Copyright
©The Author(s) 2026.
World J Gastroenterol. Feb 21, 2026; 32(7): 113845
Published online Feb 21, 2026. doi: 10.3748/wjg.v32.i7.113845
Published online Feb 21, 2026. doi: 10.3748/wjg.v32.i7.113845
Figure 1 Study flowchart with therapeutic management of patients with gallbladder carcinoma.
GBC: Gallbladder carcinoma; CT: Computed tomography; IGBC: Incidental gallbladder cancer.
Figure 2 Overall survival of patients with gallbladder carcinoma.
A: According to the tumor-node-metastasis stage; B: According to the T stage; C: According to the presence of lymph node metastasis; D: According to the presence of metastatic disease.
Figure 3 Overall survival of patients with gallbladder carcinoma.
A: According to the incidental gallbladder cancer and non-incidental gallbladder cancer groups; B: According to the therapeutic approach of all patients. IGBC: Incidental gallbladder cancer.
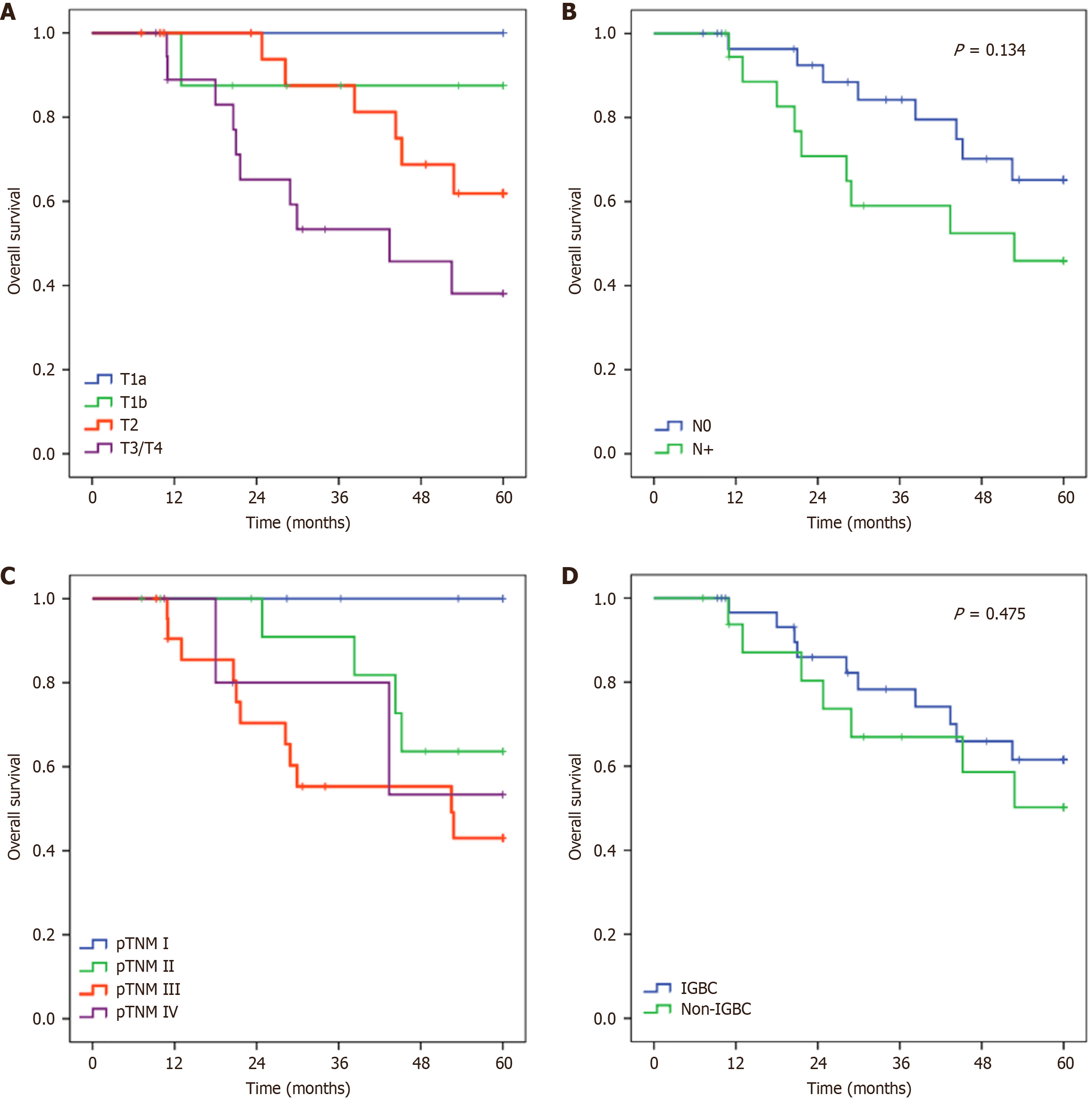
Figure 4 Overall survival of patients with gallbladder carcinoma referred to curative intent.
A: According to the pT status; B: According to the presence of regional lymph node; C: According to the tumor-node-metastasis stage; D: According to the incidental gallbladder cancer and non-incidental gallbladder cancer groups. TNM: Tumor-node-metastasis; IGBC: Incidental gallbladder cancer.
- Citation: Makdissi FF, Kawakami LE, Pereira MA, Kruguer JAP, Marques GF, Coelho FF, Jukemura J, Herman P. Gallbladder carcinoma in Brazil: Clinicopathological profile and survival outcomes from a high-volume cancer center. World J Gastroenterol 2026; 32(7): 113845
- URL: https://www.wjgnet.com/1007-9327/full/v32/i7/113845.htm
- DOI: https://dx.doi.org/10.3748/wjg.v32.i7.113845
