BPG is committed to discovery and dissemination of knowledge
Retrospective Study Open Access
©The Author(s) 2025. Published by Baishideng Publishing Group Inc. All rights reserved.
World J Gastrointest Surg. Nov 27, 2025; 17(11): 111619
Published online Nov 27, 2025. doi: 10.4240/wjgs.v17.i11.111619
Clinical value of predicting bleeding after endoscopic submucosal dissection for early esophageal cancer
Sheng-Nan Liu, Department of Gastroenterology, Affiliated Hospital of Xuzhou Medical University, Xuzhou 221002, Jiangsu Province, China
Zhuo Chen, Department of Gastroenterology, The First People's Hospital of Xuzhou, Xuzhou Municipal Hospital Affiliated to Xuzhou Medical University, Xuzhou 221000, Jiangsu Province, China
ORCID number: Sheng-Nan Liu (0009-0005-9061-8078); Zhuo Chen (0009-0001-9724-5711).
Author contributions: Li SN organized the raw data, performed the statistical analysis, and drafted the manuscript; Chen Z conceived and oversaw the overall study design; both authors approved the final version of the manuscript.
Institutional review board statement: This study was approved by the Ethics Committee of the Affiliated Hospital of Xuzhou Medical University (Approval No. XYFY2024-KL585-01).
Informed consent statement: All study participants or their legal guardian provided informed written consent about personal and medical data collection prior to study enrolment.
Conflict-of-interest statement: The authors declare no conflict of interest.
Data sharing statement: The data used in this study can be obtained from the corresponding author upon request.
Corresponding author: Zhuo Chen, Associate Chief Physician, Department of Gastroenterology, The First People's Hospital of Xuzhou, Xuzhou Municipal Hospital Affiliated to Xuzhou Medical University, No. 269 Daxue Road, Tongshan District, Xuzhou 221000, Jiangsu Province, China. winter_zhuo@163.com
Received: August 6, 2025
Revised: September 8, 2025
Accepted: September 28, 2025
Published online: November 27, 2025
Processing time: 111 Days and 3.4 Hours

Abstract
BACKGROUND

The incidence of esophageal cancer is high, and its prognosis is poor. Endoscopic submucosal dissection (ESD) is an important, minimally invasive treatment for early esophageal cancer, but the risk of postoperative bleeding affects its efficacy.

AIM

To explore risk factors of bleeding after ESD and evaluate the predictive value of a gradient boosting machine (GBM) model for postoperative bleeding.

METHODS

The clinical data of 178 early esophageal cancer patients who underwent ESD at the Affiliated Hospital of Xuzhou Medical University from October 2019 to October 2024 were analyzed retrospectively. Patients were divided into two groups (bleeding and non-bleeding). Univariate and multivariate logistic regression analyses identified risk factors for postoperative bleeding, leading to the construction of the GBM prediction model. The receiver operating characteristic (ROC) curve evaluated the predictive efficacy of the GBM model and bleeding after ESD trend from Japan (BEST-J) score.

RESULTS

Among 178 patients who received ESD treatment, 29 cases (16.29%) had bleeding, and 149 cases (83.71%) had no bleeding. The average BEST-J score and the proportion of high-risk and extremely high-risk patients were higher in the bleeding group than in the non-bleeding group (P < 0.05). Multivariate logistic regression analysis showed that tumor size ≥ 3 cm, surgical bleeding, and C-reactive protein (CRP) were independent risk factors for bleeding after ESD in patients with early esophageal cancer (P < 0.05). The ROC curve showed that the area under the curve of the GBM prediction model based on the influencing factors was greater than that of the BEST-J score (0.818 vs 0.653, P < 0.05).

CONCLUSION

The GBM prediction model based on tumor size ≥ 3 cm, surgical bleeding, and high CRP levels is more effective than the BEST-J score at predicting bleeding after ESD.

Key Words: Clinical predictive value; Early esophageal cancer; Endoscopic submucosal dissection; Influencing factors; Minimal invasiveness; Postoperative bleeding

Core Tip: Although endoscopic submucosal dissection for early esophageal cancer is minimally invasive, postoperative bleeding affects its efficacy and prognosis. Investigating its risk factors and constructing a predictive model could help clinicians accurately assess the risk of bleeding, formulate personalized plans, reduce the occurrence of postoperative bleeding, and improve the safety of treatment and patient prognosis.



INTRODUCTION

Esophageal cancer is one of the most common malignant tumors of the digestive tract worldwide, with a conventional 5-year overall survival rate of 19.3%, thus representing a serious threat to human health[1]. The annual incidence and mortality of esophageal cancer remain high in China, placing a heavy burden on families and society[2]. Patients with early esophageal cancer often have no obvious specific symptoms or only mild swallowing discomfort, substernal pain, and other atypical symptoms that complicate early diagnosis[3,4].

As endoscopic technology continues to advance and become more widespread, endoscopic submucosal dissection (ESD) has gradually emerged as a significant therapeutic approach for early stage esophageal cancer and precancerous lesions. ESD offers several advantages, including minimal invasiveness, the ability to achieve complete resection of lesions, and maximal preservation of esophageal function, which can significantly enhance postoperative quality of life[5]. ESD involves less trauma than other traditional procedures, such as thoracotomy or laparotomy, thereby reducing surgery-related complications such as pulmonary infections and anastomotic leaks. Consequently, patients experience faster recovery times and notably shorter hospital stays[6].

A wealth of research data indicate that for appropriately selected early-stage esophageal cancer patients, the rates of en bloc resection, complete resection, and curative resection following ESD are all relatively high; moreover, the five-year survival rate for these patients can exceed 90%[7,8]. However, postoperative bleeding remains a critical issue affecting both surgical efficacy and patient prognosis after ESD. Postoperative bleeding can be categorized into acute intraoperative bleeding and delayed postoperative bleeding. The incidence of intraoperative bleeding is relatively high due to damage to submucosal blood vessels during surgical manipulation. Furthermore, although most cases can be effectively managed through endoscopic hemostatic measures, intraoperative bleeding may still impact visibility and the progression of the surgery[9,10]. In contrast, although delayed postoperative bleeding occurs less frequently, when it occurs, readmission may be required for treatment with blood transfusions or even additional endoscopic intervention or surgical hemostasis, thus increasing patient suffering and healthcare costs and, in severe instances, posing a threat to life[11,12]. Research shows that among early-stage esophageal cancer patients undergoing ESD procedures, there is an approximate probability of 3.3% of post-procedural hemorrhage[13]; However, depending on the patient population, this incidence may range from 10% to 20%[14,15]. Therefore, identifying the risk factors associated with postoperative hemorrhage after ESD in patients with early-stage esophageal cancer and providing appropriate interventions aimed at mitigating this risk is critically important.

