Collaborators. Systematic Review and Meta-analysis of the Role of Total Pancreatectomy as an Alternative to Pancreatoduodenectomy in Patients at High Risk for Postoperative Pancreatic Fistula: Is it a Justifiable Indication? Ann Surg. 2023;278:e702-e711.  [RCA]  [PubMed]  [DOI]  [Full Text]  [Cited by in Crossref: 7]  [Cited by in RCA: 31]  [Article Influence: 10.3]  [Reference Citation Analysis (0)]
4.  Zhou M, Zhong G, Sun H, Zhu Q, Wang Z. Risk factors for postoperative pancreatic fistula (POPF) in gastric cancer patients: A systematic review and meta-analysis. Eur J Surg Oncol. 2023;49:107092.  [RCA]  [PubMed]  [DOI]  [Full Text]  [Cited by in Crossref: 12]  [Cited by in RCA: 8]  [Article Influence: 2.7]  [Reference Citation Analysis (0)]
5.  Baron TH, DiMaio CJ, Wang AY, Morgan KA. American Gastroenterological Association Clinical Practice Update: Management of Pancreatic Necrosis. Gastroenterology. 2020;158:67-75.e1.  [RCA]  [PubMed]  [DOI]  [Full Text]  [Cited by in Crossref: 631]  [Cited by in RCA: 484]  [Article Influence: 80.7]  [Reference Citation Analysis (0)]
6.  PARANOIA Study Group; Writing Committee, Pande R, Halle-Smith JM, Thorne T, Hiddema L, Hodson J, Roberts KJ;  Steering Committee, Arshad A, Connor S, Conlon KCP, Dickson EJ, Giovinazzo F, Harrison E, de Liguori Carino N, Hore T, Knight SR, Loveday B, Magill L, Mirza D, Pandanaboyana S, Perry RJ, Pinkney T, Siriwardena AK, Satoi S, Skipworth J, Stättner S, Sutcliffe RP, Tingstedt B. Can trainees safely perform pancreatoenteric anastomosis? A systematic review, meta-analysis, and risk-adjusted analysis of postoperative pancreatic fistula. Surgery. 2022;172:319-328.  [RCA]  [PubMed]  [DOI]  [Full Text]  [Cited by in RCA: 4]  [Reference Citation Analysis (0)]
7.  Chong E, Ratnayake B, Lee S, French JJ, Wilson C, Roberts KJ, Loveday BPT, Manas D, Windsor J, White S, Pandanaboyana S. Systematic review and meta-analysis of risk factors of postoperative pancreatic fistula after distal pancreatectomy in the era of 2016 International Study Group pancreatic fistula definition. HPB (Oxford). 2021;23:1139-1151.  [RCA]  [PubMed]  [DOI]  [Full Text]  [Cited by in Crossref: 75]  [Cited by in RCA: 62]  [Article Influence: 12.4]  [Reference Citation Analysis (0)]
8.  Mehdorn AS, Schwieters AK, Mardin WA, Senninger N, Strücker B, Pascher A, Vowinkel T, Becker F. Pancreatic Fistula and Biochemical Leak after Splenectomy: Incidence and Risk Factors-A Retrospective Single-Center Analysis. Langenbecks Arch Surg. 2022;407:2517-2525.  [RCA]  [PubMed]  [DOI]  [Full Text]  [Full Text (PDF)]  [Cited by in Crossref: 11]  [Cited by in RCA: 9]  [Article Influence: 2.3]  [Reference Citation Analysis (1)]
9.  Wu L, Zhong Y, Wu D, Xu P, Ruan X, Yan J, Liu J, Li X. Immunomodulatory Factor TIM3 of Cytolytic Active Genes Affected the Survival and Prognosis of Lung Adenocarcinoma Patients by Multi-Omics Analysis. Biomedicines. 2022;10:2248.  [RCA]  [PubMed]  [DOI]  [Full Text]  [Full Text (PDF)]  [Cited by in Crossref: 90]  [Cited by in RCA: 85]  [Article Influence: 21.3]  [Reference Citation Analysis (1)]
10.  Malgras B, Dokmak S, Aussilhou B, Pocard M, Sauvanet A. Management of postoperative pancreatic fistula after pancreaticoduodenectomy. J Visc Surg. 2023;160:39-51.  [RCA]  [PubMed]  [DOI]  [Full Text]  [Cited by in Crossref: 39]  [Cited by in RCA: 27]  [Article Influence: 9.0]  [Reference Citation Analysis (0)]
