BPG is committed to discovery and dissemination of knowledge
Retrospective Study Open Access
©The Author(s) 2025. Published by Baishideng Publishing Group Inc. All rights reserved.
World J Gastrointest Endosc. Jun 16, 2025; 17(6): 106412
Published online Jun 16, 2025. doi: 10.4253/wjge.v17.i6.106412
Endoscopic resection of colorectal laterally spreading tumors: Clinicopathologic characteristics and risk factors for treatment outcomes
Li-Hua Guo, Ke-Feng Hu, Min Miao, Yong Ding, Xin-Jun Zhang, Guo-Liang Ye, Department of Gastroenterology, The First Affiliated Hospital of Ningbo University, Ningbo 315020, Zhejiang Province, China
ORCID number: Li-Hua Guo (0000-0002-2434-1606); Min Miao (0000-0003-1628-9489); Guo-Liang Ye (0000-0003-0600-9981).
Author contributions: Guo LH performed a literature search and wrote the manuscript; Hu KF, Miao M, Ding Y, and Zhang XJ had full access to all data in the study and took responsibility for the integrity of the data and the accuracy of the data analysis; Ye GL reviewed the manuscript accordingly; Guo LH, Hu KF, Miao M, Ding Y, Zhang XJ, and Ye GL contributed to data curation; and all authors thoroughly reviewed and endorsed the final manuscript.
Institutional review board statement: This study was approved by the Medical Ethics Committee of Faculty of the First Affiliated Hospital of Ningbo University, approval No. 2024-083RS.
Informed consent statement: Informed consent was obtained by opting out, not in writing, as this is a retrospective analysis.
Conflict-of-interest statement: All the authors report no relevant conflicts of interest for this article.
Data sharing statement: No additional data are available.
Corresponding author: Guo-Liang Ye, Full Professor, Department of Gastroenterology, The First Affiliated Hospital of Ningbo University, No. 247 Renmin Road, Jiangbei District, Ningbo 315020, Zhejiang Province, China. ndfyygl@163.com
Received: March 7, 2025
Revised: April 9, 2025
Accepted: May 8, 2025
Published online: June 16, 2025
Processing time: 96 Days and 16 Hours

Abstract
BACKGROUND

Colorectal laterally spreading tumors (LSTs) are best treated with endoscopic submucosal dissection or endoscopic mucosal resection.

AIM

To analyze the clinicopathological and endoscopic profiles of colorectal LSTs, determine predictive factors for high-grade dysplasia (HGD)/carcinoma (CA), submucosal invasion, and complications.

METHODS

We retrospectively assessed the endoscopic and histological characteristics of 375 colorectal LSTs at our hospital between January 2016 and December 2023. We performed univariate and multivariate analysis to identify risk factors associated with HGD/CA, submucosal invasion and complications.

RESULTS

The numbers of granular (LST-G) and non-granular LST (LST-NG) were 260 and 115, respectively. The rates of low-grade dysplasia and HGD/CA were 60.3% and 39.7%, respectively. Multivariate analysis indicated that a tumor size ≥ 30 mm [odds ratio (OR) = 1.934, P = 0.032], LST granular nodular mixed type (OR = 2.100, P = 0.005), and LST non-granular pseudo depressed type (NG-PD) (OR = 3.016, P = 0.015) were independent risk factors significantly associated with higher odds of HGD/CA. NG-PD (OR = 6.506, P = 0.001), tumor size (20-29 mm) (OR = 2.631, P = 0.036) and tumor size ≥ 30 mm (OR = 3.449, P = 0.016) were associated with increased odds of submucosal invasion. Tumor size ≥ 30 mm (OR = 4.888, P = 0.003) was a particularly important predictor of complications. A nomogram model demonstrated a satisfactory fit, with an area under the receiver operating characteristic curve of 0.716 (95% confidence interval: 0.653-0.780), indicating strong predictive performance.

CONCLUSION

The novel nomogram incorporating tumor size, location, and morphology predicted HGD/CA during endoscopic resection for LSTs. NG-PD lesions larger than 20 mm were more likely to invade the submucosa. Tumor size ≥ 30 mm was an important predictor of complications.

Key Words: Colorectal neoplasms; Laterally spreading tumor; Endoscopic morphology; Endoscopic submucosal dissection; Endoscopic mucosal resection; Submucosal invasion

Core Tip: We retrospectively analyzed 375 colorectal laterally spreading tumors (LSTs) at our hospital between January 2016 and December 2023. Univariate and multivariate analyses were performed to identify risk factors for high-grade dysplasia/carcinoma, submucosal invasion and complications. The novel nomogram incorporated tumor size, location, and morphology for predicting high-grade dysplasia/carcinoma during endoscopic resection for LSTs. Multivariate analysis indicated that LST non-granular pseudo depressed type lesions larger than 20 mm had a significantly higher probability of submucosal invasion. Additionally, tumor size ≥ 30 mm emerged as a critical predictor of complications.



INTRODUCTION

Colorectal laterally spreading tumors (LSTs) are superficial neoplastic lesions characterized by horizontal growth patterns with a diameter of at least 10 mm, as opposed to vertical growth[1]. LSTs present a unique endoscopic phenotype, pathological characteristics, and growth patterns, and they are highly susceptible to malignant transformation[2]. LSTs exhibit distinct capabilities for submucosal invasion and lymph node metastasis, thereby promoting the progression of colorectal carcinogenesis[3]. LSTs are categorized into granular homogeneous, nodular mixed, flat elevated, and pseudo depressed subtypes on the basis of their endoscopic morphology[2,4].

Most LSTs are generally considered suitable for endoscopic resection. In recent years, there has been remarkable progress in endoscopic treatment techniques, including endoscopic mucosal resection (EMR) and endoscopic submucosal dissection (ESD)[5]. Research has shown that ESD is more effective for treating LSTs compared to other methods, offering better long-term outcomes. Due to the limitations of piecemeal EMR, ESD is often regarded as the preferred treatment option for LSTs[2]. To prevent incomplete endoscopic removal or subsequent surgical interventions, performing complete en bloc resection of LSTs is imperative from a clinical standpoint[6,7]. The present study analyzes treatment outcomes following endoscopic resection of LSTs, evaluates treatment efficacy, and establishes predictive factors for high-grade dysplasia (HGD)/carcinoma (CA), submucosal invasion, and complications.

MATERIALS AND METHODS
Study design

This retrospective study enrolled patients who underwent EMR or ESD for the treatment of colorectal LSTs between January 2016 and December 2023. The inclusion criteria were as follows: (1) Age over 18 years; and (2) Colorectal LSTs ≥ 10 mm in diameter on endoscopic examination. The exclusion criteria were as follows: (1) Lesions with submucosal deep invasion indicated by endoscopic ultrasound; (2) Histologically confirmed malignancy by biopsy; (3) Endoscopic appearance suggestive of invasive malignancy; and (4) Presence of familial adenomatous polyps or inflammatory bowel disease. In total, 375 colorectal LSTs were analyzed. This was an observational cohort study conducted in our hospital. Research ethics committee approval was obtained (approval No. 2024-083RS, Date: April 17, 2024).