At present, research on the related risk factors for bleeding after ESD for early esophageal cancer is insufficient, and there are some differences in the research results. Some studies have suggested that the patient's age, lesion size, location, resection method, and underlying comorbidities may be related to postoperative bleeding[16]; however, there is a lack of uniform risk assessment criteria and effective prediction models. A gradient boosting machine (GBM), a representative algorithm in the field of ensemble learning, trains multiple decision-tree-based learners iteratively, updates the parameters based on the gradient direction of the prediction residuals of the previous model, and gradually reduces the prediction bias of the model. The algorithm can accurately capture complex nonlinear interactions between data features and has significant advantages in dealing with multisource information fusion and complex pattern recognition tasks. Therefore, it is of great significance for clinicians to clarify the risk factors of bleeding after ESD for early esophageal cancer and establish an accurate prediction model for the preoperative evaluation of bleeding risk, formulation of reasonable treatment plans, and adoption of targeted preventive measures. This not only helps reduce the occurrence of postoperative bleeding and improve the safety and effectiveness of ESD treatment but also optimizes the allocation of medical resources and improves the prognosis and quality of life of patients. This study aimed to explore the factors influencing bleeding after ESD for early esophageal cancer and to construct a predictive model capable of providing a scientific basis for the clinical prevention and treatment of postoperative bleeding.

MATERIALS AND METHODS
Patients

The clinical data of 178 patients with early esophageal cancer who underwent ESD at the Affiliated Hospital of Xuzhou Medical University between October 2019 and October 2024 were retrospectively analyzed. The inclusion criteria were as follows: (1) Diagnosis confirmed by endoscopy and pathology; (2) Patients with clear indications for ESD operation and who received ESD treatment for the first time; and (3) Complete clinical data. The exclusion criteria were as follows: (1) Patients with high risk of bleeding and history of anticoagulant use; (2) Presence of other types of benign and malignant tumor lesions; (3) Gastrointestinal comorbidities; (4) An important organ dysfunction or injury; (5) Distant metastasis; (6) Co-occurring visual, auditory, or mental diseases; (7) Other serious potential complications; (8) Infection or other gastrointestinal diseases; (9) Blood system diseases or coagulation dysfunction; and (10) A history of anti-tumor treatment such as radiotherapy or chemotherapy before the operation. This study was approved by the Ethics Committee of Affiliated Hospital of Xuzhou Medical University.

ESD treatment method

The perioperative preparation and intraoperative operation of all patients were performed by endoscopic experts in our hospital according to the “clinical guidelines for perioperative management of gastric endoscopic submucosal dissection”[17]. The specific steps for ESD surgical procedures were as follows: (1) Marking: An argon knife or an electrosurgical knife was used to mark approximately 0.5-1.0 cm outside the margins of the lesion. The marking points was evenly spaced, typically consisting of 4-6 points, to delineate the resection area clearly; (2) Submucosal injection: An appropriate injection needle was selected, and a suitable solution (such as a mixture of saline, dextrose, sodium hyaluronate, etc.) was injected into the submucosal layer beneath the lesion. This step is crucial for adequately elevating the affected area and separating it from the muscular layer, thereby creating a safe and effective resection plane. Importantly, multiple injections were performed at various depths to ensure uniform elevation across the entire lesion; (3) Circumferential incision: An IT knife or Hook knife for electrosurgery was employed to make circumferential incisions along the outer side of marked points. The incision depth reached the submucosal layer while maintaining continuity and uniformity in cutting throughout this process; the surgeon carefully avoided excessively deep incisions that could damage the muscular layer; (4) Submucosal dissection: Cutting devices such as IT knives, Hook knives, or Flush knives, were used to gradually cut through the submucosal layer while continuously performing submucosal injections to maintain elevation at the site of interest. Close observation of the relationship between lesions and muscle layers during dissection is essential for preventing perforation due to inadvertent injury; and (5) Wound management: After excising the lesion, the wound site was carefully inspected and preventive hemostatic measures were conducted on all visible blood vessels using methods such as electrocoagulation, argon plasma coagulation or hemostatic clips. For larger wounds, biological glue or hemostatic materials were applied for coverage to facilitate the healing processes. After the lesion was removed, preventive coagulation was performed on all visible blood vessels. Antiplatelet and antithrombotic drugs were discontinued in patients under these treatments at least 7 days before ESD. Heparin was used as a bridging therapy in patients at high risk of thromboembolism. Antiplatelet and antithrombotic drugs were re-applied 1-2 days after ESD.

Clinical data

The following clinical information of patients was collected through the hospital information system. General information includes age, sex (male or female), and body mass index. Medical history includes history of diabetes mellitus (present or absent), history of chronic kidney disease (present or absent), and preoperative anemia (yes or no; hemoglobin levels: Male < 130 g/L; female < 120 g/L). Tumor characteristics include tumor size (< 3 cm or ≥ 3 cm), invasion depth (M1, M2, and M3), tumor location (upper esophagus, middle esophagus, and lower esophagus), and morphology (elevated, depressed, and flat). Surgical-related indicators include intraoperative bleeding (yes or no), duration of surgery, postoperative anticoagulant use (present or absent), and bleeding time. The following laboratory indicators were assessed: Preoperative blood routine indicators [C-reactive protein (CRP) platelet count, neutrophils, lymphocytes, hematocrit, hemoglobin, white blood cell count], coagulation function indicators [prothrombin time (PT), activated partial thromboplastin time (APTT), fibrinogen, etc.]. The bleeding after ESD trend from Japan (BEST-J) risk prediction model consisted of 10 variables: Warfarin (4 points), direct oral anticoagulants (4 points), chronic kidney disease undergoing hemodialysis (3 points), P2Y12 receptor antagonists (2 points), aspirin (2 points), cilostazol (1 point), tumor size > 30 mm (1 point), tumor located in the lower 1/3 of the stomach (1 point), multiple tumors (1 point), and anticoagulant withdrawal (-1 point). Rebleeding risk: 0-1 was low risk, 2 was medium risk, 3-4 was high risk, and ≥ 5 was extremely high risk[18].

Grouping

Within 24 hours to 30 days after the operation, symptoms such as hematemesis, melena, bloody stool, or hemoglobin level decreased by ≥ 20 g/L were observed, accompanied by hemodynamic instability (systolic blood pressure < 90 mmHg, or a decrease in systolic blood pressure of ≥ 30 mmHg from the baseline; heart rate > 100 beats/minutes; or early shock manifestations such as indifference, cold and clammy skin, and urine output < 30 mL/hour), necessitating further endoscopic interventional examination, hemostasis, and blood transfusion therapy. Patients with postoperative bleeding were assigned to the bleeding group, while those without postoperative bleeding were included in the non-bleeding (control) group[19].