11.  He C, Zhang Y, Li L, Zhao M, Wang C, Tang Y. Risk factor analysis and prediction of postoperative clinically relevant pancreatic fistula after distal pancreatectomy. BMC Surg. 2023;23:5.  [RCA]  [PubMed]  [DOI]  [Full Text]  [Cited by in RCA: 17]  [Reference Citation Analysis (0)]
12.  Lee JM, Yoon JH. Dual-Energy CT for Risk of Postoperative Pancreatic Fistula. Radiology. 2022;304:73-74.  [RCA]  [PubMed]  [DOI]  [Full Text]  [Cited by in RCA: 3]  [Reference Citation Analysis (0)]
13.  Wu L, Chen X, Zeng Q, Lai Z, Fan Z, Ruan X, Li X, Yan J. NR5A2 gene affects the overall survival of LUAD patients by regulating the activity of CSCs through SNP pathway by OCLR algorithm and immune score. Heliyon. 2024;10:e28282.  [RCA]  [PubMed]  [DOI]  [Full Text]  [Full Text (PDF)]  [Cited by in Crossref: 55]  [Cited by in RCA: 54]  [Article Influence: 27.0]  [Reference Citation Analysis (0)]
14.  Ingwersen EW, Bereska JI, Balduzzi A, Janssen BV, Besselink MG, Kazemier G, Marchegiani G, Malleo G, Marquering HA, Nio CY, de Robertis R, Salvia R, Steyerberg EW, Stoker J, Struik F, Verpalen IM, Daams F; Pancreatobiliary and Hepatic Artificial Intelligence Research (PHAIR) consortium. Radiomics preoperative-Fistula Risk Score (RAD-FRS) for pancreatoduodenectomy: development and external validation. BJS Open. 2023;7:zrad100.  [RCA]  [PubMed]  [DOI]  [Full Text]  [Cited by in RCA: 12]  [Reference Citation Analysis (0)]
15.  Wu L, Liu Q, Ruan X, Luan X, Zhong Y, Liu J, Yan J, Li X. Multiple Omics Analysis of the Role of RBM10 Gene Instability in Immune Regulation and Drug Sensitivity in Patients with Lung Adenocarcinoma (LUAD). Biomedicines. 2023;11:1861.  [RCA]  [PubMed]  [DOI]  [Full Text]  [Full Text (PDF)]  [Cited by in Crossref: 91]  [Cited by in RCA: 78]  [Article Influence: 26.0]  [Reference Citation Analysis (1)]
16.  Ohgi K, Yamamoto Y, Sugiura T, Okamura Y, Ito T, Ashida R, Uesaka K. The clinical impact and risk factors of latent pancreatic fistula after pancreatoduodenectomy. J Hepatobiliary Pancreat Sci. 2020;27:1002-1010.  [RCA]  [PubMed]  [DOI]  [Full Text]  [Cited by in Crossref: 3]  [Cited by in RCA: 8]  [Article Influence: 1.3]  [Reference Citation Analysis (0)]
17.  Song Y, Zhang S. Serum Creatinine and Amylase in Drain to Predict Pancreatic Fistula Risk after Pancreatoduodenectomy. Dig Surg. 2023;40:205-215.  [RCA]  [PubMed]  [DOI]  [Full Text]  [Cited by in RCA: 2]  [Reference Citation Analysis (0)]
18.  Zhang B, Yuan Q, Li S, Xu Z, Chen X, Li L, Shang D. Risk factors of clinically relevant postoperative pancreatic fistula after pancreaticoduodenectomy: A systematic review and meta-analysis. Medicine (Baltimore). 2022;101:e29757.  [RCA]  [PubMed]  [DOI]  [Full Text]  [Full Text (PDF)]  [Cited by in RCA: 34]  [Reference Citation Analysis (0)]
19.  Wu L, Zheng Y, Ruan X, Wu D, Xu P, Liu J, Wu D, Li X. Long-chain noncoding ribonucleic acids affect the survival and prognosis of patients with esophageal adenocarcinoma through the autophagy pathway: construction of a prognostic model. Anticancer Drugs. 2022;33:e590-e603.  [RCA]  [PubMed]  [DOI]  [Full Text]  [Cited by in Crossref: 92]  [Cited by in RCA: 91]  [Article Influence: 22.8]  [Reference Citation Analysis (4)]
20.  Abe K, Kitago M, Shinoda M, Yagi H, Abe Y, Oshima G, Hori S, Yokose T, Endo Y, Kitagawa Y. High risk pathogens and risk factors for postoperative pancreatic fistula after pancreatectomy; a retrospective case-controlled study. Int J Surg. 2020;82:136-142.  [RCA]  [PubMed]  [DOI]  [Full Text]  [Cited by in Crossref: 5]  [Cited by in RCA: 16]  [Article Influence: 2.7]  [Reference Citation Analysis (0)]
