Copyright
©The Author(s) 2026.
World J Diabetes. Feb 15, 2026; 17(2): 112859
Published online Feb 15, 2026. doi: 10.4239/wjd.v17.i2.112859
Published online Feb 15, 2026. doi: 10.4239/wjd.v17.i2.112859
Figure 1 Flow diagram of participant inclusion in the study.
T2DM: Type 2 diabetes mellitus; HC: Healthy control; DGAN: Diabetic gastric autonomic neuropathy; HbA1c: Hemoglobin A1c.
Figure 2 Differences in bile acid levels among the healthy control, type 2 diabetes mellitus, and diabetic gastric autonomic neuropathy groups.
A: Cholic acid; B: Deoxycholic acid; C: Chenodeoxycholic acid; D: Ursodeoxycholic acid; E: Lithocholic acid; F: Glycocholic acid; G: Glycodeoxycholic acid; H: Glycochenodeoxycholic acid; I: Glycoursodeoxycholic acid; J: Glycolithocholic acid; K: Taurocholic acid; L: Taurodeoxycholic acid; M: Taurochenodeoxycholic acid; N: Tauroursodeoxycholic acid; O: Taurolithocholic acid. Data are presented as the median (interquartile range), and significant difference was assessed using Wilcoxon’s rank sum test. aP < 0.05; bP < 0.01. T2DM: Type 2 diabetes mellitus; HC: Healthy control; DGAN: Diabetic gastric autonomic neuropathy; CA: Cholic acid; DCA: Deoxycholic acid; CDCA: Chenodeoxycholic acid; UDCA: Ursodeoxycholic acid; LCA: Lithocholic acid; GCA: Glycocholic acid; GDCA: Glycodeoxycholic acid; GCDCA: Glycochenodeoxycholic acid; GUDCA: Glycoursodeoxycholic acid; GLCA: Glycolithocholic acid; TCA: Taurocholic acid; TDCA: Taurodeoxycholic acid; TCDCA: Taurochenodeoxycholic acid; TUDCA: Tauroursodeoxycholic acid; TLCA: Taurolithocholic acid.
Figure 3 Spearman’s correlation analysis among bile acids, clinical indicators, and Gastrointestinal Symptom Rating Scale scores in the diabetic gastric autonomic neuropathy group.
A: Correlations among clinical indicators, bile acid levels, and Gastrointestinal Symptom Rating Scale scores in the type 2 diabetes mellitus and diabetic gastric autonomic neuropathy groups; B-E: Scatter plots depicting the correlations among clinical indicators, bile acids, and the scores of gastrointestinal symptoms. aP < 0.05; bP < 0.01. GSRS: Gastrointestinal Symptom Rating Scale; eGFR: Estimated glomerular filtration rate; PLT: Platelets; LDL-C: Low-density lipoprotein cholesterol; TC: Total cholesterol; TG: Triglycerides; SBP: Systolic blood pressure; DBP: Diastolic blood pressure; UACR: Urinary albumin-to-creatinine ratio; 2hC-P: 2-hour c-peptide; C-P: C-peptide; HDL-C: High-density lipoprotein cholesterol; T2DM: Type 2 diabetes mellitus; GI: Gastrointestinal; CA: Cholic acid; UDCA: Ursodeoxycholic acid; CDCA: Chenodeoxycholic acid; DCA: Deoxycholic acid; SCr: Serum creatinine; BUN: Blood urea nitrogen; AST: Aspartate aminotransferase; ALT: Alanine aminotransferase; ALB: Albumin; BMI: Body mass index; CRP: C-reactive protein; Hb: Hemoglobin; GUDCA: Glycoursodeoxycholic acid; GCDCA: Glycochenodeoxycholic acid; LCA: Lithocholic acid; HbA1c: Hemoglobin a1c; FBG: Fasting blood glucose; GDCA: Glycodeoxycholic acid; GLCA: Glycolithocholic acid; TLCA: Taurolithocholic acid; TDCA: Taurodeoxycholic acid; TCDCA: Taurochenodeoxycholic acid; GCA: Glycocholic acid; TCA: Taurocholic acid; TUDCA: Tauroursodeoxycholic acid.
Figure 4 Multivariate analysis of bile acids in the orthogonal partial least squares discriminant analysis model.