Statistical analysis

SPSS (version 29.0) was used for the data analysis. Continuous variables that conform to the normal distribution are expressed as mean ± SD, and were compared between the groups using independent sample t-tests. Categorical variables are presented as percentages (%) and were assessed using the χ2 test. Multivariate logistic regression analysis was used to screen for risk factors for bleeding after ESD in patients with early esophageal cancer. A GBM model was constructed using R 4.1.2 software based on risk factors. A receiver operating characteristic (ROC) curve was used to evaluate the value of the BEST-J score and the GBM prediction model based on influencing factors in the diagnosis of bleeding after ESD. Statistical significance was set at P < 0.05.

RESULTS
Clinical data

A total of 178 patients with early esophageal cancer who underwent ESD treatment were included in this study, 29 (16.29%) of whom were allocated in the bleeding group, and 149 (83.71%) in the non-bleeding group. The values of tumor size and the proportion of patients with intraoperative bleeding were significantly higher in the bleeding group than in the non-bleeding group (P < 0.05; Table 1).

Table 1 Comparison of clinical data between the two groups of patients.
Factors
Bleeding group (n = 29)
Non-bleeding group (n = 149)
t/χ2
P value
Age (years)61.21 ± 12.3560.55 ± 11.560.2770.782
Sex, n (%)0.0350.852
    Male16 (55.17)85 (57.15)
    Female13 (44.83)6442.95
Diabetes, n (%)1.0740.300
    Yes6 (20.69)45 (30.20)
    No23 (79.31)104 (69.80)
History of chronic kidney disease, n (%)1.5420.214
    Yes6 (20.69)18 (12.08)
    No23 (79.31)131 (87.92)
Preoperative anemia, n (%)0.0130.910
    Yes5 (17.24)27 (18.12)
    No24 (82.76)122 (81.88)
Tumor size [cm; n (%)]12.010< 0.001
    < 310 (34.48)47 (31.54)
    ≥ 319 (65.52)102 (68.46)
Infiltration depth, n (%)1.7170.424
    M126 (89.66)122 (81.88)
    M23 (10.34)20 (13.42)
    M30 (0.00)74.70
Tumor location, n (%)0.6560.720
    Upper esophagus10 (34.48)41 (27.52)
    Middle esophagus5 (17.24)32 (21.48)
    Lower esophagus14 (48.28)76 (51.00)
Tumor morphology, n (%)2.6750.263
    Uplift13 (44.83)84 (56.38)
    Depression13 (44.83)59 (39.60)
    Flat3 (10.34)6 (4.03)
Intraoperative bleeding, n (%)6.6220.010
    Yes8 (27.59)17 (11.41)
    No21 (72.41)132 (88.59)
Operation time (minute)50.10 ± 3.3249.22 ± 2.95
Postoperative anticoagulant use, n (%)0.5430.461
    No17 (58.62)98 (65.77)
    Yes12 (41.38)51 (34.23)
Preoperative laboratory examination indexes

The CRP level was higher in the bleeding group than in the non-bleeding group (P < 0.05). There were no significant differences in platelet count, neutrophil count, lymphocyte count, hematocrit, hemoglobin level, white blood cell count, PT, APTT, or fibrinogen levels between the two groups (P > 0.05; Table 2).

Table 2 Comparison of preoperative laboratory examination indexes between the two groups of patients.
Indicators
Bleeding group (n = 29)
Non-bleeding group (n = 149)
t value
P value
CRP (mg/L)52.14 ± 6.6048.77 ± 5.372.9810.003
Platelet count (× 109/L)193.32 ± 37.55207.55 ± 39.211.8000.074
Neutrophils (× 109/L)6.33 ± 1.555.89 ± 1.431.5340.127
Lymphocytes (× 109/L)1.88 ± 0.461.91 ± 0.490.2030.839
Hematocrit (%)38.56 ± 3.2239.10 ± 3.520.7650.446
Hemoglobin (g/L)125.68 ± 16.22128.31 ± 17.880.7350.463
White blood cell count (× 109/L)7.88 ± 1.907.25 ± 1.631.8770.062
PT (second)12.50 ± 2.3212.22 ± 2.450.5690.570
APTT (second)35.65 ± 3.6734.85 ± 3.231.1950.234
Fibrinogen (g/L)3.53 ± 0.523.61 ± 0.600.6530.515
Comparison of BEST-J score between the bleeding group and non-bleeding group in patients with early esophageal cancer

The average BEST-J score was higher in the bleeding group than in the non-bleeding group (P < 0.05). There was a statistically significant difference in the distribution of the BEST-J scores between the two groups (P < 0.05). Using the BEST-J risk model, the proportion of high-and extremely high-risk patients was higher in the bleeding group than in the non-bleeding group (P < 0.05; Table 3).

Table 3 Comparison of bleeding after endoscopic submucosal dissection trend from Japan scores between bleeding group and non-bleeding group in patients with early esophageal cancer.
Item
Bleeding group (n = 29)
Non-bleeding group (n = 149)
t/χ2
P value
BEST-J score (points) 1.97 ± 1.121.55 ± 0.932.8290.005
BEST-J score distribution, n (%)11.4940.042
    01 (3.45)12 (8.05)
    18 (27.59)77 (51.68)
    215 (51.72)47 (31.54)
    32 (6.90)10 (6.71)
    42 (6.90)2 (1.34)
    51 (3.45)1 (0.67)
BEST-J risk, n (%)9.0250.029
    Low risk9 (31.03)89 (59.73)
    Medium risk15 (51.72)47 (31.54)
    High risk4 (13.79)12 (8.05)
    Extremely high risk1 (3.45)1 (0.67)
Multivariate analysis of factors affecting bleeding after ESD for early esophageal cancer

Multivariate logistic regression analysis showed that tumor size ≥ 3 cm (OR = 4.685, 95%CI: 1.916-11.458), surgical bleeding (OR = 3.825, 95%CI: 1.287-11.370), and CRP (OR = 1.120, 95%CI: 1.036-1.211) were independent risk factors for bleeding after ESD in patients with early esophageal cancer (P < 0.05; Table 4).

Table 4 Multivariate analysis of factors affecting bleeding after endoscopic submucosal dissection for early esophageal cancer.
Factors
β
SE
Wals χ2
P value
OR
95%CI
Tumor size1.5440.45611.455< 0.0014.6851.916-11.458
Surgical bleeding1.3410.5565.8240.0163.8251.287-11.370
CRP0.1140.0408.1160.0041.1201.036-1.211
Constant-8.3322.10715.630< 0.0010.000-
Construction of a GBM prediction model for bleeding after ESD in patients with early esophageal cancer

Variables with P < 0.05 (Table 4) were included in the GBM model. Using the 5-fold cross-validation method, the shrinkage was set to 0.005, and the initial iteration number was set to 1000 to train the model to obtain the optimal iteration number, that is, when n.trees = 975, the model had the smallest generalization error (Figure 1A). The relative importance of the variables was determined using the GBM algorithm as follows: CRP > tumor size > surgical bleeding (Figure 1B).