Endoscopic resection procedures

The endoscopic resection procedures, EMR and ESD, were performed by highly experienced endoscopists who had previously performed more than 1000 polypectomies. The selection of endoscopic resection (EMR or ESD) for LSTs should be based on tumor subtype, size, location, morphological features, as well as the endoscopist’s expertise and experience[8]. The treatment selection criteria were evidence-based using the Japan Gastroenterological Endoscopy Society (JGES) guidelines as follows[8]: ESD is preferred for lesions larger than 20 mm or with a higher risk of submucosal invasion, as it allows precise resection and better depth assessment. For lesions smaller than 20 mm, EMR can be considered, particularly for flat or slightly elevated lesions.

In ESD cases (Figure 1), the lesion margins were delineated using a dual knife. A mixture containing 0.4% indigo carmine and saline was injected into the submucosal layer to form a submucosal padding. The lesion was entirely excised from the muscular layer through circumferential cuts and submucosal dissections using either a dual knife or an IT knife. Any bleeding from small blood vessels during the procedure was controlled using hot biopsy forceps or metallic clips to ensure hemostasis. EMR was performed by injecting a mixed solution into the submucosal layer, which causes the lesion to become prominently elevated. Subsequently, the lesion was excised using electrocoagulation with a snare, and the wound was secured with titanium clips.

Figure 1
Figure 1 Laterally spreading tumors treated with endoscopic submucosal dissection. A: 4.5 cm laterally spreading tumors in the ascending colon; B: Following injection of the lesion; C: Full circumstantial mucosal resection was performed; D: The mucosal wound after removal of the lesion; E: The wound was closed with titanium clips; F: The resected specimen.
Pathological classification

The endoscopically resected specimens were prepared for microscopic assessment by fixing them in formalin, stretching and pinning them, and then slicing them into 2 mm sections. All samples were subsequently processed using hematoxylin and eosin staining. Additionally, a subset of these samples underwent immunohistochemistry staining. The findings were subsequently examined by pathologists to assess the LST histopathological classification, the size of the lesions, the depth of invasion, the extent of tumor involvement in both lateral and vertical margins, as well as the level of lymphovascular invasion[9]. Intramucosal adenocarcinoma is defined as a cancer that remains confined to the mucosa. Submucosal layer 1 (SM1) cancer is located less than 1000 μm from the muscularis mucosa, and SM2 cancer is located more than 1000 μm from the muscularis mucosa[10]. En bloc resection: The lesion was completely excised endoscopically, resulting in the retrieval of a single, intact specimen. R0 resection: En bloc resection with histologically confirmed negative margins both horizontally and vertically[11].

Postoperative management

All patients were advised to refrain from oral consumption of solids and liquids for at least 24 hours after the endoscopic procedure. The most frequent complications after resection included delayed bleeding and perforation[12]. Delayed bleeding was indicated by the presence of hematemesis or substantial melena, subsequently resulting in a marked drop in hemoglobin levels, necessitating endoscopic intervention to control the hemorrhage[13]. Perforation was identified through direct visualization of mesenteric fat or the intra-abdominal space during the procedure. Delayed perforation was defined as a perforation that occurred following completion of the endoscopic resection. Minor perforations were closed with clips during ESD; however, larger perforations that could not be effectively closed with clips required surgery[14]. If postoperative pathology suggested deep submucosal invasion (≥ 1000 μm), additional surgical treatment was strongly recommended.

Follow-up

Follow-up colonoscopic evaluations were conducted at intervals of three, six, and twelve months in cases of high-grade neoplastic growths or carcinomas with submucosal penetration limited to SM1 depth, confirmed histologically. In cases where lesions were identified as low-grade neoplasia, a repeat colonoscopy was scheduled one year after excision.

Statistical analysis

Categorical variables are presented as counts (percentages) and were analyzed using either Fisher’s exact test or the χ2 test, based on the suitability of the data. Continuous variables are described using means ± SD and inter-group comparisons were conducted using the student’s t test. Univariate and multivariate logistic regression analyses were employed to identify risk factors for HGD/CA, submucosal invasion, and complications. The accuracy of the nomograms was assessed using the area under the curve (AUC) for validation purposes. The predictive performance of the model was evaluated using the receiver operating characteristic (ROC) curves and calibration plots. In all our studies, a P value < 0.05 was considered statistically significant. SPSS software, version 26 (IBM Corporation, Armonk, New York, United States) was used for analysis. The nomogram was performed using R Software, version 4.4.1, with the “rms” package.

RESULTS
Characteristics of the patients and LSTs

We analyzed a total of 375 LSTs, detailing their demographic and clinicopathological characteristics as shown in Table 1. The patients had an average age of 63.25 ± 10.086 years, with male patients accounting for 51.2% (192 cases) and female patients comprising 48.8% (183 cases). Among the participants, 92 (24.5%) had a history of smoking and 77 (20.5%) had a history of alcohol consumption. The patients exhibited an average body mass index (BMI) of 23.155 ± 2.885 kg/m2 (range: 13.971-33.203). The dimensions of the LSTs ranged from 10 mm to 105 mm, averaging 20.063 ± 10.078 mm. The distribution across different sections of the colon was as follows: Cecum (25 cases, 6.7%), ascending colon (109 cases, 29.1%), transverse colon (88 cases, 23.5%), descending colon (37 cases, 9.9%), sigmoid colon (72 cases, 19.2%), and rectum (44 cases, 11.7%). Regarding the classification based on lesion diameter, 189 cases (50.4%) had a diameter of 10-19mm, 126 cases (33.6%) had a diameter of 20-29mm, and 60 cases (16.0%) had a diameter of ≥ 30mm. Based on the assessment of lesion morphology, 102 (27.2%) cases were classified as LST granular homogeneous type, 158 (42.1%) cases as LST granular nodular mixed type (G-M), 83 (22.1%) cases as LST non-granular flat elevated type (NG-F), and 32 (8.5%) cases as LST non-granular pseudo depressed type (NG-PD). The histopathological evaluations of LSTs revealed that among the cases, 226 (60.3%) were classified as low-grade dysplasia, 95 (25.3%) as HGD, and 54 (14.4%) as carcinoma. Specifically, the carcinomas included 16 (4.3%) mucosal cancers, 20 (5.3%) SM1 cancers, and 18 (4.8%) SM2 cancers.

