©Author(s) (or their employer(s)) 2026.
World J Clin Pediatr. Mar 9, 2026; 15(1): 115246
Published online Mar 9, 2026. doi: 10.5409/wjcp.v15.i1.115246
Published online Mar 9, 2026. doi: 10.5409/wjcp.v15.i1.115246
Figure 1 Comparison of C-reactive protein levels between generalized anxiety disorder patients and controls.
CRP: C-reactive protein; GAD: Generalized anxiety disorder.
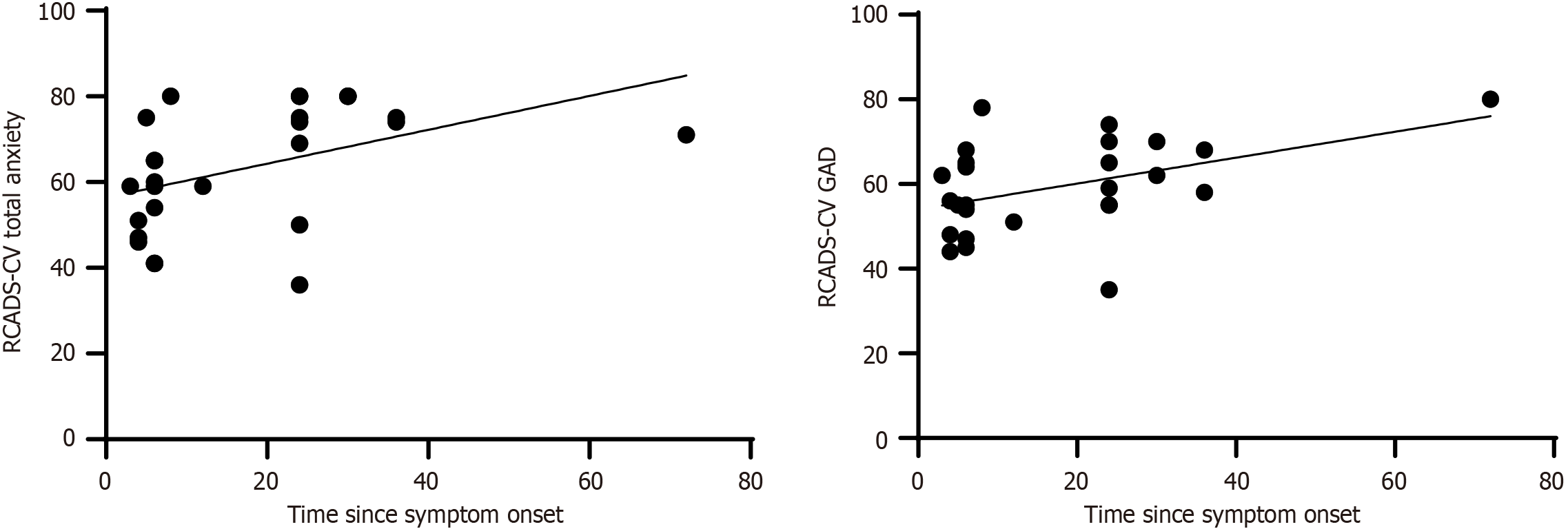
Figure 2 Correlations between Revised Child Anxiety and Depression Scales Clinical Interview Version generalized anxiety disorder and Revised Child Anxiety and Depression Scales Clinical Interview Version total anxiety, and between time since symptom onset in the generalized anxiety disorder group.
RCADS-CV: Revised Child Anxiety and Depression Scales Clinical Interview Version; GAD: Generalized anxiety disorder.
- Citation: Ünal K, Taş Torun Y, Erol ME, Kurt ZK, Özbaş C. Could high serum C-reactive protein levels serve as a biomarker for children and adolescents diagnosed with generalized anxiety disorder? World J Clin Pediatr 2026; 15(1): 115246
- URL: https://www.wjgnet.com/2219-2808/full/v15/i1/115246.htm
- DOI: https://dx.doi.org/10.5409/wjcp.v15.i1.115246