Figure 1
Figure 1 Construction of a gradient boosting machine prediction model for bleeding after endoscopic submucosal dissection in patients with early esophageal cancer. A: Number of iterations and error rate; B: Relative importance ranking of variables in the gradient boosting machine model. CRP: C-reactive protein.
Comparison of the predictive effects of the GBM model and BEST-J score on bleeding after ESD in patients with early esophageal cancer

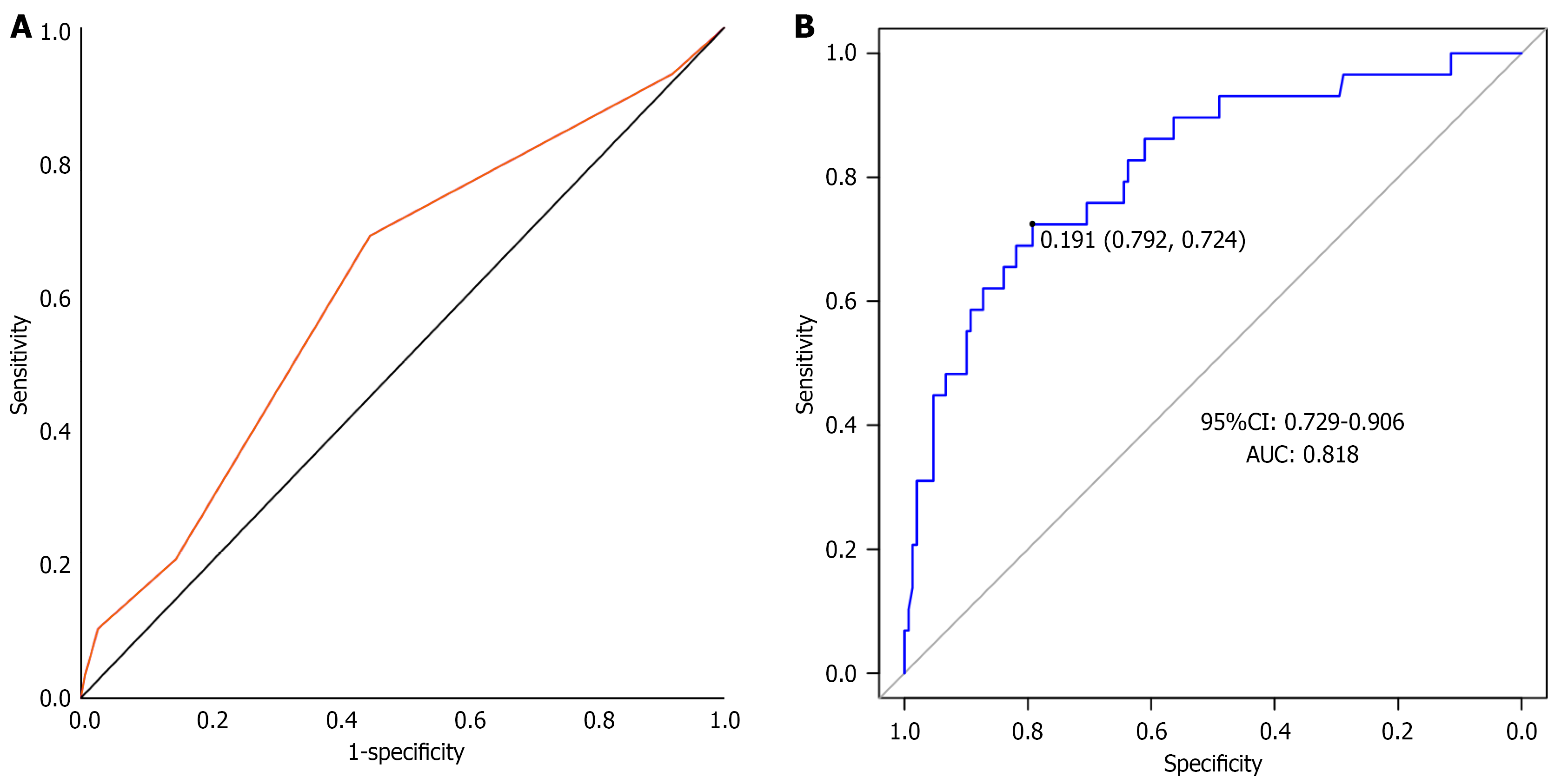
The results of the ROC curve analysis showed that the area under the curve (AUC) of the GBM prediction model was 0.818 (95%CI: 0.729-0.906), the sensitivity and specificity were 72.40% and 79.20%, respectively, and the optimal cut-off value was 0.191. The AUC of BEST-J score was 0.653 (95%CI: 0.545-0.762), the sensitivity and specificity were 69.00% and 59.73%, respectively, and the best cut-off value was 1.50. The Delong test showed that the GBM prediction model was superior to the BEST-J score (P < 0.05; Figure 2, Table 5).

Figure 2
Figure 2 Comparison of the predictive effect of the gradient boosting machine model and bleeding after endoscopic submucosal dissection trend from Japan score on postoperative bleeding after endoscopic submucosal dissection in patients. A: Receiver operating characteristic (ROC) curve of the bleeding after endoscopic submucosal dissection (ESD) trend from Japan score for predicting bleeding after ESD in patients with early esophageal cancer; B: ROC curve of the gradient boosting machine prediction model for predicting bleeding after ESD in patients with early esophageal cancer. AUC: Area under the curve.
Table 5 Comparison of the predictive effects of the gradient boosting machine model and bleeding after endoscopic submucosal dissection trend from Japan score on bleeding after endoscopic submucosal dissection in patients with early esophageal cancer.
Project
AUC (90%CI)
Sensitivity
Specificity
Cut-off value
P value
95%CI
BEST-J score0.6530.7590.7380.166< 0.0010.545-0.762
GBM prediction model0.8180.7240.7920.1910.0090.729-0.906
DISCUSSION