Table 1 Clinicopathological features of endoscopically resected laterally spreading tumors, n (%).
Variables
n = 375
Gender
Male192 (51.2)
Female183 (48.8)
Age (year), mean ± SD63.25 ± 10.086 (32-88)
Smoking status (non-smoker/current or ex-smoker)283 (75.5)/92 (24.5)
Alcohol drinking (no/yes)298 (79.5)/77 (20.5)
BMI (kg/m2)23.155 ± 2.885 (13.971-33.203)
Size (mm)20.063 ± 10.078 (10-105)
Location
Cecum25 (6.7)
Ascending colon109 (29.1)
Transverse colon88 (23.5)
Descending colon37 (9.9)
Sigmoid colon72 (19.2)
Rectum44 (11.7)
Size (mm)
10-19 mm189 (50.4)
20-29 mm126 (33.6)
≥ 30 mm60 (16.0)
Morphology
G-H102 (27.2)
G-M158 (42.1)
NG-F83 (22.1)
NG-PD32 (8.5)
Histologic grade
Low-grade dysplasia226 (60.3)
High-grade dysplasia95 (25.3)
Adenocarcinoma54 (14.4)
Mucosal cancer16 (4.3)
SM1 cancer20 (5.3)
SM2 cancer18 (4.8)
Resection method
EMR63 (16.8)
ESD312 (83.2)
Procedural characteristics
En bloc resection361 (96.3)
R0 resection350 (93.3)
Complications
Delayed bleeding9 (2.4)
Minor perforation18 (4.8)
Delayed perforation1 (0.3)
Outcomes of endoscopically resected LSTs

A total of 63 cases underwent EMR, while 312 cases (83.2%) underwent ESD. The en bloc resection rate was 96.3% (361/375), and the R0 resection rate was 93.3% (350/375). Delayed bleeding occurred in 9 cases (2.4%) (Table 1). Among the 19 patients (5.1%) who experienced perforation, 18 patients (4.8%) had minor perforations during the endoscopic resection, which were successfully managed with endoscopic closure using titanium clips without surgery. Additionally, one patient (0.3%) developed a delayed perforation post-procedure, requiring emergency surgery.

Characteristics of LSTs according to endoscopic morphology

LST patients were divided into two distinct subgroups based on their endoscopic morphological characteristics. Specifically, 260 patients had granular LSTs, while 115 patients presented with non-granular LSTs. Table 2 shows statistically significant differences between the groups in terms of size, histologic grade and resection method (P < 0.05), but no significant differences in sex, age, en bloc resection, R0 resection, macroscopic type, or complications such as delayed bleeding and perforation were observed.

Table 2 Subgroup comparison between patients with laterally spreading tumor granular and non-granular laterally spreading tumor, n (%).
Variables
LST-G (n = 260)
LST-NG (n = 115)
χ2
P value
Gender0.0630.802
Male132 (50.8)60 (52.2)
Female128 (49.2)55 (47.8)
Age (years)0.3600.549
< 6085 (32.7)34 (29.6)
≥ 60175 (67.3)81 (70.4)
Smoking0.9710.324
No200 (76.9)32 (27.8)
Yes60 (23.1)83 (72.2)
Alcohol drinking0.8820.348
No210 (80.8)88 (76.5)
Yes50 (19.2)27 (23.5)
Location5.6420.060
Right colon125 (48.1)56 (48.7)
Left colon98 (37.7)52 (45.2)
Rectum37 (14.2)7 (6.1)
Size (mm)
10-19 mm112 (43.1)77 (67.0)20.2860.000
20-29 mm96 (36.9)30 (26.1)
≥ 30 mm52 (20.0)8 (7.0)
Histologic grade7.4910.024
Low-grade dysplasia146 (56.2)80 (69.6)
High-grade dysplasia76 (29.2)19 (16.5)
Adenocarcinoma38 (14.6)16 (13.9)
Mucosal caner14 (5.4)2 (1.7)
SM1 cancer11 (4.2)9 (7.8)
SM2 cancer13 (5.0)5 (4.3)
Resection method6.7600.009
EMR35 (13.5)28 (24.3)
ESD225 (86.5)87 (75.7)
Procedural characteristics
En bloc resection250 (96.2)111 (96.5)0.0300.862
R0 resection242 (93.1)108 (93.9)0.0900.765
Complications
Delayed bleeding6 (2.3)3 (2.6)0.0310.861
Perforation13 (5.0)6 (5.2)0.0080.929
Comparison between different histopathological types of LSTs

The LSTs were classified into two distinct categories according to their histopathological characteristics: Low-grade dysplasia and HGD/CA. As illustrated in Table 3, there was a significant increase in the frequency of male patients (P = 0.013) in the HGD/CA group. Additionally, notable differences were observed between the two groups in terms of lesion size (P = 0.006), resection method (P = 0.001) and LST subtype (P = 0.000). However, no significant differences were found between the groups related to age, location, en bloc resection, R0 resection, or complications.

Table 3 Subgroup comparison between patients with low-grade dysplasia and high-grade dysplasia/carcinoma, n (%).
Variables
Low-grade dysplasia (n = 226)
High-grade dysplasia/carcinoma (n = 149)
χ2
P value
Gender6.1140.013
Male104 (46.0)88 (59.1)
Female122 (54.0)61 (40.9)
Age (years)0.2680.605
< 6074 (32.6)45 (30.2)
≥ 60152 (67.3)104 (69.8)
Smoking2.4990.114
No177 (78.3)106 (71.1)
Yes49 (21.7)43 (28.9)
Alcohol drinking3.7430.053
No187 (82.7)111 (74.5)
Yes39 (17.3)38 (25.5)
Location3.7620.152
Right colon109 (48.2)72 (48.3)
Left colon96 (42.5)54 (36.2)
Rectum21 (9.3)23 (15.4)
Size (mm)10.1930.006
10-19 mm128 (56.6)61 (40.9)
20-29 mm70 (31.0)56 (37.6)
≥ 30 mm28 (12.4)32 (21.5)
LST subtype27.8660.000
G-H67 (29.6)35 (23.5)
G-M79 (35.0)79 (53.0)
NG-F67 (29.6)16 (10.7)
NG-PD13 (5.8)19 (12.8)
Resection method11.5340.001
EMR50 (22.1)13 (8.7)
ESD176 (77.9)136 (91.3)
Procedural characteristics
En bloc resection218 (96.5)143 (96.0)0.0590.808
R0 resection215 (95.1)135 (90.6)2.9600.085
Complications
Delayed bleeding3 (1.3)6 (4.0)2.7930.095
Perforation10 (4.4)9 (6.0)0.4870.485
Risk predictors for HGD/CA

Table 4 summarizes the results of this study. According to both univariate and multivariate logistic regression analyses, female sex [odds ratio (OR) (univariate) = 0.591, P = 0.014; OR (multivariate) = 0.571, P = 0.013] exhibited a protective effect against the development of HGD/CA LSTs. Univariate analysis identified several factors as statistically significant predictors of HGD/CA, including size (20-29 mm) (OR = 1.679, P = 0.029), size ≥ 30 mm (OR = 2.398, P = 0.004), G-M (OR = 1.914, P = 0.013), NG-F (OR = 0.457, P = 0.024), and NG-PD (OR = 2.798, P = 0.013). Multivariate analysis further revealed that size ≥ 30 mm (OR = 1.934, P = 0.032), G-M (OR = 2.100, P = 0.005), and NG-PD (OR = 3.016, P = 0.015) were particularly important indicators. In contrast, age, BMI, smoking status, alcohol consumption, and lesion location did not demonstrate any statistically significant association with HGD/CA.