21.  Schouten TJ, Henry AC, Smits FJ, Besselink MG, Bonsing BA, Bosscha K, Busch OR, van Dam RM, van Eijck CH, Festen S, Groot Koerkamp B, van der Harst E, de Hingh IHJT, Kazemier G, Liem MSL, de Meijer VE, Patijn GA, Roos D, Schreinemakers JMJ, Stommel MWJ, Wit F, Daamen LA, Molenaar IQ, van Santvoort HC; Dutch Pancreatic Cancer Group. Risk Models for Developing Pancreatic Fistula After Pancreatoduodenectomy: Validation in a Nationwide Prospective Cohort. Ann Surg. 2023;278:1001-1008.  [RCA]  [PubMed]  [DOI]  [Full Text]  [Cited by in Crossref: 4]  [Cited by in RCA: 25]  [Article Influence: 8.3]  [Reference Citation Analysis (0)]
22.  Wu L, Zhong Y, Yu X, Wu D, Xu P, Lv L, Ruan X, Liu Q, Feng Y, Liu J, Li X. Selective poly adenylation predicts the efficacy of immunotherapy in patients with lung adenocarcinoma by multiple omics research. Anticancer Drugs. 2022;33:943-959.  [RCA]  [PubMed]  [DOI]  [Full Text]  [Cited by in Crossref: 85]  [Cited by in RCA: 86]  [Article Influence: 21.5]  [Reference Citation Analysis (1)]
23.  Brunner M, Kovacevic J, Krautz C, Merkel S, Hartmann A, Grützmann R, Haller F, Weber GF. Analysis of Intraoperative Frozen Pancreatic Resection Margin and Prediction of Postoperative Pancreatic Fistula Risk During Pancreatoduodenectomy. J Am Coll Surg. 2022;234:928-937.  [RCA]  [PubMed]  [DOI]  [Full Text]  [Cited by in Crossref: 1]  [Cited by in RCA: 9]  [Article Influence: 2.3]  [Reference Citation Analysis (3)]
24.  Bhasker N, Kolbinger FR, Skorobohach N, Zwanenburg A, Löck S, Weitz J, Hoffmann RT, Distler M, Speidel S, Leger S, Kühn JP. Prediction of clinically relevant postoperative pancreatic fistula using radiomic features and preoperative data. Sci Rep. 2023;13:7506.  [RCA]  [PubMed]  [DOI]  [Full Text]  [Cited by in Crossref: 3]  [Cited by in RCA: 12]  [Article Influence: 4.0]  [Reference Citation Analysis (0)]
25.  Yang F, Xu Y, Jin C, Windsor JA, Fu D. Predicting pancreatic fistula after central pancreatectomy using current fistula risk scores for pancreaticoduodenectomy and distal pancreatectomy. Pancreatology. 2023;23:843-851.  [RCA]  [PubMed]  [DOI]  [Full Text]  [Cited by in Crossref: 1]  [Cited by in RCA: 6]  [Article Influence: 2.0]  [Reference Citation Analysis (0)]
26.  Wu L, Li H, Liu Y, Fan Z, Xu J, Li N, Qian X, Lin Z, Li X, Yan J. Research progress of 3D-bioprinted functional pancreas and in vitro tumor models. Int J Bioprint. 2024;10:1256.  [PubMed]  [DOI]  [Full Text]
27.  Mohamed A, Nicolais L, Fitzgerald TL. Revisiting the Pancreatic Fistula Risk Score: Clinical Nomogram Accurately Assesses Risk. Am Surg. 2023;89:837-843.  [RCA]  [PubMed]  [DOI]  [Full Text]  [Cited by in RCA: 6]  [Reference Citation Analysis (0)]
28.  Guo C, Xie B, Guo D. Does pancreatic duct stent placement lead to decreased postoperative pancreatic fistula rates after pancreaticoduodenectomy? A meta-analysis. Int J Surg. 2022;103:106707.  [RCA]  [PubMed]  [DOI]  [Full Text]  [Cited by in Crossref: 36]  [Cited by in RCA: 24]  [Article Influence: 6.0]  [Reference Citation Analysis (0)]
29.  van den Broek BLJ, Zwart MJW, Bonsing BA, Busch OR, van Dam JL, de Hingh IHJT, Hogg ME, Luyer MD, Mieog JSD, Stibbe LA, Takagi K, Tran TCK, de Wilde RF, Zeh HJ 3rd, Zureikat AH, Groot Koerkamp B, Besselink MG; Dutch Pancreatic Cancer Group. Video Grading of Pancreatic Anastomoses During Robotic Pancreatoduodenectomy to Assess Both Learning Curve and the Risk of Pancreatic Fistula: A Post Hoc Analysis of the LAELAPS-3 Training Program. Ann Surg. 2023;278:e1048-e1054.  [RCA]  [PubMed]  [DOI]  [Full Text]  [Full Text (PDF)]  [Cited by in Crossref: 11]  [Cited by in RCA: 15]  [Article Influence: 5.0]  [Reference Citation Analysis (0)]
