Copyright
©The Author(s) 2026.
World J Gastrointest Surg. Jan 27, 2026; 18(1): 114692
Published online Jan 27, 2026. doi: 10.4240/wjgs.v18.i1.114692
Published online Jan 27, 2026. doi: 10.4240/wjgs.v18.i1.114692
Figure 1 Good prognosis and poor prognosis.
A: Good prognosis. After contrast injection, the mass showed rapid and homogeneous enhancement in the arterial phase; B: Poor prognosis. A hyperechoic mass in the right lobe of the liver was examined using contrast-enhanced ultrasound. After contrast injection, the mass showed rapid and heterogeneous enhancement in the arterial phase, with peripheral ring-like and internal grid-like enhancements.
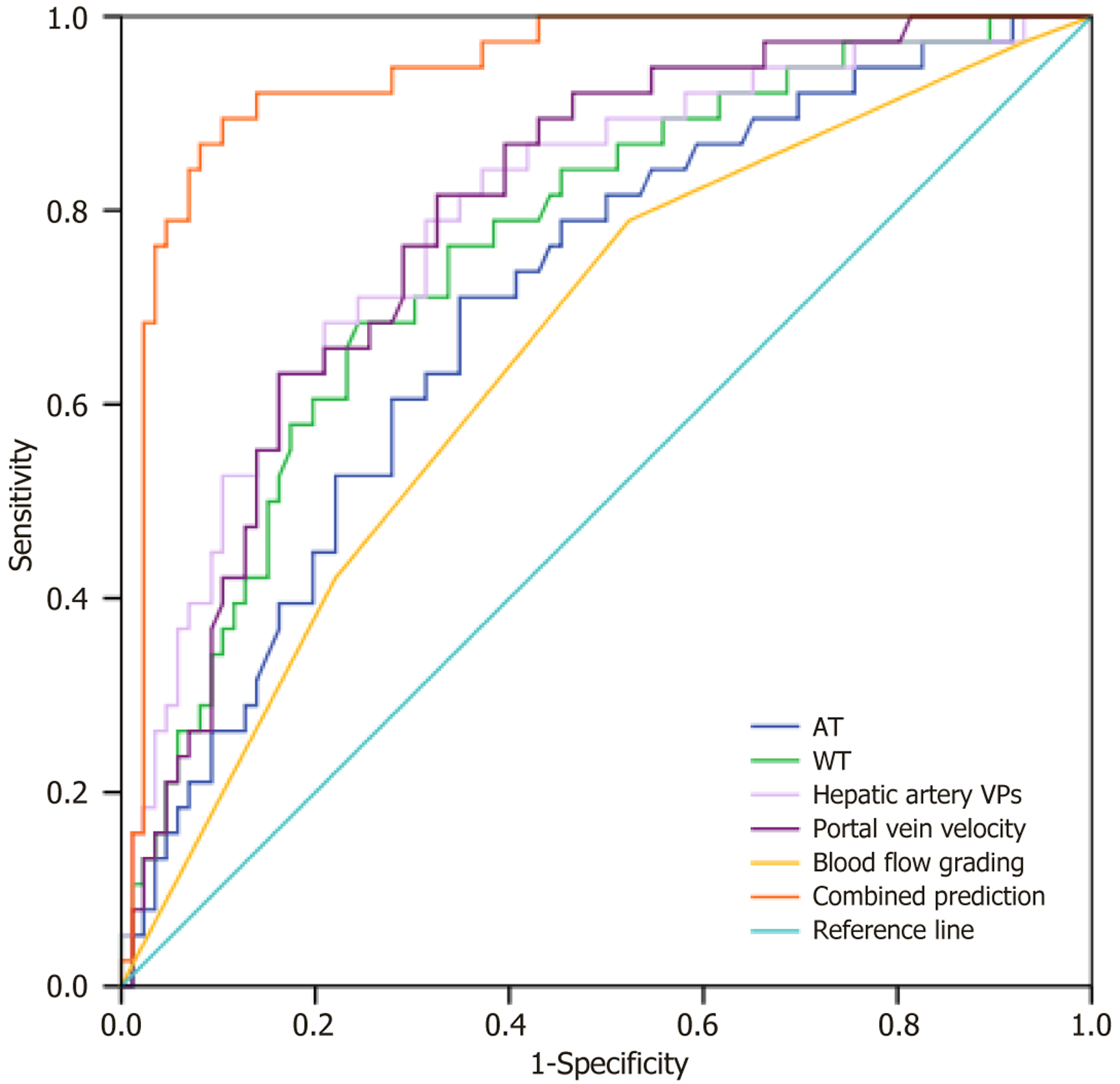
Figure 2 Receiver operating characteristic curve of contrast-enhanced ultrasound combined with Doppler ultrasound parameters in pre dicting the prognosis of hepatocellular carcinoma patients after transcatheter arterial chemoembolization.
AT: Arrival time; VPs: Peak systolic velocity; WT: Washout time.
- Citation: Qian JJ, Xu M, Ji YS. Assessing predictive value of contrast-enhanced ultrasound combined with doppler ultrasound for post-transcatheter arterial chemoembolization prognosis in hepatocellular carcinoma. World J Gastrointest Surg 2026; 18(1): 114692
- URL: https://www.wjgnet.com/1948-9366/full/v18/i1/114692.htm
- DOI: https://dx.doi.org/10.4240/wjgs.v18.i1.114692