Table 4 Univariate and multivariate analysis of predictors for high-grade dysplasia/carcinoma.
FactorsUnivariate
Multivariate
OR (95%CI)
P value
OR (95%CI)
P value
Sex
Male1 (Reference)-1 (Reference)-
Female0.591 (0.389-0.898)0.0140.571 (0.367-0.889)0.013
Age (years)
< 601 (Reference)0.605--
≥ 601.125 (0.720-1.759)---
BMI (kg/m2)
< 241 (Reference)---
≥ 240.916 (0.594-1.411)0.689--
Smoking
No1 (Reference)---
Yes1.465 (0.911-2.356)0.115--
Alcohol drinking
No1 (Reference)---
Yes1.641 (0.991-2.719)0.054--
Location
Right colon1 (Reference)---
Left colon0.852 (0.545-1.331)0.481--
Rectum1.658 (0.855-3.215)0.135--
Size (mm)
10-19 mm1 (Reference)-1 (Reference)-
20-29 mm1.679 (1.054-2.673)0.0291.556 (0.953-2.542)0.077
≥ 30 mm2.398 (1.327-4.334)0.0041.934 (1.059-3.738)0.032
LST subtype
G-H1 (Reference)-1 (Reference)-
G-M1.914 (1.145-3.201)0.0132.100 (1.253-3.520)0.005
NG-F0.457 (0.231-0.904)0.0240.638 (0.315-1.292)0.212
NG-PD2.798 (1.238-6.323)0.0133.016 (1.239-7.339)0.015
Nomogram model for the prediction of HGD/CA

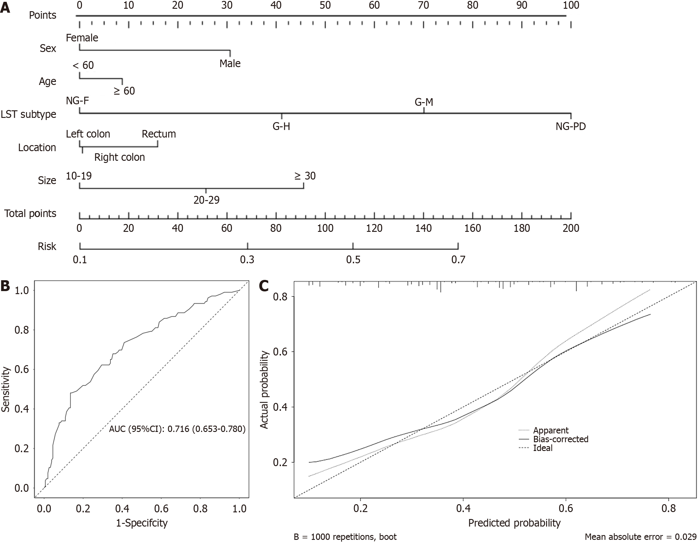
A nomogram was constructed from multivariate analysis using independent predictive factors, including sex, age, location, lesion size (mm) and LST subtype, to predict the potential risk of HGD/CA. The lengths of the line segments in the nomogram represent the predictive ability of the factors for HGD/CA (Figure 2A). The performance of our nomogram was evaluated by constructing a ROC curve. The model demonstrated a substantial level of predictive accuracy, as indicated by an AUC of 0.716 (95%CI: 0.653-0.780) (Figure 2B). Furthermore, Figure 2C presents a calibration curve derived from 1000 bootstrap resampling iterations.

Figure 2
Figure 2 Nomogram model for the prediction of high-grade dysplasia/carcinoma. A: Nomogram model predicting high-grade dysplasia/carcinoma in laterally spreading tumors; B: Receiver operating characteristic curve of the nomogram model predicting high-grade dysplasia/carcinoma in laterally spreading tumors; C: Calibration curve of the nomogram model; LST: Laterally spreading tumor; AUC: Area under the curve; CI: Confidence interval.
Risk factors for submucosal invasion

Several factors that showed a statistical correlation with submucosal invasion are illustrated in Table 5. Both univariate and multivariate analyses indicated that NG-PD and lesion size (20-29 mm and ≥ 30 mm) were significantly associated with submucosal invasion (P < 0.05). Specifically, NG-PD exhibited the highest odds ratio (OR = 6.506, P = 0.001), suggesting a robust association with submucosal invasion. Multivariate analysis further revealed that size (20-29 mm) (OR = 2.631, P = 0.036) and size ≥ 30 mm (OR = 3.449, P = 0.016) were particularly important indicators. In contrast, variables such as sex, age, BMI, location and LST subtype (including G-M and NG-F) did not show any significant association with submucosal invasion.

Table 5 Univariate and multivariate analysis of risk factors for submucosal invasion.
Variables
Univariate
Multivariate
OR (95%CI)
P value
OR (95%CI)
P value
Sex
Male1 (Reference)---
Female0.656 (0.331-1.301)0.228--
Age (years)
< 601 (Reference)---
≥ 601.158 (0.554-2.420)0.697--
BMI (kg/m2)
< 241 (Reference)---
≥ 241.060 (0.525-2.140)0.871--
Location
Right colon1 (Reference)---
Left colon0.993 (0.472-2.088)0.985--
Rectum1.925 (0.706-4.718)0.214--
Size (mm)
10-191 (Reference)-1 (Reference)-
20-292.685 (1.129-6.387)0.0252.631 (1.066-6.494)0.036
≥ 303.415 (1.333-8.752)0.0113.449 (1.260-9.443)0.016
LST subtype
G-H1 (Reference)-1 (Reference)-
G-M1.636 (0.653-4.097)0.2931.363 (0.536-3.470)0.516
NG-F0.687 (0.194-2.433)0.5610.845 (0.234-3.046)0.797
NG-PD6.169 (2.113-18.010)0.0016.506 (2.180-19.420)0.001
Risk factors for complications after endoscopic resection of colorectal LSTs

Both univariate and multivariate logistic regression analyses revealed that the left colon demonstrated a significantly lower complication rate compared to the right colon (P < 0.05) (Table 6). These analyses also indicated that tumor size ≥ 30 mm (OR = 5.079, P = 0.001) and G-M (OR = 3.718, P = 0.041) were significantly associated with complications. Multivariate analysis further highlighted that tumor size ≥ 30 mm (OR = 4.888, P = 0.003) was a particularly important predictor of complications. However, no significant increases were observed in the ORs for G-M, NG-F, and NG-PD (P > 0.05). Additionally, variables such as sex, age, BMI, histologic grade and resection method did not exhibit any significant association with complications (P > 0.05).