30.  Wu L, Li X, Qian X, Wang S, Liu J, Yan J. Lipid Nanoparticle (LNP) Delivery Carrier-Assisted Targeted Controlled Release mRNA Vaccines in Tumor Immunity. Vaccines (Basel). 2024;12:186.  [RCA]  [PubMed]  [DOI]  [Full Text]  [Full Text (PDF)]  [Cited by in Crossref: 92]  [Cited by in RCA: 85]  [Article Influence: 42.5]  [Reference Citation Analysis (0)]
31.  Han IW, Cho K, Ryu Y, Shin SH, Heo JS, Choi DW, Chung MJ, Kwon OC, Cho BH. Risk prediction platform for pancreatic fistula after pancreatoduodenectomy using artificial intelligence. World J Gastroenterol. 2020;26:4453-4464.  [PubMed]  [DOI]  [Full Text]
32.  Morita Y, Sakaguchi T, Ida S, Muraki R, Kitajima R, Furuhashi S, Takeda M, Kikuchi H, Hiramatsu Y, Takeuchi H. A comprehensive strategy for perioperative care of pancreaticoduodenectomy according to the risk stratification by pancreatic fistula and delayed gastric emptying. Asian J Surg. 2022;45:172-178.  [RCA]  [PubMed]  [DOI]  [Full Text]  [Cited by in RCA: 2]  [Reference Citation Analysis (0)]
33.  Wang K, Li K, Deng Y, Wang X, Yang C, Chu C, Li W, Li J, Ding W. Postoperative hemorrhage following pancreatic injury: Risk factors and clinical outcomes. J Hepatobiliary Pancreat Sci. 2023;30:644-654.  [RCA]  [PubMed]  [DOI]  [Full Text]  [Cited by in RCA: 2]  [Reference Citation Analysis (0)]
34.  Lee B, Yoon YS, Kang CM, Choi M, Lee JS, Hwang HK, Cho JY, Lee WJ, Han HS. Fistula risk score-adjusted comparison of postoperative pancreatic fistula following laparoscopic vs open pancreatoduodenectomy. J Hepatobiliary Pancreat Sci. 2021;28:1089-1097.  [RCA]  [PubMed]  [DOI]  [Full Text]  [Cited by in Crossref: 3]  [Cited by in RCA: 10]  [Article Influence: 1.7]  [Reference Citation Analysis (0)]
35.  Yoon SJ, Lee O, Jung JH, Shin SH, Heo JS, Han IW. Prophylactic octreotide for postoperative pancreatic fistula in patients with pancreatoduodenectomy: Risk-stratified analysis. Medicine (Baltimore). 2022;101:e29303.  [RCA]  [PubMed]  [DOI]  [Full Text]  [Cited by in Crossref: 11]  [Cited by in RCA: 8]  [Article Influence: 2.0]  [Reference Citation Analysis (0)]
36.  Liu Q, Li M, Gao Y, Jiang T, Han B, Zhao G, Lin C, Lau WY, Zhao Z, Liu R. Effect of robotic versus open pancreaticoduodenectomy on postoperative length of hospital stay and complications for pancreatic head or periampullary tumours: a multicentre, open-label randomised controlled trial. Lancet Gastroenterol Hepatol. 2024;9:428-437.  [RCA]  [PubMed]  [DOI]  [Full Text]  [Cited by in Crossref: 32]  [Cited by in RCA: 75]  [Article Influence: 37.5]  [Reference Citation Analysis (0)]
37.  Mirrielees JA, Weber SM, Abbott DE, Greenberg CC, Minter RM, Scarborough JE. Pancreatic Fistula and Delayed Gastric Emptying Are the Highest-Impact Complications After Whipple. J Surg Res. 2020;250:80-87.  [RCA]  [PubMed]  [DOI]  [Full Text]  [Cited by in Crossref: 9]  [Cited by in RCA: 31]  [Article Influence: 5.2]  [Reference Citation Analysis (0)]
38.  Mostafa A, Habeeb TA, Neri V, Elshahidy TM, A Fiad A. Risk factors for postoperative pancreatic fistula following non-traumatic, pancreatic surgery. Retrospective observational study. Ann Ital Chir. 2023;94:435-442.  [PubMed]  [DOI]