Early esophageal cancer occurs in the esophageal mucosa and submucosa without lymph node metastasis. If not diagnosed and treated in time, it may progress to lymph node metastasis, and the patient may eventually lose the best treatment opportunity, resulting in poor prognosis[20]. With the development of endoscopic technology, its role in the diagnosis and treatment of early esophageal cancer has become increasingly prominent. After submucosal injection for ESD, the mucosal and muscularis propria layers were separated using an electric knife, and the lesions were completely stripped. This procedure allows us to obtain complete specimens for diagnosis and treatment purposes and has the advantages of few adverse reactions and low cost[21,22]. However, ESD is difficult to perform, demanding a high technical proficiency from the surgeon, and has a high rate of delayed bleeding postoperatively. The incidence of postoperative bleeding in this study was 16.29%, which is higher than that reported in related studies[14]. Considering that the proportion of elderly patients in this study may be higher, the vascular elasticity of elderly patients was poor, coagulation function was decreased, and the risk of bleeding after ESD was relatively high. At the same time, our sample size was relatively small compared with related studies, making it hard to control for confounding factors like individual characteristics of excessive bleeding. Postoperative bleeding has a serious impact on patient prognosis, and can even be fatal. Mild hematemesis or melena, bloody stools, and severe hemorrhagic shock require clinical attention[23]. In general, intraoperative bleeding is easy to identify and manage, whereas delayed postoperative bleeding is difficult to predict, and the harm it causes is relatively large, especially because it can easily be neglected by clinicians due to its relatively low incidence. Therefore, it is important to explore the risk factors for bleeding after ESD in patients with early esophageal cancer.

This study revealed that tumor size, intraoperative bleeding, and CRP level were significantly associated with bleeding after ESD. Further multivariate logistic regression analysis showed that tumor (≥ 3 cm), intraoperative bleeding, and high CRP level were independent risk factors for bleeding after ESD in patients with early esophageal cancer, which is consistent with the results of Huang et al[13]. From the specific data, as shown in Table 1, there were significant differences in tumor size and intraoperative bleeding between the postoperative bleeding group and the non-bleeding group (P < 0.05). For tumor size, the larger the tumor diameter, the larger the corresponding lesion volume and the larger the surgical wound, which increases the risk of vascular exposure. If intraoperative hemostasis is not performed, the risk of delayed bleeding after surgery increases[24,25]. Moreover, the resection of large tumors is often a lengthy surgical procedure. Prolonged operation time increases the risk of intraoperative bleeding, and a long-term operation causes surgeon fatigue, affects the accuracy of the surgery, and thwarts efforts to stop the bleeding timely or completely, thus increasing the possibility of postoperative bleeding. Additionally, larger tumors are often accompanied by a richer blood supply to maintain growth, which can easily damage the peripheral or internal blood vessels of the tumor and cause bleeding during surgery[26]. Intraoperative bleeding indicates vascular injury; hence, even if hemostatic measures (such as electrocoagulation and hemostatic clips) are taken at that time, there may still be small vascular injuries that are not completely repaired. Postoperative factors, such as patient activity and blood pressure fluctuations, may lead to rebleeding at the site of hemostasis. Simultaneously, intraoperative bleeding and hemostasis may activate or disrupt the body's coagulation system, affect coagulation function, and cause abnormal coagulation in postoperative wounds, thereby increasing the risk of bleeding[27]. In addition, hematoma or blood exudation due to intraoperative bleeding affects the surgical wound healing environment, resulting in delayed or poor wound healing, which is prone to postoperative bleeding. CRP is a marker of inflammation, and high CRP levels reflect a strong inflammatory response in the body[28]. Inflammation increases vascular permeability, exudates blood components, and affects the integrity of the vascular wall, making blood vessels prone to rupture and bleeding. In a state of inflammation, the coagulation-fibrinolysis system is imbalanced, the consumption of coagulation factors is increased or their function is abnormal, and fibrinolytic activity is enhanced, resulting in coagulation dysfunction and an increased bleeding tendency[29]. Persistent inflammation interferes with the repair process of surgical wound tissue, fibroblast proliferation, and collagen synthesis; moreover, slow wound healing and vascular repair are not timely and can easily cause bleeding[30]. For other indicators with no statistical difference, the following points should be considered. In terms of age, although elderly patients have poor vascular elasticity and decreased coagulation function, our sample may not reflect the impact of age on postoperative bleeding due to individual differences. Sex differences may be due to the difference in physiological structure and hormone levels between men and women, which has a relatively small impact on the bleeding after ESD for early esophageal cancer. Moreover, the uneven distribution of male and female patients in our study sample, may have resulted in failure to show significant differences. In terms of tumor location, there may be some differences in the anatomical structure and blood supply of different parts of the esophagus. However, in this study, the difference in lesion site is likely not enough to cause significant difference in postoperative bleeding. Additionally, the complex interaction between lesion site and other influencing factors may have concealed the effect on postoperative bleeding alone.

One study found that the BEST-J score has good overall performance and calibration and can be used as a simple auxiliary tool for clinical decision-making in routine practice[31]. However, the BEST-J score is based on a risk model of post-ESD bleeding in Japanese patients. Our results showed that when applied to Chinese patients, the ability to predict postoperative bleeding risk was relatively insufficient, with an AUC of 0.653. The AUC of the GBM algorithm model based on the influencing factors was 0.818, which is significantly better.

The reasons for the analysis may be as follows. First, the diagnosis and treatment criteria for ESD are different. The Japanese Society of Gastrointestinal Endoscopy guidelines recommend that patients who use aspirin alone or in combination with thiophene pyridines, including those with a high risk of bleeding, should continue to be treated with aspirin[32]. In contrast, ESD is generally performed 5-7 days after discontinuation of anticoagulant and antiplatelet drugs in China[23,33]. This resulted in a relatively small number of high-and extremely high-risk patients in the BEST-J score-risk group. Second, the GBM can better mine the potential information of the relevant influencing factors, thus improving the accuracy and stability of the prediction. The GBM algorithm is focused on screening the contribution of variables to the model’s predictive ability and can identify some potential indicators that play an important role in complex relationships[34]. The relative importance of clinical features obtained by GBM was CRP > tumor size > surgical bleeding. The three factors in this study can be evaluated before the end of ESD, and the immediate evaluation results can guide endoscopists in taking appropriate preventive measures during ESD and monitoring high-risk patients after ESD. In contrast, the BEST-J score, as a universal risk score, may be limited in efficacy owing to its insufficient specificity and population extrapolation bias in the specific scenario of bleeding after ESD for early esophageal cancer. In the future, a larger sample size should be used to verify the model and explore the possibility of its combined application with other biomarkers.

This study has the following limitations. First, the patients were recruited from only one hospital and there were few postoperative bleeding events, which may have caused some unknown bias in the conclusion of potential risk factors. In addition, due to the limitations imposed by the integrity of the retrospectively analyzed data, there was a lack of quantification of the risk factors for delayed bleeding and the dosage of anticoagulants and antiplatelet drugs used in previous reports, such as the evaluation of bleeding during ESD. Further, the proposed risk prediction model has not been externally verified using large samples, which is required to achieve a more accurate method for judging delayed bleeding after ESD that is suitable for the Chinese population.