Table 6 Univariate and multivariate analysis of risk factors for complications after endoscopic treatment of colorectal laterally spreading tumors.
Variables
Univariate
Multivariate
OR (95%CI)
P value
OR (95%CI)
P value
Sex
Male1 (Reference)---
Female1.229 (0.568-2.660)0.600--
Age (years)
< 601 (Reference)---
≥ 600.703 (0.277-1.786)0.459--
BMI (kg/m2)
< 241 (Reference)---
≥ 240.592 (0.227-1.541)0.283--
Location
Right colon1 (Reference)-1 (Reference)-
Left colon0.377 (0.138-0.914)0.0320.351 (0.133-0.926)0.034
Rectum0.624 (0.176-2.210)0.4650.503 (0.134-1.83)0.308
Size (mm)
10-191 (Reference)-1 (Reference)-
20-291.740 (0.653-4.639)0.2681.870 (0.675-5.183)0.228
≥ 305.079 (1.937-13.316)0.0014.888 (1.708-13.989)0.003
LST subtype
G-H1 (Reference)-1 (Reference)-
G-M3.718 (1.055-13.103)0.0413.382 (0.929-12.310)0.064
NG-F2.571 (0.623-10.612)0.1923.575 (0.826-15.470)0.088
NG-PD3.414 (0.654-17.828)0.1454.990 (0.904-27.533)0.065
Histologic grade
Low-grade dysplasia1 (Reference)---
High-grade dysplasia1.928 (0.814-4.564)0.136--
Adenocarcinoma1.672 (0.569-4.909)0.350--
Resection method
EMR1 (Reference)---
ESD0.577 (0.234-1.423)0.233--
Submucosa invasion
No1 (Reference)---
Yes1.534 (0.503-4.684)0.452--
DISCUSSION

There is a robust correlation between LST and colorectal cancer, indicating a significant predisposition for the transformation of LST into malignancy[15]. In our study, we observed that the prevalence of HGD/CA was 39.7%. In addition, 25.3% of the cases were identified as having high-grade intraepithelial neoplasia, while 14.4% were diagnosed with cancer. Previous studies have reported that the prevalence of HGIN ranges from 20.9% to 35.2%, while the incidence of submucosal invasive CA varies between 2.6% and 12.3%[16]. Our research found that HGD/CA in LSTs tend to occur more frequently in male patients, with lesions measuring 30 mm or larger, and those exhibiting endoscopic characteristics of G-M and NG-PD. This suggests that larger lesions with G-M and NG-PD features may carry a higher risk of becoming malignant. The risk of malignant LSTs depends on the endoscopic morphological type, with varying risks across subtypes. Studies have shown that NG-LSTs have a higher risk of malignancy and deeper invasion compared to G-LSTs[4,17]. Furthermore, flat lesions have a higher risk of malignancy compared to elevated lesions, as shown by dynamic observations[18,19]. Therefore, it is crucial to perform endoscopic resection of the lesion as soon as possible. We have also developed a nomogram utilizing these predictive factors and assessed its predictive performance by analyzing ROC curves and calibration plots. The AUC values obtained from the ROC curve analysis for both the development and external validation datasets demonstrated the strong predictive ability of our models.

Endoscopic resection has become the first-line treatment for LSTs without deep invasion due to advancements in endoscopic techniques. It has a lower complication rate and allows for faster recovery compared to surgery[16]. The type of endoscopic resection method depends on the size of the lesion. ESD is preferred for larger LSTs[20,21]. The en bloc resection rates of LSTs via ESD in large medical centers in China range from 83.7% to 97.5%, and R0 resection rates from 82.8% to 90.1%[18,22]. This study demonstrated en bloc and R0 resection rates of 96.3% and 93.3%, respectively, consistent with domestic literature. However, the lengthy surgical time of ESD and its difficulty require endoscopists to have extensive experience and the ability to manage complications promptly[23].

Submucosal invasion of LSTs is categorized into two types: Superficial submucosal carcinomas (SM1, with a depth < 1000 μm) and deep submucosal carcinomas (SM2, with a depth ≥ 1000 μm)[11]. Lymph node metastasis is an uncommon event in LSTs with superficial submucosal invasion[24]. Moreover, the majority of LSTs can be successfully resected via endoscopic techniques. However, deep submucosal infiltration requires surgical intervention[25]. In this study, the percentage of submucosal invasion was 10.1% for all adenomatous LSTs (5.3% for SM1 and 4.8% for SM2). In Japan, the incidence of submucosal invasion ranges from approximately 10% to 23%, depending on the LST morphology[26]. Owing to the increased risk of metastatic lymph nodes associated with SM2, additional surgical procedures may be needed. In our study, patients with SM2 invasion or SM1 carcinomas featuring vessel tumor emboli and lesions that invaded the basal margins underwent supplementary surgical procedures. All patients received follow-up colonoscopy, which consistently showed no evidence of recurrence throughout the monitoring period.

Preoperative magnification endoscopy and ultrasonic colonoscopy evaluation of the nature of LSTs and the depth of lesion invasion is helpful in selecting the appropriate treatment for LSTs[27]. A multivariate analysis indicated that the non-granular LST- predominant subtype and size ≥ 2 cm were associated with a higher risk of submucosal invasion[28]. When submucosal invasion of LSTs exceeds 1000 µm, the risk of lymph node metastasis rises significantly, and surgical intervention is recommended. Our data demonstrated that larger lesions were more likely to progress to HGD and had a greater tendency towards malignancy or deeper invasion. Accurate evaluation of pathological invasion depth and incision margins after LST endoscopic treatment is essential for ensuring effective clinical management and improving patient outcomes. It should be emphasized that in invasive carcinoma cases, relying solely on lesion size is an inadequate approach for determining whether the tumor has invaded the mucosal layer or the deep submucosa[22,26]. Postoperative pathological results are essential for accurately measuring invasion depth, identifying vascular involvement, and evaluating incisal margin clearance[4,18].

