Copyright: ©Author(s) 2026.
World J Hepatol. Mar 27, 2026; 18(3): 110217
Published online Mar 27, 2026. doi: 10.4254/wjh.v18.i3.110217
Published online Mar 27, 2026. doi: 10.4254/wjh.v18.i3.110217
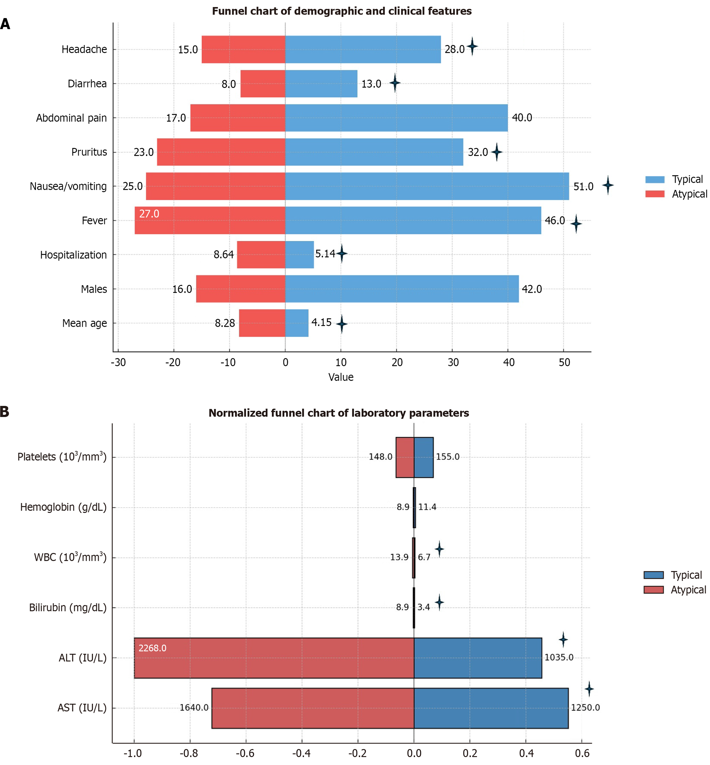
Figure 1 Funnel charts of demographic, clinical and laboratory parameters in patients with typical vs atypical manifestations.
A: Funnel chart of demographic and clinical features in patients with typical vs atypical manifestations. A funnel plot comparing demographic and clinical characteristics between patients with typical (blue) and atypical (red) disease manifestations. The data include the mean age (in years), the number of male patients, the average length of hospitalization (in days), and the frequency of symptoms such as fever, nausea and vomiting, pruritus, abdominal pain, diarrhea, and headache. Each parameter is plotted symmetrically along the horizontal axis to visually emphasize contrasts between the two groups. The significant differences between groups are denoted with an asterisk; B: Normalized funnel chart of laboratory parameters in patients with typical vs atypical manifestations. This figure displays a normalized funnel chart comparing laboratory values between patients with typical (blue) and atypical (red) clinical presentations. The chart includes peak levels of aspartate aminotransferase, alanine aminotransferase, total bilirubin (mg/dL), white blood cell count (103/mm3), hemoglobin (g/dL), and platelet count (103/mm3). Values are normalized to allow visual comparison on a unified scale. The significant differences between groups are denoted with an asterisk. WBC: White blood cell; ALT: Alanine aminotransferase; AST: Aspartate aminotransferase.
- Citation: Velev V, Tomov T, Popov M, Tomov L, Golkocheva-Markova EN, Pavlova M, Velikova T, Mitova-Mineva Y. Some peculiarities in the abnormal course of hepatitis A in childhood. World J Hepatol 2026; 18(3): 110217
- URL: https://www.wjgnet.com/1948-5182/full/v18/i3/110217.htm
- DOI: https://dx.doi.org/10.4254/wjh.v18.i3.110217