39.  Trudeau MT, Casciani F, Ecker BL, Maggino L, Seykora TF, Puri P, McMillan MT, Miller B, Pratt WB, Asbun HJ, Ball CG, Bassi C, Behrman SW, Berger AC, Bloomston MP, Callery MP, Castillo CF, Christein JD, Dillhoff ME, Dickson EJ, Dixon E, Fisher WE, House MG, Hughes SJ, Kent TS, Malleo G, Salem RR, Wolfgang CL, Zureikat AH, Vollmer CM; on the behalf of the Pancreas Fistula Study Group. The Fistula Risk Score Catalog: Toward Precision Medicine for Pancreatic Fistula After Pancreatoduodenectomy. Ann Surg. 2022;275:e463-e472.  [RCA]  [PubMed]  [DOI]  [Full Text]  [Cited by in Crossref: 21]  [Cited by in RCA: 38]  [Article Influence: 9.5]  [Reference Citation Analysis (0)]
40.  Wu L, Yang L, Qian X, Hu W, Wang S, Yan J. Mannan-Decorated Lipid Calcium Phosphate Nanoparticle Vaccine Increased the Antitumor Immune Response by Modulating the Tumor Microenvironment. J Funct Biomater. 2024;15:229.  [RCA]  [PubMed]  [DOI]  [Full Text]  [Full Text (PDF)]  [Cited by in Crossref: 23]  [Cited by in RCA: 20]  [Article Influence: 10.0]  [Reference Citation Analysis (0)]
41.  Funamizu N, Sogabe K, Shine M, Honjo M, Sakamoto A, Nishi Y, Matsui T, Uraoka M, Nagaoka T, Iwata M, Ito C, Tamura K, Sakamoto K, Ogawa K, Takada Y. Association between the Preoperative C-Reactive Protein-to-Albumin Ratio and the Risk for Postoperative Pancreatic Fistula following Distal Pancreatectomy for Pancreatic Cancer. Nutrients. 2022;14:5277.  [RCA]  [PubMed]  [DOI]  [Full Text]  [Full Text (PDF)]  [Cited by in Crossref: 10]  [Cited by in RCA: 18]  [Article Influence: 4.5]  [Reference Citation Analysis (0)]
42.  Preston WA, Collins ML, Gönen M, Murtha T, Rivera V, Lamm R, Schafer M, Yarmohammadi H, Covey A, Brody LA, Topper S, Nevler A, Lavu H, Yeo CJ, Balachandran VP, Drebin JA, Soares KC, Wei AC, Kingham TP, D'Angelica MI, Jarnagin WR. Hemorrhage Sites and Mitigation Strategies After Pancreaticoduodenectomy. JAMA Surg. 2024;159:891-899.  [RCA]  [PubMed]  [DOI]  [Full Text]  [Full Text (PDF)]  [Cited by in Crossref: 13]  [Cited by in RCA: 13]  [Article Influence: 6.5]  [Reference Citation Analysis (0)]
43.  Xu Y, Jin C, Fu D, Yang F. External validation of fistula risk scores for postoperative pancreatic fistula after distal pancreatectomy. Surgery. 2023;174:1416-1421.  [RCA]  [PubMed]  [DOI]  [Full Text]  [Cited by in Crossref: 5]  [Cited by in RCA: 9]  [Article Influence: 3.0]  [Reference Citation Analysis (0)]
Footnotes

Provenance and peer review: Unsolicited article; Externally peer reviewed.

Peer-review model: Single blind

Specialty type: Gastroenterology and hepatology

Country of origin: China

Peer-review report’s classification

Scientific Quality: Grade B, Grade C

Novelty: Grade B, Grade C

Creativity or Innovation: Grade B, Grade C

Scientific Significance: Grade B, Grade C

Open Access: This article is an open-access article that was selected by an in-house editor and fully peer-reviewed by external reviewers. It is distributed in accordance with the Creative Commons Attribution NonCommercial (CC BY-NC 4.0) license, which permits others to distribute, remix, adapt, build upon this work non-commercially, and license their derivative works on different terms, provided the original work is properly cited and the use is non-commercial. See: https://creativecommons.org/Licenses/by-nc/4.0/

P-Reviewer: Abdelrahim M, PhD, United States; Calvo H, PhD, Spain S-Editor: Wang JJ L-Editor: A P-Editor: Wang CH

Write to the Help Desk