The primary complications associated with LST during endoscopic resection are bleeding and perforation[25]. Our study revealed a delayed postoperative bleeding rate of 2.4% and a perforation rate of 5.1%. According to both domestic and international literature, the rate of delayed bleeding ranges from 2.3% to 11.9%, and the incidence of postoperative perforation ranges from 2.3% to 7.4%[9,12,29,30]. Our findings revealed that tumor location in the right colon and tumor size ≥ 30 mm were predictors of endoscopic resection-induced complications. A previous study revealed that the risk of postoperative bleeding and perforation is closely associated with several factors including lesion size, subtype of LST, endoscopic resection technique, and the experience level of the endoscopist[12]. Wider surgical incisions are generally considered to be associated with a higher incidence of postoperative complications, including delayed bleeding and perforation, as well as prolonged wound healing times[31]. Previous research has shown that identifying small perforations early during surgery and effectively sealing them with clips via endoscopy can substantially enhance wound healing. This approach helps to decrease both the incidence of postoperative complications and the requirement for further surgical interventions[30,32].

Our analysis has several limitations. First, this was a retrospective observational study conducted at a single center, which may have introduced selection bias and limit the generalizability of our findings. Second, the sample size of colorectal LSTs with SM1 (pT1a) and SM2 (pT1b) disease was relatively small, with only 20 cases and 18 cases, respectively. Third, long-term follow-up data regarding recurrence after ESD were lacking, which limited our ability to fully assess the long-term outcomes.

CONCLUSION

This study revealed significant variations in the location, size, and morphology of LSTs according to their endoscopic subtype and histologic grade. Moreover, larger LSTs are more frequently associated with HGD/CA and endoscopic resection complications. Importantly, NG-PD type LSTs, particularly large LSTs, exhibit a higher propensity for submucosal invasion. Consequently, larger NG-PD type LSTs should be removed en bloc by endoscopic resection.

ACKNOWLEDGEMENTS

We sincerely thank all the survey participants for their cooperation.