CONCLUSION

In summary, the BEST-J score is generally effective in identifying bleeding after ESD in patients with early esophageal cancer. Tumor size, intraoperative bleeding, and CRP levels were independent factors influencing bleeding after ESD in patients with early esophageal cancer. Our GBM model, which is based on these factors, effectively predicts bleeding after ESD.

References
1.  Sugase T, Miyata H, Sugimura K, Kanemura T, Takeoka T, Yamamoto M, Shinno N, Hara H, Omori T, Yano M. Risk factors and long-term postoperative outcomes in patients with postoperative dysphagia after esophagectomy for esophageal cancer. Ann Gastroenterol Surg. 2022;6:633-642.  [RCA]  [PubMed]  [DOI]  [Full Text]  [Full Text (PDF)]  [Cited by in Crossref: 6]  [Cited by in RCA: 17]  [Article Influence: 4.3]  [Reference Citation Analysis (0)]
2.  Jiang Q, Shu Y, Jiang Z, Zhang Y, Pan S, Jiang W, Liang J, Cheng X, Xu Z. Burdens of stomach and esophageal cancer from 1990 to 2019 and projection to 2030 in China: Findings from the 2019 Global Burden of Disease Study. J Glob Health. 2024;14:04025.  [RCA]  [PubMed]  [DOI]  [Full Text]  [Full Text (PDF)]  [Cited by in Crossref: 54]  [Cited by in RCA: 45]  [Article Influence: 22.5]  [Reference Citation Analysis (6)]
3.  He S, Xia C, Li H, Cao M, Yang F, Yan X, Zhang S, Teng Y, Li Q, Chen W. Cancer profiles in China and comparisons with the USA: a comprehensive analysis in the incidence, mortality, survival, staging, and attribution to risk factors. Sci China Life Sci. 2024;67:122-131.  [RCA]  [PubMed]  [DOI]  [Full Text]  [Cited by in Crossref: 158]  [Cited by in RCA: 127]  [Article Influence: 63.5]  [Reference Citation Analysis (0)]
4.  Liu M, Yang W, Guo C, Liu Z, Li F, Liu A, Yang H, Shen L, Wu Q, Duan L, Wang H, Tian H, Shi C, Pan Y, Liu Y, Liu F, Weiss NS, Cai H, He Z, Ke Y. Effectiveness of Endoscopic Screening on Esophageal Cancer Incidence and Mortality: A 9-Year Report of the Endoscopic Screening for Esophageal Cancer in China (ESECC) Randomized Trial. J Clin Oncol. 2024;42:1655-1664.  [RCA]  [PubMed]  [DOI]  [Full Text]  [Cited by in Crossref: 35]  [Cited by in RCA: 33]  [Article Influence: 16.5]  [Reference Citation Analysis (0)]
5.  Ishihara R, Arima M, Iizuka T, Oyama T, Katada C, Kato M, Goda K, Goto O, Tanaka K, Yano T, Yoshinaga S, Muto M, Kawakubo H, Fujishiro M, Yoshida M, Fujimoto K, Tajiri H, Inoue H; Japan Gastroenterological Endoscopy Society Guidelines Committee of ESD/EMR for Esophageal Cancer. Endoscopic submucosal dissection/endoscopic mucosal resection guidelines for esophageal cancer. Dig Endosc. 2020;32:452-493.  [RCA]  [PubMed]  [DOI]  [Full Text]  [Cited by in Crossref: 361]  [Cited by in RCA: 320]  [Article Influence: 53.3]  [Reference Citation Analysis (0)]
6.  Taniguchi Y, Ono J, Haraguchi M, Tabuchi M, Hisamatsu N, Takahata H, Kondo H, Yamaguchi N, Kumai Y, Nakao K. Impact of low pharyngeal/esophageal pressure associated with sarcopenia on postendoscopic submucosal dissection pneumonia in patients with superficial esophageal cancer. Dig Endosc. 2024;36:801-810.  [RCA]  [PubMed]  [DOI]  [Full Text]  [Cited by in Crossref: 2]  [Cited by in RCA: 3]  [Article Influence: 1.5]  [Reference Citation Analysis (0)]
7.  Reddy CA, Tavakkoli A, Chen VL, Korsnes S, Bedi AO, Carrott PW, Chang AC, Lagisetty KH, Kwon RS, Elmunzer BJ, Orringer MB, Piraka C, Prabhu A, Reddy RM, Wamsteker E, Rubenstein JH. Long-Term Quality of Life Following Endoscopic Therapy Compared to Esophagectomy for Neoplastic Barrett's Esophagus. Dig Dis Sci. 2021;66:1580-1587.  [RCA]  [PubMed]  [DOI]  [Full Text]  [Cited by in Crossref: 2]  [Cited by in RCA: 8]  [Article Influence: 1.6]  [Reference Citation Analysis (1)]
8.  Wang Y, Yang W, Wang Q, Zhou Y. Mechanisms of esophageal cancer metastasis and treatment progress. Front Immunol. 2023;14:1206504.  [RCA]  [PubMed]  [DOI]  [Full Text]  [Full Text (PDF)]  [Cited by in Crossref: 44]  [Cited by in RCA: 39]  [Article Influence: 13.0]  [Reference Citation Analysis (0)]
9.  Gu Y, Zhao S. Risk factors for postoperative bleeding following endoscopic submucosal dissection in early gastric cancer: A systematic review and meta-analysis. Medicine (Baltimore). 2024;103:e37762.  [RCA]  [PubMed]  [DOI]  [Full Text]  [Cited by in RCA: 2]  [Reference Citation Analysis (1)]
10.  Konishi H, Urabe Y, Nakamura T, Ishibashi K, Mizuno J, Fukuhara M, Takasago T, Tanaka H, Tsuboi A, Yamashita K, Hiyama Y, Takigawa H, Kotachi T, Yuge R, Ishikawa A, Oka S. Long-term prognosis after endoscopic submucosal dissection for esophageal cancer in older adult patients. BMC Gastroenterol. 2024;24:164.  [RCA]  [PubMed]  [DOI]  [Full Text]  [Cited by in RCA: 5]  [Reference Citation Analysis (0)]
11.  Sugimoto M, Murata M, Kawai T. Assessment of delayed bleeding after endoscopic submucosal dissection of early-stage gastrointestinal tumors in patients receiving direct oral anticoagulants. World J Gastroenterol. 2023;29:2916-2931.  [PubMed]  [DOI]  [Full Text]
