Copyright
©The Author(s) 2026.
World J Gastrointest Surg. Jan 27, 2026; 18(1): 115444
Published online Jan 27, 2026. doi: 10.4240/wjgs.v18.i1.115444
Published online Jan 27, 2026. doi: 10.4240/wjgs.v18.i1.115444
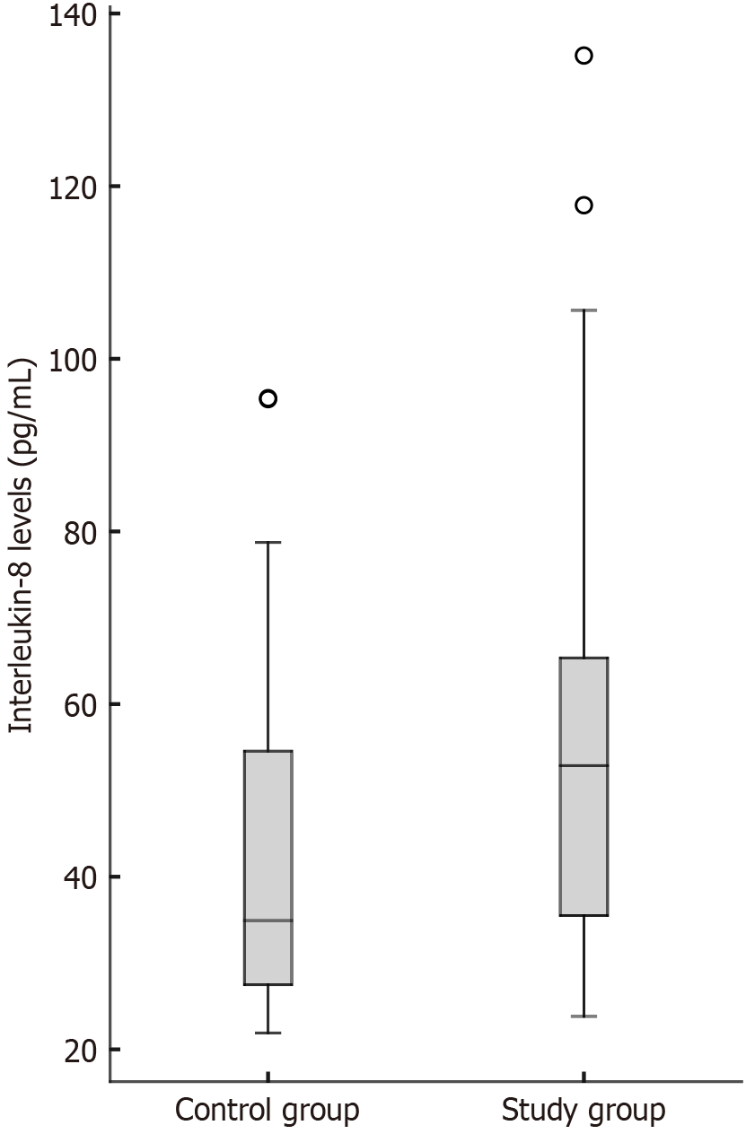
Figure 1
The distribution of interleukin-8 levels within the groups.
- Citation: Güneş G, Fırat Oğuz E, Kayılıoğlu I, Dinç T. Diagnostic value of interleukin-8 in colon cancer: Prospective, case-control study. World J Gastrointest Surg 2026; 18(1): 115444
- URL: https://www.wjgnet.com/1948-9366/full/v18/i1/115444.htm
- DOI: https://dx.doi.org/10.4240/wjgs.v18.i1.115444