References
1.  Kudo S, Kashida H, Tamura T, Kogure E, Imai Y, Yamano H, Hart AR. Colonoscopic diagnosis and management of nonpolypoid early colorectal cancer. World J Surg. 2000;24:1081-1090.  [RCA]  [PubMed]  [DOI]  [Full Text]  [Cited by in Crossref: 310]  [Cited by in RCA: 256]  [Article Influence: 9.8]  [Reference Citation Analysis (0)]
2.  Ishigaki T, Kudo SE, Miyachi H, Hayashi T, Minegishi Y, Toyoshima N, Misawa M, Mori Y, Kudo T, Wakamura K, Baba T, Sawada N, Ishida F, Hamatani S. Treatment policy for colonic laterally spreading tumors based on each clinicopathologic feature of 4 subtypes: actual status of pseudo-depressed type. Gastrointest Endosc. 2020;92:1083-1094.e6.  [RCA]  [PubMed]  [DOI]  [Full Text]  [Cited by in Crossref: 8]  [Cited by in RCA: 23]  [Article Influence: 3.8]  [Reference Citation Analysis (0)]
3.  Bonniaud P, Jacques J, Lambin T, Gonzalez JM, Dray X, Coron E, Leblanc S, Chevaux JB, Léger-Nguyen F, Hamel B, Lienhart I, Rivory J, Ponchon T, Saurin JC, Monzy F, Legros R, Lépilliez V, Subtil F, Barret M, Pioche M. Endoscopic characterization of colorectal neoplasia with different published classifications: comparative study involving CONECCT classification. Endosc Int Open. 2022;10:E145-E153.  [RCA]  [PubMed]  [DOI]  [Full Text]  [Full Text (PDF)]  [Cited by in Crossref: 3]  [Cited by in RCA: 13]  [Article Influence: 3.3]  [Reference Citation Analysis (0)]
4.  Yamashita K, Oka S, Tanaka S, Nagata S, Kuwai T, Furudoi A, Tamura T, Kunihiro M, Okanobu H, Nakadoi K, Kanao H, Higashiyama M, Arihiro K, Kuraoka K, Shimamoto F, Chayama K. Long-term prognosis after treatment for T1 carcinoma of laterally spreading tumors: a multicenter retrospective study. Int J Colorectal Dis. 2019;34:481-490.  [RCA]  [PubMed]  [DOI]  [Full Text]  [Cited by in Crossref: 4]  [Cited by in RCA: 5]  [Article Influence: 0.7]  [Reference Citation Analysis (0)]
5.  Lambert R, Tanaka S. Laterally spreading tumors in the colon and rectum. Eur J Gastroenterol Hepatol. 2012;24:1123-1134.  [RCA]  [PubMed]  [DOI]  [Full Text]  [Cited by in Crossref: 22]  [Cited by in RCA: 27]  [Article Influence: 1.9]  [Reference Citation Analysis (0)]
6.  Ko CY, Yao CC, Li YC, Lu LS, Chou YP, Hu ML, Chiu YC, Chuah SK, Tai WC. Clinical outcomes of endoscopic submucosal dissection for colorectal neoplasms: A single-center experience in Southern Taiwan. PLoS One. 2022;17:e0275723.  [RCA]  [PubMed]  [DOI]  [Full Text]  [Full Text (PDF)]  [Cited by in RCA: 4]  [Reference Citation Analysis (0)]
7.  Jung JS, Hong JY, Oh HH, Kweon SS, Lee J, Kim SW, Seo GS, Kim HS, Joo YE. Clinical outcomes of endoscopic resection for colorectal laterally spreading tumors with advanced histology. Surg Endosc. 2019;33:2562-2571.  [RCA]  [PubMed]  [DOI]  [Full Text]  [Cited by in Crossref: 6]  [Cited by in RCA: 14]  [Article Influence: 1.8]  [Reference Citation Analysis (0)]
8.  Tanaka S, Kashida H, Saito Y, Yahagi N, Yamano H, Saito S, Hisabe T, Yao T, Watanabe M, Yoshida M, Kudo SE, Tsuruta O, Sugihara KI, Watanabe T, Saitoh Y, Igarashi M, Toyonaga T, Ajioka Y, Ichinose M, Matsui T, Sugita A, Sugano K, Fujimoto K, Tajiri H. JGES guidelines for colorectal endoscopic submucosal dissection/endoscopic mucosal resection. Dig Endosc. 2015;27:417-434.  [RCA]  [PubMed]  [DOI]  [Full Text]  [Cited by in Crossref: 484]  [Cited by in RCA: 448]  [Article Influence: 40.7]  [Reference Citation Analysis (0)]
9.  Saito Y, Uraoka T, Yamaguchi Y, Hotta K, Sakamoto N, Ikematsu H, Fukuzawa M, Kobayashi N, Nasu J, Michida T, Yoshida S, Ikehara H, Otake Y, Nakajima T, Matsuda T, Saito D. A prospective, multicenter study of 1111 colorectal endoscopic submucosal dissections (with video). Gastrointest Endosc. 2010;72:1217-1225.  [RCA]  [PubMed]  [DOI]  [Full Text]  [Cited by in Crossref: 627]  [Cited by in RCA: 600]  [Article Influence: 37.5]  [Reference Citation Analysis (0)]
10.  Nagtegaal ID, Odze RD, Klimstra D, Paradis V, Rugge M, Schirmacher P, Washington KM, Carneiro F, Cree IA; WHO Classification of Tumours Editorial Board. The 2019 WHO classification of tumours of the digestive system. Histopathology. 2020;76:182-188.  [RCA]  [PubMed]  [DOI]  [Full Text]  [Full Text (PDF)]  [Cited by in Crossref: 3203]  [Cited by in RCA: 2803]  [Article Influence: 467.2]  [Reference Citation Analysis (0)]
11.  Urabe Y, Tanaka S, Saito Y, Igarashi M, Watanabe T, Sugihara K. Impact of revisions of the JSCCR guidelines on the treatment of T1 colorectal carcinomas in Japan. Z Gastroenterol. 2015;53:291-301.  [RCA]  [PubMed]  [DOI]  [Full Text]  [Cited by in Crossref: 7]  [Cited by in RCA: 6]  [Article Influence: 0.5]  [Reference Citation Analysis (1)]
12.  Hong JY, Kweon SS, Lee J, Kim SW, Seo GS, Kim HS, Joo YE. Risk factors for procedure-related complications after endoscopic resection of colorectal laterally spreading tumors. Medicine (Baltimore). 2018;97:e12589.  [RCA]  [PubMed]  [DOI]  [Full Text]  [Full Text (PDF)]  [Cited by in Crossref: 3]  [Cited by in RCA: 9]  [Article Influence: 1.1]  [Reference Citation Analysis (2)]
13.  Gweon TG, Yang DH. Management of complications related to colorectal endoscopic submucosal dissection. Clin Endosc. 2023;56:423-432.  [RCA]  [PubMed]  [DOI]  [Full Text]  [Full Text (PDF)]  [Cited by in RCA: 29]  [Reference Citation Analysis (0)]
14.  Na JE, Lee YC, Kim TJ, Lee H, Won HH, Min YW, Min BH, Lee JH, Rhee PL, Kim JJ. Utility of a deep learning model and a clinical model for predicting bleeding after endoscopic submucosal dissection in patients with early gastric cancer. World J Gastroenterol. 2022;28:2721-2732.  [RCA]  [PubMed]  [DOI]  [Full Text]  [Full Text (PDF)]  [Cited by in CrossRef: 1]  [Cited by in RCA: 10]  [Article Influence: 2.5]  [Reference Citation Analysis (0)]
15.  Kemper G, Gerges C, Schoon EJ, Schreuder RM, Schrauwen RRW, Epping LSM, Beyna T, Drenth JPH, Gündug U, Siersema PD, van Geenen EJM; ENDOCARE study group. Recurrences of advanced sessile and lateral spreading colorectal adenoma after endoscopic mucosal resection (EMR) thermal ablation versus no adjuvant therapy (RESPECT): a protocol of an international randomized controlled trial. Trials. 2024;25:132.  [RCA]  [PubMed]  [DOI]  [Full Text]  [Full Text (PDF)]  [Cited by in Crossref: 1]  [Cited by in RCA: 2]  [Article Influence: 1.0]  [Reference Citation Analysis (0)]
16.  Hao XW, Li P, Wang YJ, Ji M, Zhang ST, Shi HY. Predictors for malignant potential and deep submucosal invasion in colorectal laterally spreading tumors. World J Gastrointest Oncol. 2022;14:1337-1347.  [RCA]  [PubMed]  [DOI]  [Full Text]  [Full Text (PDF)]  [Cited by in CrossRef: 1]  [Cited by in RCA: 7]  [Article Influence: 1.8]  [Reference Citation Analysis (0)]
17.  Li Y, Zhang Y, Chen Y, Wang Y, Dou L, Wang X, Zhan Q, Zhang G, Qin M, Lea F, Huang J, Zhang Q, Zhi F, Peng G, Wang G, Kumbhari V, Liu S. Long-term outcomes of endoscopic treatment for colorectal laterally spreading tumor: a large-scale multicenter retrospective study from China. Surg Endosc. 2021;35:736-744.  [RCA]  [PubMed]  [DOI]  [Full Text]  [Cited by in Crossref: 2]  [Cited by in RCA: 7]  [Article Influence: 1.2]  [Reference Citation Analysis (0)]