12.  Yu X, Liu Y, Xue L, He S, Zhang Y, Dou L, Liu X, Lu N, Wang G. Risk factors for complications after endoscopic treatment in Chinese patients with early esophageal cancer and precancerous lesions. Surg Endosc. 2021;35:2144-2153.  [RCA]  [PubMed]  [DOI]  [Full Text]  [Cited by in Crossref: 4]  [Cited by in RCA: 15]  [Article Influence: 2.5]  [Reference Citation Analysis (0)]
13.  Huang L, Li J, Zheng Y, Lu R, Yu L. Risk factor analysis and predictive model construction for postoperative bleeding in early esophageal cancer. Am J Transl Res. 2024;16:5487-5496.  [RCA]  [PubMed]  [DOI]  [Full Text]  [Cited by in Crossref: 2]  [Cited by in RCA: 2]  [Article Influence: 1.0]  [Reference Citation Analysis (0)]
14.  Libânio D, Costa MN, Pimentel-Nunes P, Dinis-Ribeiro M. Risk factors for bleeding after gastric endoscopic submucosal dissection: a systematic review and meta-analysis. Gastrointest Endosc. 2016;84:572-586.  [RCA]  [PubMed]  [DOI]  [Full Text]  [Cited by in Crossref: 119]  [Cited by in RCA: 108]  [Article Influence: 10.8]  [Reference Citation Analysis (1)]
15.  Kitagawa D, Kanesaka T, Ishihara R, Tani Y, Okubo Y, Asada Y, Ueda T, Kizawa A, Ninomiya T, Ando Y, Tanabe G, Fujimoto Y, Mori H, Kato M, Yoshii S, Shichijo S, Yamamoto S, Higashino K, Uedo N, Michida T, Fujiwara Y. Characteristics and Risk Factors for Postoperative Bleeding Following Endoscopic Resection of Esophageal Squamous Neoplasms. Dig Dis Sci. 2025;70:340-349.  [RCA]  [PubMed]  [DOI]  [Full Text]  [Cited by in RCA: 3]  [Reference Citation Analysis (1)]
16.  Rodríguez-Tomàs E, Arenas M, Baiges-Gaya G, Acosta J, Araguas P, Malave B, Castañé H, Jiménez-Franco A, Benavides-Villarreal R, Sabater S, Solà-Alberich R, Camps J, Joven J. Gradient Boosting Machine Identified Predictive Variables for Breast Cancer Patients Pre- and Post-Radiotherapy: Preliminary Results of an 8-Year Follow-Up Study. Antioxidants (Basel). 2022;11:2394.  [RCA]  [PubMed]  [DOI]  [Full Text]  [Full Text (PDF)]  [Cited by in RCA: 8]  [Reference Citation Analysis (0)]
17.  National Clinical Research Center for Digestive Disease of China; Chinese Society of Digestive Endoscopy;  Chinese Association of Endoscopologist, Gastroenterologist & Hepatologist. [Clinical guidelines for perioperative management of gastric endoscopic submucosal dissection]. Zhonghua Nei Ke Za Zhi. 2018;57:84-96.  [RCA]  [PubMed]  [DOI]  [Full Text]  [Cited by in RCA: 1]  [Reference Citation Analysis (1)]
18.  Macedo Silva V, Ferreira AI, Lima Capela T, Xavier S, Boal Carvalho P, Cotter J. BEST-J Score: Validation of a Predicting Model for Delayed Bleeding After Gastric Endoscopic Submucosal Dissection on a European Sample. Dig Dis Sci. 2024;69:1372-1379.  [RCA]  [PubMed]  [DOI]  [Full Text]  [Cited by in RCA: 3]  [Reference Citation Analysis (1)]
19.  Tanaka I, Tarasawa K, Saito H, Hirasawa D, Fujimori K, Fushimi K, Matsuda T. Is proton-pump inhibitor effective in preventing postoperative bleeding after esophageal endoscopic submucosal dissection? Dis Esophagus. 2024;37:doad060.  [RCA]  [PubMed]  [DOI]  [Full Text]  [Cited by in Crossref: 4]  [Cited by in RCA: 4]  [Article Influence: 2.0]  [Reference Citation Analysis (1)]
20.  Qin L, Tian J, Zhang Y, Yin Y, Dou Z, Chen J, Zhang Z, Gong Y, Fu W. Comparison of postoperative survival prognosis between early-onset and late-onset esophageal cancer: A Population-based study. PLoS One. 2024;19:e0315391.  [RCA]  [PubMed]  [DOI]  [Full Text]  [Cited by in RCA: 2]  [Reference Citation Analysis (1)]
21.  Zhou B, Zhao Z, Wang XW, Fan L, Zhu JR, Yang YY, Zou PY, Chen DF, Shen XC, Lan CH. Prediction of Esophageal Stricture after Endoscopic Submucosal Dissection in Patients with Early Esophageal Cancer. J Gastrointest Surg. 2022;26:2434-2443.  [RCA]  [PubMed]  [DOI]  [Full Text]  [Cited by in Crossref: 11]  [Cited by in RCA: 10]  [Article Influence: 2.5]  [Reference Citation Analysis (0)]
22.  Wang J, Li SJ, Yan Y, Yuan P, Li WF, Cao CQ, Chen WG, Chen KN, Wu Q. Feasibility of same-day discharge following endoscopic submucosal dissection for esophageal or gastric early cancer. World J Gastroenterol. 2022;28:5957-5967.  [RCA]  [PubMed]  [DOI]  [Full Text]  [Full Text (PDF)]  [Cited by in RCA: 5]  [Reference Citation Analysis (2)]
23.  Aoyama T, Atsumi Y, Hara K, Kazama K, Tamagawa H, Tamagawa A, Komori K, Maezawa Y, Kano K, Hashimoto I, Oshima T, Murakawa M, Numata M, Yukawa N, Masuda M, Rino Y. Postoperative Bleeding After Esophagectomy for Esophageal Cancer in Patients Receiving Antiplatelet and Anticoagulation Treatment. Anticancer Res. 2020;40:2359-2364.  [RCA]  [PubMed]  [DOI]  [Full Text]  [Cited by in RCA: 4]  [Reference Citation Analysis (0)]
24.  Gao Z, Hua B, Ge X, Liu J, Xue L, Zhen F, Luo J. Comparison Between Size and Stage of Preoperative Tumor Defined by Preoperative Magnetic Resonance Imaging and Postoperative Specimens After Radical Resection of Esophageal Cancer. Technol Cancer Res Treat. 2019;18:1533033819876263.  [RCA]  [PubMed]  [DOI]  [Full Text]  [Full Text (PDF)]  [Cited by in Crossref: 2]  [Cited by in RCA: 7]  [Article Influence: 1.2]  [Reference Citation Analysis (1)]
