Copyright
©The Author(s) 2025.
World J Gastrointest Endosc. Nov 16, 2025; 17(11): 112348
Published online Nov 16, 2025. doi: 10.4253/wjge.v17.i11.112348
Published online Nov 16, 2025. doi: 10.4253/wjge.v17.i11.112348
Figure 1 Study selection process.
SBE: Single-balloon enteroscopy; RAE: Rotational overtube‑assisted enteroscope; SE: Standard enteroscopy.
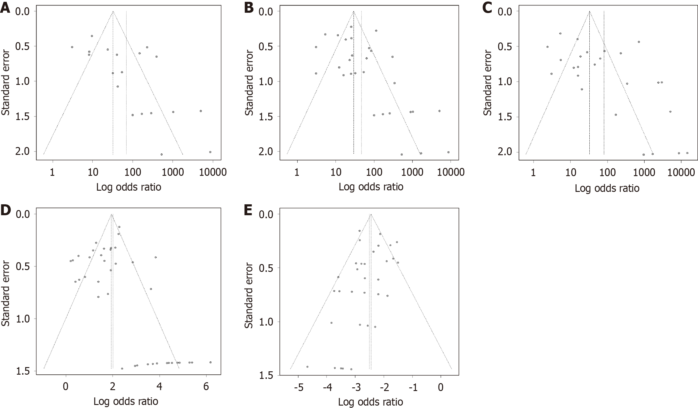
Figure 2 Funnel plot and Egger’s regression.
A: Success rate for reaching the papilla; B: Success rate of enteroscopy; C: Diagnostic success rate; D: Procedural success rate; E: Incidence of complications.
- Citation: Sun GY, Liu ZX, Sun Y, Yang Z. Efficacy and safety of double-balloon enteroscopy-assisted endoscopic retrograde cholangiopancreatography in surgically altered anatomy: A systematic review and meta-analysis. World J Gastrointest Endosc 2025; 17(11): 112348
- URL: https://www.wjgnet.com/1948-5190/full/v17/i11/112348.htm
- DOI: https://dx.doi.org/10.4253/wjge.v17.i11.112348