18.  Yamada M, Saito Y, Sakamoto T, Nakajima T, Kushima R, Parra-Blanco A, Matsuda T. Endoscopic predictors of deep submucosal invasion in colorectal laterally spreading tumors. Endoscopy. 2016;48:456-464.  [RCA]  [PubMed]  [DOI]  [Full Text]  [Cited by in Crossref: 48]  [Cited by in RCA: 70]  [Article Influence: 7.0]  [Reference Citation Analysis (0)]
19.  Tanaka S, Haruma K, Ito M, Nagata S, Oh-e H, Hirota Y, Kunihiro M, Kitadai Y, Yosihara M, Sumii K, Kajiyama G. Detailed colonoscopy for detecting early superficial carcinoma: recent developments. J Gastroenterol. 2000;35 Suppl 12:121-125.  [PubMed]  [DOI]
20.  Lian JJ, Ma LL, Zhang YQ, Chen WF, Zhong YS, Xu MD, Zhou PH, Chen SY. Clinical outcomes of endoscopic submucosal dissection for large colorectal laterally spreading tumors in older adults. J Geriatr Oncol. 2018;9:249-253.  [RCA]  [PubMed]  [DOI]  [Full Text]  [Cited by in Crossref: 4]  [Cited by in RCA: 10]  [Article Influence: 1.3]  [Reference Citation Analysis (2)]
21.  Boda K, Oka S, Tanaka S, Nagata S, Kunihiro M, Kuwai T, Hiraga Y, Furudoi A, Nakadoi K, Okanobu H, Miwata T, Okamoto S, Chayama K. Real-world learning curve analysis of colorectal endoscopic submucosal dissection: a large multicenter study. Surg Endosc. 2020;34:3344-3351.  [RCA]  [PubMed]  [DOI]  [Full Text]  [Cited by in Crossref: 10]  [Cited by in RCA: 27]  [Article Influence: 3.9]  [Reference Citation Analysis (0)]
22.  Cong ZJ, Hu LH, Ji JT, Xing JJ, Shan YQ, Li ZS, Yu ED. A long-term follow-up study on the prognosis of endoscopic submucosal dissection for colorectal laterally spreading tumors. Gastrointest Endosc. 2016;83:800-807.  [RCA]  [PubMed]  [DOI]  [Full Text]  [Cited by in Crossref: 19]  [Cited by in RCA: 27]  [Article Influence: 2.7]  [Reference Citation Analysis (0)]
23.  Zhu M, Xu Y, Yu L, Niu YL, Ji M, Li P, Shi HY, Zhang ST. Endoscopic submucosal dissection for colorectal laterally spreading tumors: Clinical outcomes and predictors of technical difficulty. J Dig Dis. 2022;23:228-236.  [RCA]  [PubMed]  [DOI]  [Full Text]  [Cited by in Crossref: 1]  [Cited by in RCA: 9]  [Article Influence: 2.3]  [Reference Citation Analysis (0)]
24.  Nishimura M, Saito Y, Nakanishi Y, Shia J, Lauwers GY, Wallace MB. Pathology definitions and resection strategies for early colorectal neoplasia: Eastern versus Western approaches in the post-Vienna era. Gastrointest Endosc. 2020;91:983-988.  [RCA]  [PubMed]  [DOI]  [Full Text]  [Cited by in Crossref: 7]  [Cited by in RCA: 7]  [Article Influence: 1.2]  [Reference Citation Analysis (1)]
25.  Zou J, Chai N, Linghu E, Zhai Y, Li Z, Du C, Li L. Clinical outcomes of endoscopic resection for non-ampullary duodenal laterally spreading tumors. Surg Endosc. 2019;33:4048-4056.  [RCA]  [PubMed]  [DOI]  [Full Text]  [Cited by in Crossref: 16]  [Cited by in RCA: 15]  [Article Influence: 2.1]  [Reference Citation Analysis (0)]
26.  Guarner-Argente C, Ikematsu H, Osera S, Fraile M, Ibañez B, Marra-López C, Jerusalén-Gargallo C, Alonso Aguirre PA, Martinez-Ares D, Soto S, Ramos Zabala F, Alvarez-Gonzalez MA, Rodriguez Sánchez J, Múgica F, Nogales Rincon O, Herreros de Tejada A, Redondo-Cerezo E, Martínez-Cara J, López-Rosés L, Rodriguez-Tellez M, Garcia-Bosch O, de la Peña J, Pellisé M, Rivero-Sanchez L, Saperas E, Pérez-Roldán F, Lopez Viedma B, González-Santiago JM, Álvarez Delgado A, Cobian C, Pardeiro R, Valdivielso Cortázar E, Colan-Hernandez J, Gordillo J, Kaneko K, Albéniz E. Location, morphology and invasiveness of lateral spreading tumors in the colorectum differ between two large cohorts from an eastern and western country. Gastroenterol Hepatol. 2022;45:440-449.  [RCA]  [PubMed]  [DOI]  [Full Text]  [Cited by in Crossref: 3]  [Cited by in RCA: 1]  [Article Influence: 0.3]  [Reference Citation Analysis (0)]
27.  Yue W, Liu Y, Huang J, Jiang X, Liu J. Colorectal laterally spreading tumours : subtype evaluation by EUS and BLI and outcome of ESD. Acta Gastroenterol Belg. 2019;82:19-26.  [PubMed]  [DOI]
28.  Kobayashi K, Tanaka S, Murakami Y, Ishikawa H, Sada M, Oka S, Saito Y, Iishi H, Kudo SE, Ikematsu H, Igarashi M, Saitoh Y, Inoue Y, Hisabe T, Tsuruta O, Sano Y, Yamano H, Shimizu S, Yahagi N, Matsuda K, Nakamura H, Fujii T, Sugihara K; Colorectal Endoscopic Resection Standardization Implementation Working Group of the Japanese Society for Cancer of the Colon and Rectum. Predictors of invasive cancer of large laterally spreading colorectal tumors: A multicenter study in Japan. JGH Open. 2020;4:83-89.  [RCA]  [PubMed]  [DOI]  [Full Text]  [Full Text (PDF)]  [Cited by in Crossref: 5]  [Cited by in RCA: 13]  [Article Influence: 1.9]  [Reference Citation Analysis (0)]
29.  Xu X, Wang T, Zheng Z, Chen X, Liu W, Sun C, Wang B. Endoscopic submucosal dissection for large colorectal epithelial neoplasms: A single center experience in north China. Medicine (Baltimore). 2017;96:e7967.  [RCA]  [PubMed]  [DOI]  [Full Text]  [Full Text (PDF)]  [Cited by in Crossref: 4]  [Cited by in RCA: 5]  [Article Influence: 0.6]  [Reference Citation Analysis (0)]
30.  Lee EJ, Lee JB, Choi YS, Lee SH, Lee DH, Kim DS, Youk EG. Clinical risk factors for perforation during endoscopic submucosal dissection (ESD) for large-sized, nonpedunculated colorectal tumors. Surg Endosc. 2012;26:1587-1594.  [RCA]  [PubMed]  [DOI]  [Full Text]  [Cited by in Crossref: 83]  [Cited by in RCA: 77]  [Article Influence: 5.5]  [Reference Citation Analysis (0)]
31.  Jeong YH, Lee J, Kim SW, Seo GS, Kim HS, Joo YE. Clinicopathological feature and treatment outcome of patients with colorectal laterally spreading tumors treated by endoscopic submucosal dissection. Intest Res. 2019;17:127-134.  [RCA]  [PubMed]  [DOI]  [Full Text]  [Full Text (PDF)]  [Cited by in Crossref: 6]  [Cited by in RCA: 6]  [Article Influence: 0.8]  [Reference Citation Analysis (0)]
32.  Dell'Anna G, Fasulo E, Cecinato P, Barbara G, Barchi A, Viale E, Esposito D, Grillo S, Sassatelli R, Malesci A, Massironi S, Annese V, Fuccio L, Facciorusso A, Donatelli G, Danese S, Azzolini F. Endoscopic Submucosal Dissection (ESD) for the Management of Fibrotic Non-Lifting Colorectal Lesions (NLCLs): Results from a Large Multicenter Retrospective Study. Cancers (Basel). 2025;17:1242.  [RCA]  [PubMed]  [DOI]  [Full Text]  [Full Text (PDF)]  [Cited by in Crossref: 4]  [Cited by in RCA: 4]  [Article Influence: 4.0]  [Reference Citation Analysis (0)]
Footnotes

Provenance and peer review: Unsolicited article; Externally peer reviewed.

Peer-review model: Single blind

Specialty type: Gastroenterology and hepatology

Country of origin: China

Peer-review report’s classification

Scientific Quality: Grade B, Grade C, Grade C

Novelty: Grade A, Grade C, Grade C

Creativity or Innovation: Grade B, Grade C, Grade C

Scientific Significance: Grade A, Grade C, Grade C

Open Access: This article is an open-access article that was selected by an in-house editor and fully peer-reviewed by external reviewers. It is distributed in accordance with the Creative Commons Attribution NonCommercial (CC BY-NC 4.0) license, which permits others to distribute, remix, adapt, build upon this work non-commercially, and license their derivative works on different terms, provided the original work is properly cited and the use is non-commercial. See: https://creativecommons.org/Licenses/by-nc/4.0/

P-Reviewer: Dell’Anna G; Despalatovic BR S-Editor: Bai Y L-Editor: A P-Editor: Zhang L