25.  Hagi T, Shiraishi O, Nakanishi T, Kohda M, Hiraki Y, Kato H, Yasuda A, Shinkai M, Imano M, Yasuda T. Utility of Initial Tumor Reduction as a Prognostic Factor in Esophageal Squamous Cell Cancer Patients Undergoing Neoadjuvant Chemotherapy Followed by Surgery : A Retrospective Cohort Study. Ann Surg Oncol. 2024;31:5064-5074.  [RCA]  [PubMed]  [DOI]  [Full Text]  [Cited by in Crossref: 2]  [Cited by in RCA: 6]  [Article Influence: 3.0]  [Reference Citation Analysis (1)]
26.  Wang P, Liu C, Wei L, Wei W, Liu Z, Wu F, Qu R. A Study on Risk Factors Associated with Reflux Esophagitis in Patients Undergoing Esophageal Cancer Surgery. J Healthc Eng. 2022;2022:3409693.  [RCA]  [PubMed]  [DOI]  [Full Text]  [Full Text (PDF)]  [Cited by in Crossref: 1]  [Cited by in RCA: 2]  [Article Influence: 0.5]  [Reference Citation Analysis (0)]
27.  Watanabe H, Kano K, Hashimoto I, Tanabe M, Onuma S, Morita J, Nagasawa S, Kanematsu K, Aoyama T, Yamada T, Ogata T, Rino Y, Saito A, Oshima T. Intraoperative Blood Loss Impacts Recurrence and Survival in Patients With Locally Advanced Esophageal Cancer. Anticancer Res. 2023;43:5173-5179.  [RCA]  [PubMed]  [DOI]  [Full Text]  [Cited by in RCA: 4]  [Reference Citation Analysis (1)]
28.  Zhang T, Jiang H, Ming CY, Wang Y, Mao D, Wei YF. Influence of different kinds of surgical resection on operation-related clinical indexes, inflammatory cytokines and complications in elderly patients with esophageal cancer. Pak J Med Sci. 2020;36:532-537.  [RCA]  [PubMed]  [DOI]  [Full Text]  [Full Text (PDF)]  [Cited by in RCA: 4]  [Reference Citation Analysis (1)]
29.  Wang QY, Lu F, Li AM. The clinical value of high mobility group box-1 and CRP/Alb ratio in the diagnosis and evaluation of sepsis in children. Eur Rev Med Pharmacol Sci. 2022;26:6361-6366.  [RCA]  [PubMed]  [DOI]  [Full Text]  [Cited by in RCA: 4]  [Reference Citation Analysis (0)]
30.  Ri M, Tzortzakakis A, Sotirova I, Tsekrekos A, Klevebro F, Lindblad M, Nilsson M, Rouvelas I. CRP as an early indicator for anastomotic leakage after esophagectomy for cancer: a single tertiary gastro-esophageal center study. Langenbecks Arch Surg. 2023;408:436.  [RCA]  [PubMed]  [DOI]  [Full Text]  [Cited by in RCA: 7]  [Reference Citation Analysis (0)]
31.  Hatta W, Tsuji Y, Yoshio T, Kakushima N, Hoteya S, Doyama H, Nagami Y, Hikichi T, Kobayashi M, Morita Y, Sumiyoshi T, Iguchi M, Tomida H, Inoue T, Koike T, Mikami T, Hasatani K, Nishikawa J, Matsumura T, Nebiki H, Nakamatsu D, Ohnita K, Suzuki H, Ueyama H, Hayashi Y, Sugimoto M, Yamaguchi S, Michida T, Yada T, Asahina Y, Narasaka T, Kuribasyashi S, Kiyotoki S, Mabe K, Nakamura T, Nakaya N, Fujishiro M, Masamune A. Prediction model of bleeding after endoscopic submucosal dissection for early gastric cancer: BEST-J score. Gut. 2021;70:476-484.  [RCA]  [PubMed]  [DOI]  [Full Text]  [Full Text (PDF)]  [Cited by in Crossref: 134]  [Cited by in RCA: 123]  [Article Influence: 24.6]  [Reference Citation Analysis (0)]
32.  Qi ZP, Chen T, Li B, Ren Z, Yao LQ, Shi Q, Cai SL, Zhong YS, Zhou PH. Endoscopic submucosal dissection for early esophageal cancer in elderly patients with relative indications for endoscopic treatment. Endoscopy. 2018;50:839-845.  [RCA]  [PubMed]  [DOI]  [Full Text]  [Cited by in Crossref: 33]  [Cited by in RCA: 38]  [Article Influence: 4.8]  [Reference Citation Analysis (1)]
33.  Ishibashi Y, Tsujimoto H, Kouzu K, Itazaki Y, Tsuchiya S, Fujishima S, Yaguchi Y, Sugasawa H, Nomura S, Ito N, Harada M, Nagata H, Shinto E, Kishi Y, Ueno H. Impact of Antiplatelet and Anticoagulant Therapies on Platelet-related Prognostic Markers in Patients With Esophageal Cancer. In Vivo. 2020;34:1941-1949.  [RCA]  [PubMed]  [DOI]  [Full Text]  [Cited by in Crossref: 2]  [Cited by in RCA: 7]  [Article Influence: 1.2]  [Reference Citation Analysis (0)]
34.  Holm CE, Grazal CF, Raedkjaer M, Baad-Hansen T, Nandra R, Grimer R, Forsberg JA, Petersen MM, Skovlund Soerensen M. Development and comparison of 1-year survival models in patients with primary bone sarcomas: External validation of a Bayesian belief network model and creation and external validation of a new gradient boosting machine model. SAGE Open Med. 2022;10:20503121221076387.  [RCA]  [PubMed]  [DOI]  [Full Text]  [Full Text (PDF)]  [Cited by in RCA: 8]  [Reference Citation Analysis (0)]
Footnotes

Provenance and peer review: Unsolicited article; Externally peer reviewed.

Peer-review model: Single blind

Specialty type: Gastroenterology and hepatology

Country of origin: China

Peer-review report’s classification

Scientific Quality: Grade B

Novelty: Grade B

Creativity or Innovation: Grade C

Scientific Significance: Grade C

Open Access: This article is an open-access article that was selected by an in-house editor and fully peer-reviewed by external reviewers. It is distributed in accordance with the Creative Commons Attribution NonCommercial (CC BY-NC 4.0) license, which permits others to distribute, remix, adapt, build upon this work non-commercially, and license their derivative works on different terms, provided the original work is properly cited and the use is non-commercial. See: https://creativecommons.org/Licenses/by-nc/4.0/

P-Reviewer: Zourob M, PhD, Chief Physician, Saudi Arabia S-Editor: Lin C L-Editor: A P-Editor: Xu ZH

Write to the Help Desk