A: Orthogonal partial least squares discriminant analysis three-dimensional model between uncomplicated type 2 diabetes mellitus and diabetic gastric autonomic neuropathy. R2X = 0.406, R2Y = 0.183, and Q2Y = -0.274; B: The permutation test demonstrated no overfitting in the orthogonal partial least squares discriminant analysis model [Q2 = (0, -0.386), R2 = (0, 0.152)]; C: The contribution of the metabolites distinguishing uncomplicated type 2 diabetes mellitus from diabetic gastric autonomic neuropathy as indicated by variable importance in projection values. T2DM: Type 2 diabetes mellitus; DGAN: Diabetic gastric autonomic neuropathy; TLCA: Taurolithocholic acid; GUDCA: Glycoursodeoxycholic acid; GLCA: Glycolithocholic acid; LCA: Lithocholic acid; UDCA: Ursodeoxycholic acid; CDCA: Chenodeoxycholic acid; GDCA: Glycodeoxycholic acid; TDCA: Taurodeoxycholic acid; CA: Cholic acid; GCA: Glycocholic acid; TCA: Taurocholic acid; TCDCA: Taurochenodeoxycholic acid; GCDCA: Glycochenodeoxycholic acid; DCA: Deoxycholic acid; TUDCA: Tauroursodeoxycholic acid.
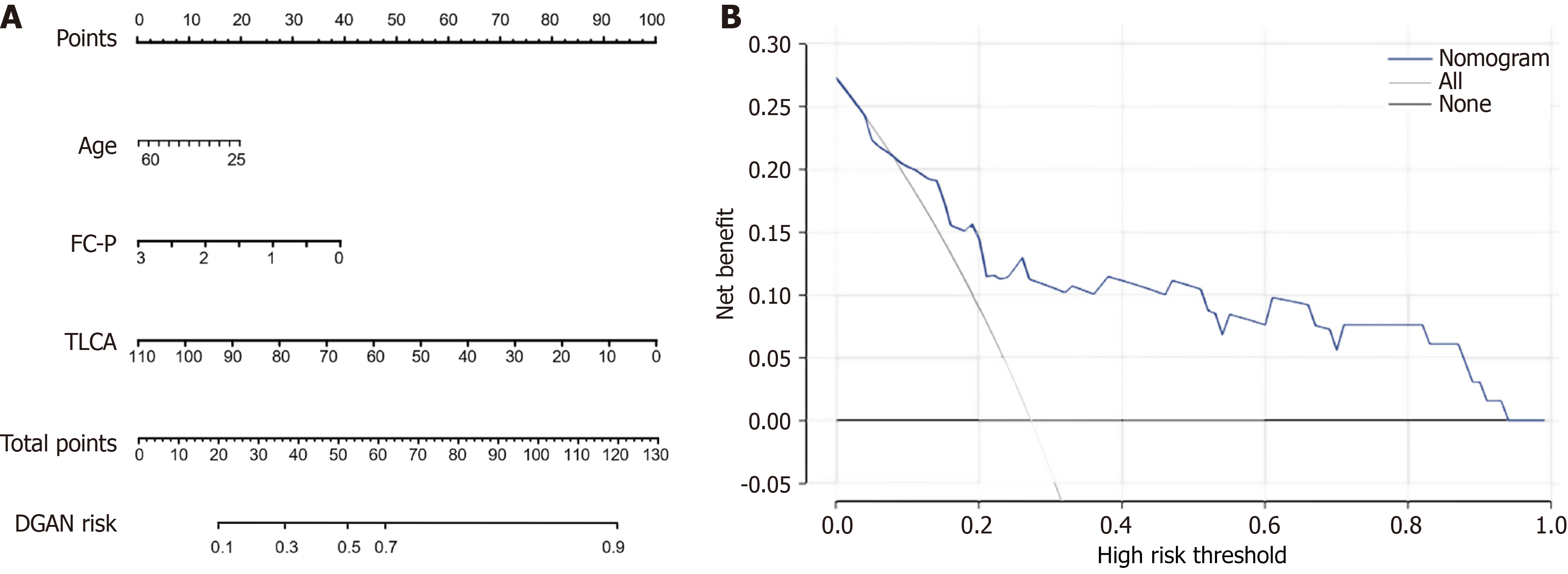
Figure 5 Nomogram model and results of decision curve analysis for quantifying the individual risk of diabetic gastric autonomic neuropathy in patients with type 2 diabetes mellitus.
A: The nomogram includes age, fasting C-peptide, and taurolithocholic acid along with their corresponding points and total risk scores; B: Decision curve analysis was performed to evaluate the clinical net benefit across different risk thresholds. TLCA: Taurolithocholic acid; FC-P: Fasting C-peptide; DGAN: Diabetic gastric autonomic neuropathy.
- Citation: Zhu KY, Wang SJ, Li J, Ma PP, Feng SS, Guo L, Lu YB, Dong L, Ding DF. Association of serum bile acid profiles with the risk of gastrointestinal autonomic neuropathy in patients with type 2 diabetes mellitus. World J Diabetes 2026; 17(2): 112859
- URL: https://www.wjgnet.com/1948-9358/full/v17/i2/112859.htm
- DOI: https://dx.doi.org/10.4239/wjd.v17.i2.112859
